Сила Сибири. 
 И мы – не газопровод.

Полный архив

Полный архив. декабрь 2020 года

Сортировка от последнего к первому дню месяца.

Чтобы помнили. Кого мы потеряли в 2020

Подлинная урна усопшего не на кладбище, а в забывчивых сердцах. Жан Кокто Наступил долгожданный последний день трудного и богатого на утраты 2020 года. Перед тем как сесть за стол и начать встречать новый 2021 год, нам бы хотелось ещё раз вспомнить тех, кого забрал с собой год уходящий.

Филипп Марков

It`s my life...КультураРоссия

65013

31.12.2020

Главу СК РФ просят провести расследование по пожару в иркутском питомнике «К-9»

Владелица собачьего приюта «К-9» в Иркутске Анастасия Славина попросила главу СК РФ Александра Бастрыкина провести расследование по недавнему пожару – она уверена, что это был поджог и настоящее покушение. Свое обращение женщина 29 декабря опубликовала в Instagram-профиле питомника.

ПроисшествияБратья меньшиеРасследованияИркутск Россия

22798

31.12.2020

В поселке Мама отменили режим ЧС, который ввели из-за аварии на электросетях

В поселке Мама Иркутской области сняли режим чрезвычайной ситуации – 26 декабря его ввела администрация Мамско-Чуйского района из-за аварийного отключения электроснабжения. Об этом 31 декабря сообщила пресс-служба правительства региона.

ПроисшествияЖКХИркутск

14012

31.12.2020

Четыре человека погибли на пожаре в селе Красноярского края

Смертельный пожар произошел утром 31 декабря в селе Агинское Красноярского края – в 05:04 там вспыхнул одноэтажный брусовой дом на улице Садовая, 18. Об этом сообщает МЧС по региону. Огнеборцы приехали на место в 05:07. Пламя к тому времени уже охватило кровлю строения.

ПроисшествияКрасноярск

4732

31.12.2020

Еще 181 человек заразился коронавирусом в Томской области, трое умерли

По данным на 31 декабря, еще 181 человек в Томской области заболел COVID-19. Также за сутки 217 пациентов выздоровели, трое умерли. Об этом сообщает региональный оперштаб по коронавирусу.

ЗдоровьеОбществоТомск

4704

31.12.2020

В суд передали дело о гибели 12 рабочих на предприятии в Томской области

12 человек, в том числе 11 иностранцев, погибли во время пожара на лесопилке в Асиновском районе. В гибели людей обвинили директора компании, гражданку Сунь Аньни. 30 декабря прокуратура передала материалы дела в суд.

ПроисшествияМир Томск

5274

31.12.2020

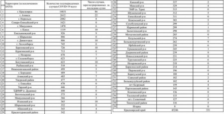
За 2020 год COVID-19 заразились 46 513 жителей Красноярского края

Федеральный оперштаб 31 декабря опубликовал последнюю в 2020 году сводку по коронавирусу в Красноярском крае. За последние сутки коронавирус выявили ещё у 321 человека, 496 — выписали из больниц, скончался 21 больной.

ЗдоровьеКрасноярск

5805

31.12.2020

СМИ: В Красноярске у здания прокуратуры обстреляли следователя

30 декабря в сообществе «Я живу в Красноярске» опубликовали новость о нападении на следователя. Евгения Серякова приехала в прокуратуру Ленинского района, чтобы передать уголовные дела. Когда она выходила из машины, неизвестный обстрелял её из пневматического оружия.

ПроисшествияКрасноярск

5748

31.12.2020

Мэрия Иркутска трижды проигнорировала УФАС и получила штраф в ₽100 тысяч

УФАС трижды продлевало срок исполнения требований, но администрация города так и не занялась проблемой. В будущем мэрию могут оштрафовать повторно, уже на 500 тысяч рублей. Об этом 30 декабря рассказали в УФАС.

Экономика и бизнесИркутск

16371

31.12.2020

Не только Сухов. К юбилею Анатолия Кузнецова

Даже если бы он снялся только в «Белом солнце пустыни», его имя уже было бы вписано золотыми буквами в историю отечественного кинематографа. А ведь были ещё знаменитые советские фильмы «Гость с Кубани», «Друг мой, Колька!..

Филипп Марков

КультураСобытияРоссия

59639

31.12.2020

В Бурятии в новогоднюю ночь сделали послабление для общепита

В антикоронавирусный указ главы Бурятии 30 декабря внесли очередные изменения. В новогоднюю ночь некоторым заведениям общепита разрешили работать допоздна. Изменения касаются только заведений общественного питания, расположенных в гостиницах и других средствах коллективного размещения.

Экономика и бизнесБурятия

15592

31.12.2020

В Улан-Удэ не будут продлевать работу общественного транспорта в новогоднюю ночь

Автобусы и трамваи Улан-Удэ 31 декабря будут работать по обычному расписанию. Традиционного новогоднего продления работы общественного транспорта в этот раз не будет из-за пандемии коронавируса. Трамваи закончат работу в 22:00, а автобусы будут ходить до 23:00.

ТранспортБурятия

4857

31.12.2020

Замминистра экологии Красноярского края ушёл в отставку

Первый заместитель министра экологии и рационалного природопользования Красноярского края Виталий Бадмаев уволился по собственному желанию. Распоряжение 30 декабря подписал первый заместитель губернатора Красноярского края Юрий Лапшин, оно вступило в силу сразу после подписания.

ОфициозКрасноярск

6257

31.12.2020

В новогоднюю ночь туристам запрещены прогулки по городам Турции

В новогоднюю ночь туристам запрещено гулять по центральным улицам городов 81-й турецкой провинции.

ЗдоровьеТуризмМир Россия

7651

31.12.2020

«Иркутскавтодор» оштрафуют за картельный сговор

УФАС Иркутской области возбудило дело против МУП «Иркутскавтодор». Предприятие заподозрили в картельном сговоре с другими компаниями, занимающимися ремонтом и обслуживанием дорог.

Экономика и бизнесРасследованияИркутск

19339

31.12.2020

Воду в Солонцы обещают вернуть до Нового года

«КрасКом» после аварии меняет схему холодного водоснабжения Солонцов. Погребённый под незаконной дорогой участок трубопровода от водозабора Гремячий лог выведут из эксплуатации. Теперь холодная вода в посёлок и на улицу Подзолкова будет поступать с водозабора острова Татышева.

ЖКХПроисшествияКрасноярск

16162

31.12.2020

Вначале COVID-19, затем ВИЧ и супергонорея: ВОЗ предупреждает об опасности

Антибиотики, которые люди принимают при коронавирусе, могут сыграть злую шутку. Пандемия COVID-19, охватившая мир в 2020 году, может стать источником других проблем уже в обозримом будущем.

Анна Амгейзер

ЗдоровьеНаука и технологииОбществоМир Россия Иркутск

14088

31.12.2020

В Прибайкалье за сутки умерло 15 человек с COVID-19, выздоровели 39 человек

По состоянию на утро 31 декабря в Иркутской области зарегистрировано 40785 лабораторно подтверждённых случаев коронавирусной инфекции. За последние сутки заболевание выявлено у 266 человек. 2683 человека проходят лечение в стационарах.

ЗдоровьеИркутск

5123

31.12.2020

На севере Прибайкалья пятеро туристов чуть не замерзли в сломанной машине

Усть-илимские полицейские спасли пятерых человек, у которых в лесу сломалась машина. Вечером в единую диспетчерскую службу позвонила женщина. Она сообщила, что в нескольких километрах от города сломалась машина, в которой находится она и ещё четыре человека.

ПроисшествияИркутск

5327

31.12.2020

В карлукском приюте для собак «Пять звёзд» началась прокурорская проверка

В приюте для собак «Пять Звёзд» в Карлуке началась проверка, которую проводит прокуратура Иркутской области. В ходе проверки будет оцениваться исполнение законодательства от ответственном обращении с животными, сообщила 30 декабря пресс-служба надзорного ведомства.

Братья меньшиеСкандалыПроисшествияИркутск

7360

31.12.2020

Иркутский завод полимеров: еще один шаг к цели

Уже весной 2021 года начнется активная фаза строительства Иркутского завода полимеров в Усть-Куте. В декабре Иркутская нефтяная компания, реализующая собственный газовый проект, получила заключение Главгосэкспертизы с одобрением проектной документация, необходимой для строительства завода.

Василий Сибирцев

Экономика и бизнесИркутск

24192

31.12.2020

Компания металлургического сегмента En+ Group стала членом JCLP 

En+ Group, ведущий мировой вертикально интегрированный производитель алюминия и электроэнергии, объявляет о том, что РУСАЛ, компания металлургического сегмента Холдинга, стала членом Japan Climate Leaders’ Partnership (JCLP).

Экономика и бизнесИркутск Россия

19298

31.12.2020

Почти 26 тысяч человек заболели COVID-19 в Бурятии

По данным на утро 31 декабря, в Бурятии зарегистрировано 25909 случаев заражения коронавирусом. Прирост за сутки составил 185 новых случаев, сообщает республиканский роспотребнадзор. 54% заболевшх – жители Улан-Удэ (13946 человек).

ПроисшествияЗдоровьеБурятия

5268

31.12.2020

Улан-удэнку, покусанную бродячими собаками, увезли в Москву

Жительницу Улан-Удэ Татьяну Лоскутникову, пострадавшую от своры собак 23 декабря, увезли спецбортом в Москву, в центр хирургии имени Вишневского. Об этом 30 декабря сообщила пресс-служба минздрава Бурятии. Девушка находилась в сознании и могла общаться жестами.

ПроисшествияБратья меньшиеБурятия

7083

31.12.2020

Погрузиться в Байкал можно будет с помощью VR-шлема

Посетители Байкальского музея в Листвянке скоро смогут окунуться в Байкал с помощью шлема виртуальной реальности. Фото с itnodo.com По результатам конкурса «Музей 4.

Есения Линней

Наука и технологииРоссия Иркутск Байкал

10778

31.12.2020

В Иркутском районе авария оставила без света более трёх тысяч человек

В Иркутском районе утром 31 декабря из-за аварии произошло отключение электроснабжения в части села Хомутово и деревне Позднякова. Об этом сообщается на странице «Иркутской электросетевой компании» в соцсети «ВКонтакте». Электричество отключили в 6:10. Без света осталось более трёх тысяч человек.

ЖКХПроисшествияИркутск

14309

31.12.2020

В 2020 году власти Томской области провалили план по нацпроектам на миллиард

В 2020 году власти Томской области не выполнили кассовый план по нацпроектам на общую сумму порядка одного миллиарда рублей. При этом запуск самых крупных объектов перенесли на 2021 год, сообщил 30 декабря заместитель губернатора региона, начальник департамента финансов Александр Феденев.

Экономика и бизнесТомск

12999

31.12.2020

Иркутск занял 5 место среди сибирских городов по затратам на новогодние украшения

На новогоднее оформление потрачено не менее 15 миллионов бюджетных рублей. Администрация Иркутска потратила 7,2 миллиона рублей на покупку светодиодной матрешки, пятиметрового дерева, елочного шара-арки и других фигур. Тендер достался ленинградской предпринимательнице Юлии Гусевой.

ОбществоЭкономика и бизнесСобытияИркутск

18036

31.12.2020

Сервиса нет, а платить надо: вход в Прибайкальский нацпарк подорожал

В начале декабря 2020 года «Заповедное Прибайкалье» сообщило радостную новость — наконец-то у туристов появилась возможность купить пропуск на посещение Прибайкальского нацпарка онлайн - через специальное приложение.

Миша Ковальски

ТуризмБайкал Иркутск

25893

31.12.2020

Замглавы Минприроды РФ получит звание «Могильщик Байкала»?

В Бурятии предлагают наделять сомнительным званием «Могильщик Байкала» тех, кто особо отличился в «антибайкальской» деятельности. В этом году руководитель комиссии по экологии Бурятии Евгений Кислов предложил кандидатуру заместителя министра природных ресурсов России Сергея Ястребова.

ПолитикаЭкологияБурятия Байкал Россия

16761

31.12.2020

Сенатор Андрей Чернышев поздравил жителей Иркутской области с Новым годом

Дорогие друзья! Примите искренние поздравления с наступающим Новым годом и Рождеством! Уходящий год был непростым, но он подарил нам и много хороших, добрых моментов. У каждого они свои, обязательно запомните их. Пусть год грядущий принесёт стабильность, успех и благополучие.

ОбществоИркутск

4416

31.12.2020

Томская прокуратура завершила расследование дела Галины Кляйн

Жена мэра Томска Галина Кляйн полностью признала свою вину. Супруги Кляйн Прокуратура Томской области утвердила обвинительное заключение по уголовному делу в отношении жены мэра Томска Галины Кляйн. Её обвиняют в применении насилия в отношении сотрудника правоохранительных органов.

СкандалыПолитикаТомск

16837

31.12.2020

Дело бывшего зампреда Народного Хурала Жамбалова направлено в суд

За смерть несовершеннолетней девочки ему грозит до 12 лет тюрьмы. Прокуратура Бурятии утвердила обвинительное заключение по уголовному делу о смертельном ДТП с участием заместителя председателя Народного Хурала Баира Жамбалова.

КриминалПолитикаБурятия

29517

31.12.2020

Дольщикам долгостроя на Грунтовой выплатят компенсации

Участники долевого строительства, заключившие контракт с «ЖСК-1» и «СибСтройИнвест» получаи денежную компенсацию. Федеральный Фонд защиты прав дольщиков в Красноярске выплатит обманутым участникам долевого строительства компенсацию за недостроенные дома.

НедвижимостьКрасноярск

6474

31.12.2020

В Новый год – с грязным воздухом: в Красноярске продлили режим «чёрного неба»

В городе уже неделю действует режим неблагоприятных метеорологических условий (НМУ). Его продлили до 2 января. Фото: nebo.life Режим «чёрного неба» ввели в Красноярске 26 декабря. Теперь его продлили до 19:00 часов 2 января 2021 года.

ЭкологияОбществоКрасноярск

18336

31.12.2020

Тайные струны. Психологический портрет Дениса Мацуева

Бабр совместно с компанией HR adviser продолжает серию публикаций психологических портретов видных деятелей политики, бизнеса и культуры. На этот раз в нашей рубрике необычайно яркий персонаж, не нуждающийся в представлении, – известный пианист и общественный деятель Денис Мацуев.

Филипп Марков

КультураРоссия Иркутск

421720

30.12.2020

В Улан-Удэ увеличат количество автобусов на некоторых маршрутах

В ноябре-декабре этого года власти Улан-Удэ проанализировали пассажиропоток на автобусах МУП «Городские маршруты», после чего решили внести несколько изменений в работу новых и действующих маршрутов. Об этом 30 декабря сообщает пресс-служба мэрии.

ТранспортОбществоБурятия

4948

30.12.2020

Прибайкалье поучаствует в эксперименте по отслеживанию оборота древесины

1 января в России начнется эксперимент по прослеживаемости оборота древесины. Иркутская область намерена принять в нем участие. Об этом 30 декабря сообщают «Вести.ру», ссылаясь на вице-премьера Викторию Абрамченко. Эксперимент продлится до 30 июня 2021 года.

Экономика и бизнесЭкологияИркутск Россия

16458

30.12.2020

Не убили, так посадим: Кремль выдавливает Навального из России

Следственный комитет возбудил очередное дело против Алексея Навального. В этом читается явное желание Кремля не допустить возвращения оппозиционера в Россию.

Антoн Херсонцев

ПолитикаРоссия

27290

30.12.2020

Еще 189 человек заразились коронавирусом в Томской области

По данным на 30 декабря, еще 189 человек в Томской области заболели COVID-19. Также за сутки 215 пациентов выздоровели. Летальных исходов зарегистрировано не было. Об этом сообщает региональный оперштаб по коронавирусу.

ЗдоровьеОбществоТомск

4939

30.12.2020

В Красноярском крае уже больше 46 тысяч случаев заражения COVID-19

У 322 человек в Красноярском крае выявили COVID-19 за прошедшие сутки. Также за это время полностью излечились 500 пациентов, 18 скончались. Об этом сообщает местный оперштаб по коронавирусу. Краевой Роспотребнадзор отмечает, что суточный темп прироста составил 0,7%.

ЗдоровьеОбществоКрасноярск

4857

30.12.2020

Пока мэр сидит…

Председатель томской гордумы Чингис Акатаев поведал журналистам, что УМП «Спецавтохозяйство» (региональный оператор по обращению с твёрдыми коммунальными отходами) не будет вытеснен конкурентами с рынка. Однако Акатаев не против продажи муниципального предприятия инвестору.

Андрей Игнатьев

ЖКХТомск

27564

30.12.2020

Клиентов АЗС ННК с Новым годом поздравили Дед Мороз и Снегурочка

Дед Мороз и Снегурочка, праздничное оформление и индивидуальные поздравления – на АЗС ННК к Новому году подготовились. Это ежегодная традиция, которую в компании неукоснительно соблюдают. На заправках ННК в разных точках присутствия бренда в ДФО для клиентов подготовили приятные сюрпризы.

Андрей Светлов

ТранспортЭкономика и бизнесСобытияБурятия

34525

30.12.2020

В Красноярске будут судить трёх человек за незаконную сделку с передачей новорождённого ребёнка

В Красноярске будут судить женщину и семейную пару за незаконную передачу новорождённого ребёнка. Об этом сообщает телеграм-канал «Стрелка».

ПроисшествияКрасноярск

4394

30.12.2020

Эксперты не смогли определить, из какого дерева сделаны скандальные скамейки в Солнечном

Эксперты из Института леса и лаборатории судебной экспертизы не смогли прийти к единому мнению, из какой древесины сделаны скамейки в новом парке Солнечного. Первую экспертизу провела сотрудник лаборатории фитоценологии и лесного ресурсоведения Института леса имени Сукачева Мария Кириенко.

СкандалыОбществоЖКХКрасноярск

19950

30.12.2020

Сказ о том, как Марковское МО академовскую землю присвоило

В некотором царстве, в некотором государстве жила-была барыня. Звали её Галина Шумихина. Дал ей государь с народного согласия в управление земли, и стала она головою Марковского муниципального образования.

Роман Русских

РасследованияОбществоСкандалыИркутск

37465

30.12.2020

Из-за коронавируса в Иркутске запретили крещенские купания на Якоби

На заливе Якоби в Иркутске в январе 2021 года не будет традиционных крещенских купаний. Причиной этому стала эпидемиологическая обстановка, сообщила 29 декабря пресс-служба правительства Иркутской области.

ПроисшествияИркутск

5287

30.12.2020

Улан-удэнская БСПМ перешла на штатный режим работы

После нескольких дней подготовки стационар БСМП в Улан-Удэ вернулся к обычному режиму работы – оказанию экстренной специализированной медицинской помощи. В течение нескольких месяцев врачи БСМП оказывали помощь больным с коронавирусом.

ЗдоровьеБурятия

5642

30.12.2020

В Иркутске выбрали директора муниципальной аптеки

Администрация Иркутска объявила результаты конкурса по выбору директора МУП «Иркутская аптека». Информация была опубликована 29 декабря на сайте мэрии. Напомним, конкурс был объявлен после того, как мэрия расторгла договор с предыдущим директором Натальей Свистуновой в октябре 2020 года.

ПолитикаИркутск

14088

30.12.2020

В Томске продолжается мусорный коллапс

Жители Томска продолжают жаловаться в соцсетях на горы мусора во дворах. Из-за экстремальных морозов «Спецавтохозяйство» перестало вывозить отходы.

ЖКХГеоТомск

24573

30.12.2020

В Якутии самолёт «АэроБратска» ошибочно сел на недостроенную полосу. Видео

Издание «Лента.ру» 29 декабря сообщило, что самолёт Як-40 авиакомпании «АэроБратск» в Якутии ошибочно сел на недостроенную взлётную полосу аэропорта. Видеоролик со стоящим в сугробе самолётом опубликовала Baza. Он был снят из автомобиля, который ехал по заснеженной взлётно-посадочной полосе.

ТранспортИркутск

6229

30.12.2020

Красноярская мэрия готовит слушания по публичной парковке под Красной площадью

На Красной площади в Красноярске планируют строить подземную парковку. Сейчас мэрия готовит проект к публичным слушаниям, соответствующее постановление мэра Сергея Ерёмина опубликовано на портале администрации. Парковка будет строиться на участке с кадастровым номером 24:50:0200164:119.

ОбществоКрасноярск

4747

30.12.2020

У арестованного мэра Кляйна не подтвердился коронавирус

29 декабря омбудсмен Томской области Елена Карташова и представители Общественной наблюдательной комиссии Любовь Качурина и Александр Палтусов провели приём в СИЗО-1. Они выслушали жалобы заключённых и пообщались с врачом томского мэра, который находится в медсанчасти учреждения.

ПолитикаРасследованияЗдоровьеТомск

14111

30.12.2020

Варламов включил Улан-Удэ в список самых опасных городов России

Блогер-урбанист Илья Варламов составил список 10 самых опасных городов России. Столица Бурятии заняла третье место антирейтинга. Ролик об этом вышел 29 декабря на YouTube канале Варламова.

КриминалБурятия

6387

30.12.2020

В Солонцах из-за аварии больше суток нет холодной воды

29 декабря в 11:15 прорвало магистральный трубопровод в месте присоединения сетей посёлка Солонцы к сетям Красноярска. Без воды остались жители посёлка и 11 жилых домов по улице Подзолкова. Также под отключение попали промбазы и административные здания на улицах Промысловая и 2-ая Брянская.

ПроисшествияЖКХКрасноярск

15486

30.12.2020

Бывший гендиректор «Платинум Арены» стал первым замминистра спорта Красноярского края

Роман Сотников получил пост первого заместителя министра спорта Красноярского края. Об этом 30 декабря сообщили в региональном правительстве. Отмечается, что Сотников подписал контракт на один год.

ОфициозСпортКрасноярск

7230

30.12.2020

Минздрав Бурятии отрицает задержку зарплаты в РКБ Семашко

После публикации в соцсетях фотографии автомобиля, на котором большими буквами написано «Где моя ЗП, РКБ Семашко», Минздрав Бурятии организовал проверку. После проверки в ведомстве заявили, что оплату за декабрь все сотрудники больницы в полном объёме получили 28 декабря.

Экономика и бизнесБурятия

15183

30.12.2020

Против Навального возбудили уголовное дело. Его обвиняют в хищении 356 миллионов рублей

Следственный комитет 29 декабря сообщил о возбуждении уголовного дела против Алексея Навального. Политика обвиняют в хищении 356 миллионов рублей, которые собрали через пожертвования Фонду борьбы с коррупцией.

ПолитикаРасследованияРоссия

17741

30.12.2020

Иркутские астрономы ищут свидетелей падения метеора на севере области

28 декабря житель Усть-Кута сфотографировал след от метеора на небе. Однако свидетельства одного человека недостаточно для фиксации научного события, поэтому сотрудники Иркутского планетария ищут других очевидцев.

Наука и технологииПроисшествияИркутск

6331

30.12.2020

En+ Group определила ТОП-10 событий компании 2020 года

В преддверии новогодних праздников компания En+ Group определила ключевые события 2020 года — масштабные производственные программы, социально важные акции для городов и регионов, а также новые проекты, позволившие повысить качество предоставляемых услуг.  1.

Александр Макаров

Экономика и бизнесИркутск Красноярск Россия

26921

30.12.2020

Умер известный иркутский фотограф Александр Князев

В Иркутске 27 декабря в возрасте 73 лет от тяжёлой болезни умер известный фотограф Александр Князев. Об этом рассказал его сын Ярослав. Александр Дмитриевич Князев родился в 1947 году в посёлке Залари Иркутской области. В 1974 году он окончил факультет журналистики ИГУ.

It`s my life...КультураИркутск

25217

30.12.2020

19 миллионов на отстрел: мэр Улан-Удэ хочет убить всех собак

В 2020 году управление ветеринарии Бурятии выделило 19 миллионов рублей на отлов 2395 собак в Улан-Удэ. В августе подрядчик по отлову хвостатых получил от мэрии ещё 14 миллионов, хотя на тот момент отловил только 484 собаки.

Миша Ковальски

Братья меньшиеКриминалБурятия

13967

30.12.2020

Более 1500 жителей Иркутской области скончались после заражения COVID-19

По данным на 30 декабря, в Иркутской области 40 519 случаев заражения коронавирусом, суточный прирост – 260. 35 527 человек уже выздоровели, в том числе 322 за последние сутки. В больницах области находятся 2844 пациента с коронавирусом, ещё 6538 человек лечатся на дому.

ЗдоровьеИркутск

4331

30.12.2020

Спикер гордумы Томска сомневается, что депутаты отправят арестованного мэра в отставку

Спикер гордумы Томска Чингис Акатаев считает, что Ивана Кляйна не отправят в отставку с поста мэра из-за возбуждения уголовного дела. Ранее прокуратура рекомендовала депутатам рассмотреть этот вопрос.

ПолитикаТомск

15880

30.12.2020

В Бурятии занято 1280 ковидных коек. 74 пациента в реанимации

По информации на 30 декабря, в Бурятии 25 724 случая заражения коронавирусом, суточный прирост – 189. На Улан-Удэ приходится 13 850 (54%) случаев. За всё время выздоровело 22 936 человек, за последние сутки – 196.

ЗдоровьеБурятия

5041

30.12.2020

В иркутском посёлке имени Горького возведут мобильную электроподстанцию

Подстанцию возведут и подключат 30 декабря. Это поможет избежать новых отключений электричества. Срочные меры необходимо принять в ситуации с перебоями электричества в иркутском посёлке имени Горького. Там из-за морозов с 28 декабря возникли проблемы с подачей электроэнергии.

ЖКХПроисшествияИркутск

17156

30.12.2020

Бурятия – один из лидеров по предновогодним тратам по стране

Республика Бурятия вошла в топ-5 регионов по предпраздничным затратам, обогнав Москву и Санкт-Петербург. По данным индекса потребительской и деловой активности Tinkoff CoronaIndex, в декабре этого года жители Республики тратят больше и разнообразнее, чем россияне из других регионов.

Экономика и бизнесОбществоБурятия

13640

30.12.2020

Синоптики: в новогодние праздники температура в Томске понизится

Температура воздуха в начале января 2021 года в Томской области ожидается ниже нормы на 7-8 градусов, в некоторых районах даже днем столбики термометров не будут подниматься выше отметки минус 35 градусов.

ГеоТомск

5129

30.12.2020

Красноярскому бизнесмену Быкову сократили арест на 3 дня

Криминальный бизнесмен из Красноярска Анатолий Быков будет находиться в СИЗО до 21 февраля. Домашний арест продлили до 28 февраля. Адвокат предпринимателя Алексей Прохоров сообщил о сокращении срока ареста 29 декабря. «Сегодня прошло заседание по апелляции на продление ареста.

КриминалЭкономика и бизнесКрасноярск

14566

30.12.2020

СК возбудил уголовное дело по факту халатности в СИЗО-1 после пыток осуждённого

Осуждённого пытали кипятильником и нанесли увечья половому органу. Сотрудников СИЗО-1 обвиняют в халатности. О пытках стало известно после сообщения основателя проекта «Гулагу.нет» Владимира Осечкина. Он рассказал, что сотрудники колонии жестоко издевались над осуждённым за кражу лошадей.

КриминалПроисшествияИркутск

8918

30.12.2020

В Прибайкалье экспорт продуктов агропромышленного комплекса вырос на 12,9%

В 2020 году из региона экспортировано продовольственных товаров и сельскохозяйственного сырья на общую сумму 42,1 миллиона долларов США. Это на 12,9% выше аналогичного периода прошлого года. Такую информацию предоставил министр сельского хозяйства Иркутской области Илья Сумароков 29 декабря.

Экономика и бизнесИркутск

10135

30.12.2020

Исакова вверх, Ходченкова вниз. Рейтинг актрис – 2020

На исходе уходящего года проект «Кино Mail.ru» опубликовал традиционную десятку самых популярных актрис России. Рейтинг составлен с учётом востребованности в новых проектах и числа посещений персональных страниц актрис, которые появлялись в фильмах и сериалах, вышедших на экраны в 2020 году.

Филипп Марков

КультураРоссия

55182

30.12.2020

Томские студенты смоделировали город будущего

Большая часть проектов призвана улучшить студенческий кампус. Лучшие идеи предстанут перед правительством России. Международный форум университетских городов проходит в в Томске уже пятый год. Юбилейный пятый раз был посвещен оцифрованию образования.

Анна Амгейзер

МолодежьНаука и технологииТомск

33680

29.12.2020

Бикович и Борисов отодвинули Петрова и Прилучного. Рейтинг актёров – 2020

На исходе уходящего года проект «Кино Mail.ru» опубликовал традиционную десятку самых популярных актёров России. Рейтинг составлен с учётом востребованности в новых проектах и числа посещений персональных страниц актёров, которые появлялись в фильмах и сериалах, вышедших на экраны в 2020 году.

Филипп Марков

КультураРоссия

74510

29.12.2020

Эпоха моды. Ушёл из жизни великий Пьер Карден

29 декабря в пригороде Парижа в возрасте 98 лет скончался великий французский модельер итальянского происхождения, командор ордена Почётного легиона, ордена Культурных заслуг и Национального ордена «За заслуги», кавалер ордена Искусств и литературы и ордена Дружбы, почётный член ...

Филипп Марков

It`s my life...КультураМир

58126

29.12.2020

Тачка после депутатской прокачки: как купить угнанное авто в Иркутске?

А очень просто: приходишь в магазин, платишь деньги, потом оказывается, что машина в угоне. Ее у тебя изымают, и ты можешь идти на все четыре стороны, ведь в деле замешаны полицейский и депутат.

Марта Раевская

КриминалИркутск

27720

29.12.2020

Режим «черного неба» в Красноярске продлили на сутки

Действующий с 26 декабря в Красноярске режим «черного неба» продлили на сутки – до 19 часов 30 декабря. Степень опасности – первая. Об этом сообщает пресс-служба Среднесибирского УГМС.

ЭкологияКрасноярск

18698

29.12.2020

В Монголии объявлены безопасные с точки зрения COVID-19 зоны

В некоторых аймаках Монголии полностью ликвидированы очаги COVID-19. Об этом 27 декабря по окончании онлайн-заседания Государственной чрезвычайной комиссии сообщил глава ГЧК Я.Содбаатар, передает "Монцамэ".

ЗдоровьеОбществоМонголия

6062

29.12.2020

В Иркутске арестовали адвоката, обвиняемого в мошенничестве на два миллиона рублей

В Иркутске на два месяца арестовали местного адвоката – его обвиняют в мошенничестве, совершенном в особо крупном размере. Об этом 29 декабря сообщила пресс-служба регионального следкома.

РасследованияИркутск

16355

29.12.2020

Еще 325 человек заболели COVID-19 в Красноярском крае, 14 умерли

У 325 человек в Красноярском крае выявили COVID-19 за прошедшие сутки. Также за это время полностью излечились 411 пациентов, 14 скончались. Об этом сообщает местный оперштаб по коронавирусу. Краевой Роспотребнадзор отмечает, что суточный темп прироста составил 0,7%.

ЗдоровьеОбществоКрасноярск

4193

29.12.2020

Сергей Ерёмин и его трансформация в душевного мэра

Сергей Ерёмин подводит управленческие итоги года. И мы вместе с ним. За год глава столицы Красноярского края окончательно укоренился в образе «инстаграмного» мэра: все свои действия и шаги, мысли и идеи — всё это Ерёмин неизменно публиковал в Instagram.

Макс Веселов

ПолитикаКрасноярск

23822

29.12.2020

Ольхонская трасса: зачем врет замминистра Лобанов?

Уже несколько месяцев ключевое дорожное ведомство Иркутской области работает без министра. И это сказывается.

Антoн Херсонцев

Экономика и бизнесТранспортИркутск Байкал

41384

29.12.2020

Число случаев коронавируса в Томской области превысило 24 тысячи

По данным на 29 декабря, еще 193 человека в Томской области заболели COVID-19. Также за сутки 217 пациентов выздоровели. Летальных исходов зарегистрировано не было. Об этом сообщает региональный оперштаб по коронавирусу.

ЗдоровьеОбществоТомск

4638

29.12.2020

Из Томской области уходит мусорный регоператор «Экология-Новосибирск»

Компания «Экология-Новосибирск», которую назначили временным региональным оператором по обращению с ТБО в Томской области, не будет заключать постоянный контракт. В компании заявили, что установленный для неё тариф на вывоз мусора убыточен.

ЖКХПроисшествияТомск

15490

29.12.2020

Медики из бурятской РКБ изрисовали машину, требуя зарплату

В сообществе «Весь Улан-Удэ» 29 декабря появилась фотография иномарки, на которой краской написано «ГДЕ МОЯ З.П РКБ СЕМАШКО». В комментариях одна из пользователей подтвердила, что медработники не получили даже аванса за декабрь.

Экономика и бизнесБурятия

20575

29.12.2020

Гражданин КНР и трое жителей Зимы предстанут перед судом за экспорт леса на 200 миллионов

В Ленинский районный суд Иркутска направлено уголовное дело в отношении трёх жителей города Зима Иркутской области и одного гражданина Китая, которые обвиняются в экспорте леса на 200 миллионов рублей. Об этом 29 декабря сообщается на сайте Восточно-Сибирской транспортной прокуратуры.

ПроисшествияИркутск

5071

29.12.2020

«Находка для вороватых мэров». Варламов раскритиковал переход, которым хвастался Ерёмин

Самый известный в России блогер-урбанист Илья Варламов 28 декабря жёстко раскритиковал проекционные пешеходные переходы. Одним из таких 25 декабря хвастался мэр Красноярска Ерёмин.

ТранспортКрасноярск

6345

29.12.2020

Компания En+ Group подписала соглашение о сотрудничестве с Ивановским государственным энергетическим университетом

«ЕвроСибЭнерго» (управляет энергетическими предприятиями в En+ Group) подписано соглашение о сотрудничестве с Ивановским государственным энергетическим университетом.

Экономика и бизнесОбразованиеРоссия

19172

29.12.2020

Договоры развития застроенных территорий расторгли в мэрии Иркутска

Иркутская администрация расторгла договоры на развитие застроенных территорий в Ленинском, Свердловском и Октябрьском округах. Причиной этому стали невыполненные обязательства по расселению аварийного жилья. Об этом 29 декабря сообщили в пресс-службе мэрии.

НедвижимостьИркутск

5863

29.12.2020

42 тысячи жителей Бурятии числятся в списках «невыездных» из-за долгов

Как сообщили 29 декабря в УФССП Бурятии, более 42 тысяч жителей республики не могут выехать из страны из-за задолженностей. Запрет на выезд накладывается на граждан, задолжавших более 30 тысяч рублей.

Экономика и бизнесТуризмБурятия

18365

29.12.2020

В Иркутске определили места для запуска новогодних фейерверков

Иркутская мэрия составила список мест, в которых разрешено запускать фейерверки в новогоднюю ночь. Из-за противопожарного режима, который ввели 28 декабря, использование пиротехники вне специально отведённых мест запрещён. В список попали 28 площадок в разных районах города.

ОбществоИркутск

5374

29.12.2020

Почти 400 домов на сутки остались без электричества в иркутской Селиванихе

Отключение электроэнергии в посёлке имени Горького и прилегающих садоводствах произошло в 14:10 28 декабря. Люди до сих пор остаются без света. 29 декабря в мэрии Иркутска провели совещание по этому поводу. Без света остались 386 жилых домов, в которых проживают 437 человек.

ЖКХПроисшествияИркутск

19187

29.12.2020

В новогоднюю ночь общественный транспорт в Томске будет возить за 50 рублей

В новогоднюю ночь в проезд в общественном транспорте Томска, в том числе трамваях и троллейбусах, будет стоить 50 рублей – двойной вечерний тариф. Об этом 29 декабря сообщил представитель городского «Центра организации и контроля пассажироперевозок».

ТранспортОбществоТомск

5013

29.12.2020

Время перемирия и надежд: голодовка на объектах ТГК-14 завершилась

Массовая голодовка на объектах ТГК-14 продлилась восемь дней. После того, как в ситуацию наконец вмешались власти Бурятии, руководство ТГК-14 пошло на диалог и признало протест среди своих сотрудников. 28 декабря рабочие прекратили голодовку и начали постепенное восстановление.

Александр Макаров

ПолитикаОбществоЭкономика и бизнесБурятия

28416

29.12.2020

Законодательный хаос: как изменился Лесной кодекс за 10 лет

«Иногда нужно все разрушить, спалить все дотла, чтобы потом начать все сначала», кажется, именно этой цитатой шотландского писателя Ирвина Уэлша вдохновлялись российские законотворцы, принимая в 2006 году новый Лесной кодекс РФ.

Александр Тубин

ПолитикаРоссия

19485

29.12.2020

Красноярск показали в новогоднем выпуске «Орла и решки»

28 декабря на телеканале «Пятница» вышел последний выпуск сезона «Орла и решки». Его снимали в ноябре в Красноярске. Регина Тодоренко получила золотую карту, остановилась в бутик-отеле за 18 тысяч рублей в сутки и опробовала дорогие развлечения.

ТуризмКрасноярск

5997

29.12.2020

Перевод ТЭЦ Байкальска на древесную щепу одобрен главгосэкспертизой

Проектно-сметная документация и результаты инженерных изысканий по реконструкции угольной МЭЦ Байкальска и переводу её на древесную щепу одобрены Главгосэкспертизой России. Об этом 28 декабря сообщалось на сайте ведомства. Проект был разработан ООО «Уралпроектинжиниринг».

ЖКХЭкологияБайкал Иркутск

16071

29.12.2020

Телеграм Иркутска за неделю: третья жизнь Харитонова, исход Голенецкой и неотставка Душина

Бабр представляет обзор ключевых событий в иркутском сегменте мессенджера Telegram за неделю с 21 по 27 декабря включительно. Исход Голенецкой 23 декабря Минздрав Иркутской области покинула замминистра Елена Голенецкая.

Александр Мур

ПолитикаИркутск

34782

29.12.2020

LEGO Russia поздравила своего поклонника из Северска с 87-летием

Компания LEGO подарила 87-летнему Александру Розину из Северска набор для сборки мотоцикла на день рождения и опубликовала трогательную историю о дружбе внучки и дедушки.

ОбществоТомск

6787

29.12.2020

Искусанную собаками улан-удэнку отправят на лечение в Москву

28 декабря консилиум врачей принял решение отправить пострадавшую от нападения собак девушку на лечение в Москву. Напомним, 23 декабря в микрорайоне Забайкальский стая собак набросилась на 20-летнюю девушку. Пострадавшую на скорой увезли в реанимацию, где ввели в искусственную кому.

ПроисшествияЗдоровьеБурятия

5760

29.12.2020

В Иркутске 32 дома остались без отопления из-за пожара

Вечером 28 декабря в Иркутске произошёл крупный пожар в производственном здании в районе Каи. Из-за него 32 здания, включая три социально-значимых объекта, остались без отопления в мороз.

ПроисшествияЖКХИркутск

16255

29.12.2020

Выборы мэра Норильска: снова аншлаг и появление «тёмной лошадки»

28 декабря завершился приём заявок от кандидатов на пост мэра Норильска. Всего заявились 12 кандидатов — это даже больше, чем в октябре, когда заявки на рассмотрение конкурсной комиссии подали восемь человек и уже тогда было понятно, что это аншлаг и локальное торжество выборной состязательности.

Макс Веселов

ПолитикаКрасноярск

24262

29.12.2020

Когда на Байкале запретят фосфатосодержащие моющие средства?

Состоялось очередное заседание Научного совета СО РАН по проблемам озера Байкал. Учёные обсудили проделанную работу и планы на будущий год. Так, была затронута проблема экологического кризиса в прибрежной зоне озера Байкал.

Миша Ковальски

ЭкологияНаука и технологииБайкал Иркутск

21379

29.12.2020

Индонезия с 1 января закрывает въезд для иностранцев

С 29 декабря для всех прибывающих в Индонезию вводится карантин. С 1 по 14 января въезд в страну закрывается для иностранцев.

ЗдоровьеПолитикаТранспортМир

19883

29.12.2020

На пост мэра Норильска претендуют 12 человек. В их числе первый вице-мэр Красноярска

12 кандидатов подали документы на участие в конкурсе на пост главы Норильска. 28 декабря в Горсовете объявили о прекращении приёма заявок.

ПолитикаКрасноярск

12534

29.12.2020

Суд потребовал, чтобы мэрия Томска прекратила сливать нечистоты в Ушайку

Ещё летом природоохранная прокуратура выяснила, что мэрия Томска незаконно сливает нечистоты в реку Ушайка. Концентрация некоторых веществ в воде превышала норму в шесть раз. 28 декабря суд вынес решение по иску прокуратуры.

ЭкологияТомск

16856

29.12.2020

Более 40 000 жителей Прибайкалья заразились коронавирусом, 1496 из них умерли

За последние сутки в Иркутской области COVID-19 выявили ещё у 263 человек в Иркутской области. Общее количество заболевших составило 40 259. С начала пандемии выздоровело 35 205 человек, в том числе 328 за последние сутки. Госпитализировано 2982 пациента.

ЗдоровьеИркутск

5022

29.12.2020

Как казахов превращают в жертв и врагов России

Тема голода в Казахстане 1932-1933 годах обсуждается уже более 30 лет. Первые публикации об этом появились в 1989 году. Практически столько же идет чисто политический спор по этому поводу; в Казахстане многие национал-патриоты и националисты считают, что голод был геноцидом казахов.

Дмитрий Верхотуров

ПолитикаОбществоТуркестан Россия

72216

29.12.2020

Найдены детали, позволяющие разгадать тайны пирамиды Хеопса

Сотрудница шотландского университета в ходе разбора коллекций обнаружила пропавшие почти век тому назад фрагменты кедрового дерева, представляющие ценность. Фото с vsluh.

Есения Линней

ИсторияНаука и технологииМир

13912

29.12.2020

В Бурятии снова произошло землетрясение. Толчки ощутили и в Прибайкалье

В 08:31 29 декабря в Бурятии произошло землетрясение магнитудой 4,9 балла. Эпицентр находился в Северо-Байкальском районе, вблизи Таксимо. По данным Байкальского филиала Единой геофизической службы РАН, землетрясение почувствовали в 11 населённых пунктах Бурятии и в пяти Иркутской области.

ГеоПроисшествияБурятия Иркутск

6543

29.12.2020

В Бурятии уже более 25 500 заразившихся COVID-19

По информации на 29 декабря, в Бурятии 25 535 случаев заражения коронавирусом, суточный прирост – 190. За всё время выздоровело 22 740 человек, за последние сутки – 201. В стационарах Бурятии находятся 1294 пациента, в том числе с осложнённой внебольничной пневмонией – 963.

ЗдоровьеБурятия

4143

29.12.2020

УФСИН: Иван Кляйн находится под наблюдением врачей

Бывший мэр Томска, которого обвиняют в махинациях с землей находится в СИЗО-1 под медицинским наблюдением. 23 декабря у Кляйна ухудшилось состояние здоровья: поднялась температура и появились «иные признаки заболевания». Представили госструктур назвали состояние Кляйна удовлетворительным.

ПолитикаРасследованияТомск

14258

29.12.2020

Пожар на Воронежской в Иркутске увеличился до 2 тысяч квадратных метров

Площадь пожара в производственном здании с пристроем выросла в 4 раза — с 0,5 до 2 тысяч квадратных метров. Пожар тушили 4 часа. Фото: ГУ МЧС России по Иркутской области Сообщение о возгорании в пожарно-спасательную службу поступило в 20:19 часов. Загорелось здание по улице Воронежская, 3а/1.

ПроисшествияИркутск

5874

29.12.2020

Красноярский «Элит Клуб Олег» выставлен на продажу

Элитное здание продают повторно – в этот раз на 300 миллионов рублей дешевле. «Элит Клуб Олег» располагается на Ломоносова, 7. Изначально здание было построено для банка. В настоящий момент часть помещений сданы в аренду.  Подвал здания обустроен под ночной клуб, первый этаж под ресторан.

Экономика и бизнесНедвижимостьКрасноярск

22015

29.12.2020

31 декабря транспорт в Иркутске будет ходить до 23 часов

1 января горожане смогут воспользоваться общественным транспортом с 8 утра. В последний день декабря муниципальный транспорт будет курсировать по 33 автобусным, семи трамвайным и 10 троллейбусным маршрутам. Всего на линию выведут 220 единиц муниципального транспорта.

ТранспортИркутск

5091

29.12.2020

Экс-глава «Комбината питания» и его подельники предстанут перед судом за мошенничество на ₽59 миллионов

Бывшему главе МУП «Комбинат питания» Виктору Беляеву, его супруге и приятелю грозит до 10 лет лишения свободы.

Экономика и бизнесИркутск

13430

29.12.2020

Наследие «Усольехимпрома»: в прибайкальской рыбе нашли ртуть

Половина рыбы от Усолья-Сибирского до Свирска содержит повышенные концентрации ртути. Ученые из Института геохимии СО РАН в 2020 году побывали в нескольких научных экспедициях, в том числе посетили Братское водохранилище. Там учёные замеряли концентрацию ртути.

ЭкологияИркутск

20359

29.12.2020

Позор и страшный сон: «чудак» Гергиев надругался над Штраусом

26 декабря в Мариинском театре состоялась премьера оперетты Иоганна Штрауса «Летучая мышь» в постановке Алексея Степанюка под управлением маэстро Валерия Гергиева.

Филипп Марков

КультураРоссия

122074

28.12.2020

Отец Галины Бурчевской намерен обжаловать освобождение Баира Жамбалова

25 декабря Советский районный суд Улан-Удэ освободил из-под домашнего ареста экс-лидера единороссов Бурятии Баира Жамбалова, обвиняемого в смерти несовершеннолетней Галины Бурчевской. Ее отец Максим Бурчевский подал апелляционную жалобу на это решение, сообщает портал infpol.ru.

РасследованияСкандалыПолитикаБурятия

17457

28.12.2020

Томские ученые разработали прибор для быстрой и точной диагностики коронавируса

Ученые томского НИИ онкологии и Томского государственного университета (ТГУ) создали газоанализатор, который с высокой точностью выявляет пневмонию и COVID-19 по выдыхаемому пациентом воздуху. Об этом 28 декабря сообщает областной оперштаб по коронавирусу.

Наука и технологииЗдоровьеТомск

6941

28.12.2020

38 лет: умерла самая старая в мире панда

Панда является официальным национальным символом КНР. В стране предпринимаются все меры по сохранению панд – убийство этих животных или торговля их шкурами (на чёрном рынке цена на них измеряется в тысячах долларов) карается пожизненным заключением или смертью.

Миша Ковальски

Братья меньшиеКитай

8119

28.12.2020

Томск обещают выкопать из-под мусора в предпоследний день года

Регоператор «Спецавтохозяйство» заявлял, что Томск завален мусором из-за аномальных морозов, которые не позволили выехать машинам. 28 декабря в компании пообещали вывезти скопившиеся отходы к вечеру 30 декабря.

ЖКХГеоТомск

23780

28.12.2020

Владельцы сгоревшего питомника «К-9» в Иркутске считают, что его подожгли

Владельцы сгоревшего собачьего приюта «К-9» на улице Карпинская в Иркутске считают, что причиной пожара стал поджог. Этой мыслью они 28 декабря поделились в Instagram-профиле питомника. «Пожар начался на крыше над ветеринарным блоком.

ПроисшествияБратья меньшиеИркутск

9154

28.12.2020

На Жамбалова надели неснимаемый браслет. Уголовное дело передали в прокуратуру

Следователи завершили расследование уголовного дела против экс-лидера единороссов Бурятии Баира Жамбалова. 28 декабря материалы дела с обвинительным заключением передали в прокуратуру. В СК рассказали несколько новых деталей дела.

ПолитикаРасследованияСкандалыБурятия

20669

28.12.2020

У 111 учеников школы № 6 Шелехова выявили острую кишечную инфекцию

На 26 декабря в школе № 6 Шелехова выявили 112 случаев острой кишечной инфекции – болеют 111 учеников и один преподаватель. Об этом сообщает пресс-служба регионального Роспотребнадзора. 24 декабря 117 школьников пожаловались на тошноту и рвоту.

ПроисшествияРасследованияОбразованиеИркутск

15233

28.12.2020

Адвокаты: состояние здоровья Кляйна в СИЗО резко ухудшилось

Отстранённому от должности мэру Томска Ивану Кляйна стало плохо в СИЗО. 28 декабря адвокаты сообщили, что в СИЗО нет возможности оказать качественную медпомощь заболевшему.

ПолитикаРасследованияТомск

20603

28.12.2020

Лесные итоги Иркутской области: проваленные реформы и незаконные рубки

Министр лесного комплекса Дмитрий Петренев не справился с поставленной задачей по очистке отрасли от злоупотреблений и криминала. Напомним, реорганизация областного Лесхоза, громко объявленная еще в конце 2019 года, полностью свернута .

Антoн Херсонцев

Экономика и бизнесПолитикаИркутск

37772

28.12.2020

Еще 181 человек в Томской области заразился коронавирусом

По данным на 28 декабря, еще 181 человек в Томской области заболел COVID-19. Также за сутки 223 пациента выздоровели. Летальных исходов зарегистрировано не было. Об этом сообщает региональный оперштаб по коронавирусу.

ЗдоровьеОбществоТомск

4529

28.12.2020

Телеграм Бурятии за неделю: омуль со вкусом уголовки, похождения Зверева, голод в ТГК-14

Бабр представляет обзор ключевых событий в бурятском сегменте мессенджера Telegram за неделю с 21 по 27 декабря.

ivan.off

ПолитикаСкандалыКриминалБурятия

32947

28.12.2020

Япония временно ограничила въезд иностранцев из-за нового типа коронавируса

С 28 декабря 2020 года до конца января 2021 года из-за нового штамма коронавируса Япония ввела ограничения на въезд туристов из всех стран мира. Исключения сделаны для граждан Японии и иностранцев с долгосрочными визами, которые постоянно проживают на территории страны.

ЗдоровьеПолитикаТранспортМир Россия

17415

28.12.2020

Телеграм Красноярска за неделю: голосование за лучшего губернатора, Собчак против Усса и элитная тушенка для депутатов

Бабр представляет обзор ключевых событий в красноярском сегменте мессенджера Telegram за неделю с 21 по 27 декабря включительно. Кто лучший губернатор Красноярского края?

Александр Макаров

ПолитикаОбществоКрасноярск

26629

28.12.2020

COVID-19 в Красноярском крае: ещё 327 заболевших и 13 погибших

По данным на 28 декабря, в Красноярском крае 45 545 случаев заражения коронавирусом. Суточный прирост — 327, темп прироста — 0,7%. За всё время выздоровело 39 693 человека, с 27 декабря из больниц выписали ещё 400 пациентов.

ЗдоровьеКрасноярск

4280

28.12.2020

Газ не для нас?

10 декабря текущего (скажем так: дотекающего) года губернатор Томской области Сергей Жвачкин встретился с председателем правления ПАО «Газпром» Алексеем Миллером. Они подписали программу развития газоснабжения и газификации на 5 лет: 2021–2025 годы.

Андрей Игнатьев

ОбществоЭкономика и бизнесТомск

26238

28.12.2020

Алексей Цыденов поручил ТГК-14 разобраться с голодовкой рабочих

Рабочие ТГК-14 объявили голодовку ещё 22 декабря, они недовольны низкими зарплатами и снижением компенсации за работу во вредных условиях. 28 декабря в ситуацию вмешался глава Бурятии Алексей Цыденов, он встретился с гендиректором компании Алексеем Лизуновым.

СкандалыЭкономика и бизнесБурятия

16164

28.12.2020

"Байкал-Энергия" сыграла огненный матч в Хабаровске - ничья со "СКА-Нефтяником"

«Последние десять минут матча – думала, сойду с ума или в обморок грохнусь! Последние секунды – это вообще что-то! Соседи, простите!» «Нервов сожгли всем, но спасибо большое!» «Парни, вы просто красавчики! Матч супер! Я по ходу поседел и нервов лет на десять потерял!» «Вот это сила!

Ника Песчинская

СпортОбществоСобытияИркутск Россия

8477

28.12.2020

В Бурятии дорожники ставят неправильные таблички с географическими названиями

Бурятское отделение Росреестра выявило 19 случаев неверного употребления наименований географических объектов на территориях Кяхтинского, Заиграевского, Еравнинского, Баунтовского, Тункинского и Окинского районов.

ТранспортБурятия

5092

28.12.2020

Всем школам Красноярского края рекомендовали отменить дистанционку

Каникулы для школьников Красноярского края пройдут с 30 декабря по 11 января. В краевом министерстве образования считают, что после каникул во все школы региона можно будет вернуть очное обучение.

ОбразованиеЗдоровьеКрасноярск

5105

28.12.2020

Антона Жукова утвердили в должности главного архитектора Иркутска

Антон Жуков выиграл конкурс на должность заместителя председателя комитета по градостроительной политике – главного архитектора Иркутска. В августе его назначили на этот пост в качестве исполняющего обязанности.

ОфициозИркутск

9383

28.12.2020

Экс-министр здравоохранения Прибайкалья Ледяева не смогла обжаловать свой арест

Наталия Ледяева пыталась выбраться из-под ареста. Её поместили под стражу из-за уголовного дела о мошенничестве при поставках масок для медиков Иркутской области. 28 декабря суд оставил это решение в силе.

РасследованияПолитикаИркутск

14624

28.12.2020

В Прибайкалье 497 домов остались без света из-за двух аварий

Утром 28 декабря произошли аварии на электросетях в Иркутском и Ольхонском районах. В 7:30 произошло аварийное отключение электричества в трёх садоводствах Иркутского района. Под отключение попали 236 частных жилых домов.

ПроисшествияЖКХИркутск

15824

28.12.2020

В новогоднюю ночь в Красноярске будут работать автобусы

13 специальных новогодних маршрутов приготовили в департаменте транспорта Красноярска. Хотя массовых гуляний в новогоднюю ночь не будет из-за коронавируса, специальные ночные маршруты всё же решено оставить. В этом году автобусы будут ходить до двух часов ночи.

ТранспортКрасноярск

6388

28.12.2020

В Прибайкалье за сутки умерло 15 человек с COVID-19, выздоровели 39 человек

По состоянию на утро 28 декабря в Иркутской области зарегистрировано 39996 лабораторно подтверждённых случаев коронавирусной инфекции. За последние сутки заболевание выявлено у 261 человека. 3176 человек проходят лечение в стационарах, ещё 6362 лечатся амбулаторно.

ЗдоровьеИркутск

5634

28.12.2020

Бурятский УКС простил «Бурятпроектреставрации» 635 миллионов рублей

Очередной скандал с незаконным госконтрактом на строительство онкондиспансера в Улан-Удэ снова закончился ничем.

Экономика и бизнесСкандалыРасследованияБурятия

16717

28.12.2020

Сибирские ученые открыли новый вид ночных бабочек

Группа отечественных ученых сделала открытие в науке, описав новый вид ночных бабочек. Фото с tayga.info Ученые описали новый вид ночных бабочек семейства Cossidae (Древоточцы) и назвали его в честь бога Ульгеня – Dyspessa ulgen sp. nov.

Есения Линней

Наука и технологииРоссия

8133

28.12.2020

В Иркутске собачьему приюту «К-9» нужна помощь после пожара

Ночью 28 декабря в питомнике «К-9» на улице Карпинская в Иркутске произошёл пожар. Возгорание началось в 4:33, к шести утра пожарные смогли потушить открытый огонь. Пожар был локализован на площади 90 квадратных метров.

Братья меньшиеПроисшествияИркутск

8877

28.12.2020

Иркутская региональная авиация застряла в позапрошлом веке

Ситуация с региональной авиацией в Иркутской области все более напоминает конец XIX века: что-то куда-то иногда летает, но порядка нет, самолетов нет, аэропортов нет, и в целом все плохо.

Максим Бакулев

ТранспортРасследованияЭкономика и бизнесИркутск

43226

28.12.2020

В Бурятии за сутки прибавилось 194 пациента с COVID-19, умерли пять человек

По состоянию на 8 утра 28 декабря в Бурятии зафиксировано 25345 случаев заражения коронавирусом. 13659 из них — в Улан-Удэ. За последние сутки количество заражённых выросло на 194 человека. У 149 пациентов заболевание выявили после жалоб на симптомы ОРВИ, остальные – контактные.

ЗдоровьеБурятия

4588

28.12.2020

Иркутские дайверы снова водили новогодний хоровод на дне Байкала

Иркутские дайверы установили елку на дне Байкала и водили вокруг нее новогодний хоровод. Погружение происходило 26 декабря в Листвянке. Игрушки к дереву прикрепили на берегу.

ТуризмСпортИркутск Байкал

5955

28.12.2020

Контейнерные площадки в Томске завалены мусором. Причина – сильный мороз

В Томске уже несколько дней плохо вывозится мусор. Причиной задержек стал отказ техники из-за морозов. Жители жалуются на горы невывезенного мусора во дворах на Иркутском тракте, улицах Алтайской, Никитина, Киевской, Белинского, Нахимова, Ленской и т.д.

ГеоЭкологияЭкономика и бизнесТомск

18795

28.12.2020

У виссарионовцев арестовали технику, дома, церковь и школу

Адвокат рассказал, какое имущество арестовали у Виссариона и его последователей. У главы общины Сергея Торопа (Виссариона) арестован снегоболотоход 2011 года выпуска, участок, где стоит его дом, и церковь в Петропавловке.

РасследованияКриминалРелигияКрасноярск

24680

28.12.2020

Прощание с Иннокентием Егоровым пройдёт в Улан-Удэ 29 декабря

Прощание с Егоровым Иннокентием Матвеевичем состоится 29 декабря с 11:00 до 13:00 в физкультурно-оздоровительном комплексе Улан-Удэ. Бывший первый зампред правительства Бурятии Иннокентий Егоров скончался 26 декабря в возрасте 70 лет.

It`s my life...Бурятия

6073

28.12.2020

Регоператор предупредил красноярцев о возможных перебоях с вывозом мусора в морозы

Левобережный региональный оператор предупредил красноярцев, что в связи с морозами могут быть перебои с вывозом мусора. Перебои могут возникнуть из-за особенностей эксплуатации коммунальной техники и ограничений в работе грузоподъемной техники.

ГеоЭкологияЭкономика и бизнесКрасноярск

14545

28.12.2020

Бурятии выделили 310 миллионов рублей из федерального бюджета

До конца года три региона России, в том числе и Республика Бурятия, получат более 2,5 миллиарда рублей на поддержание стабильности бюджетных систем. Бурятии выделяются 310 миллионов рублей.

ОфициозБурятия

5024

28.12.2020

Пожевать сахарку, запить постным маслом: на что вырастут цены в 2021-м

В Иркутской области с учетом зауральских коэффициентов килограмм сахара будет до марта стоить в рознице 50,6 рубля, подсолнечного масла - 115,5 рубля. Считай, продовольственный вопрос решен.

Камиль Фахрутдинов

Экономика и бизнесОбществоИркутск

23384

28.12.2020

Превышение токсинов в почве Норильска – природная аномалия?

Специалисты утверждают, что местный геохимический фон сформировался еще до того, как на территории началась добыча цветных металлов и прочие изыскания.

Анна Амгейзер

ЭкологияПроисшествияКрасноярск

22130

28.12.2020

Арктика — новая инвестиционная Мекка

Со следующего года, как ожидают власти, Арктика окончательно вступит в статус экономической Мекки и станет центром притяжения для нефтегазового и горнодобывающего бизнеса. Власти подготовили для этого всю необходимую законодательную базу. Дело за инвестором. Но инвестор нынче пошёл хитрый.

Макс Веселов

Экономика и бизнесРоссия Красноярск

23993

28.12.2020

Цитата дня. Депутат Зверев как насмешка над Бурятией

Выдвижение стилиста Сергея Зверева в Госдуму от Бурятии из затянувшейся шутки превращается в реальную политическую перспективу. Народный экстаз уже начал сменяться на скепсис - теперь жители республику видят в этом не больше, чем насмешку над своими традициями и культурой.

Андрей Светлов

ПолитикаКультураБурятия Россия

28355

27.12.2020

Пожар в Туруханске оставил без жилья более двух десятков людей в 40-градусные морозы

26 декабря около 17:00 в посёлке Туруханск Красноярского края полностью сгорел двухэтажный дом с 12 квартирами. Огонь охватил более 400 квадратных метров, возгорание ликвидировали лишь к полуночи. В результате пожара без жилья остались 25 человек, в том числе шесть детей.

ПроисшествияКрасноярск

4306

27.12.2020

МЧС перевели в режим повышенной готовности из-за морозов в Иркутской области

ГУ МЧС по Иркутской области 26 декабря сообщило о переводе аварийно-спасательных подразделений в режим повышенной готовности из-за аномальных морозов. Автор: Кирилл Шипицин Фото из альбома "Иркутск.

ГеоИркутск

5464

27.12.2020

215 жителей Томской области скончались после заражения COVID-19

За последние сутки COVID-19 выявили ещё у 184 человек в Томской области, 201 – выздоровел. Об этом 27 декабря сообщил оперштаб. С начала пандемии в регионе произошло 23 674 случая заражения коронавирусом, выздоровело уже 19 230 человек.

ЗдоровьеТомск

4489

27.12.2020

В Красноярском крае уже более 45 000 заболевших коронавирусом

По данным на 27 декабря, в Красноярском крае 45 218 заболевших коронавирусом. Суточный прирост – 326. Количество погибших достигло 1639, за последние сутки скончались ещё 18 заражённых COVID-19. 39 293 человека вылечились, с 26 декабря из больниц выписали ещё 405 пациентов.

ЗдоровьеКрасноярск

4797

27.12.2020

Управлению капстроительства Бурятии назначили начальника. Предыдущий под следствием

36-летний Анатолий Урбанов назначен начальником управления капитального строительства в Бурятии. Приказ о назначении подписали 25 декабря, на следующий день Минстрой сообщил об этом официально. Анатолий Урбанов Ранее Урбанов был заместителем начальника управления.

ПолитикаОфициозБурятия

18368

27.12.2020

В Красноярске в восьмой раз за год ввели режим «чёрного неба»

Вечером 26 декабря в Красноярске ввели режим «чёрного неба», он продлится до 19:00 29 декабря. В этот период из-за погодных условий над городом будут скапливаться вредные примеси. Автор: Иван Лебедев Фото из альбома "Красноярск.

ГеоЭкологияКрасноярск

23269

27.12.2020

207 жилых домов остались без электричества в 30-градусные морозы в Тайшетском районе

Жители 207 жилых домов и пять соцобъектов остались без электричества в посёлке Полинчет и селе Кондратьево Тайшетского района. Об этом 27 декабря сообщили в МЧС. Электричество отключилось в 6:25. Пять специалистов пытаются устранить неполадки.

ЖКХПроисшествияИркутск

12577

27.12.2020

Бешеный принтер вернулся: законы, которые изменят нашу жизнь в 2021-м

Депутаты Госдумы под конец года не на шутку расстарались и в окончательном чтении приняли пачку законопроектов — среди них есть довольно репрессивные. Заседание нижней палаты парламента состоялось 23 декабря. Следом, 25 декабря, всем этим законам рукоплескал Совет Федерации.

Алиса Беглова

ОбществоРоссия

10211

27.12.2020

В Томской области готовятся к новой волне коронавируса

Губернатор Томской области Сергей Жвачкин сообщил, что в регионе ведётся подготовка к третьей волне заболеваемости COVID-19. «То, что мы делаем сегодня, было предусмотрено еще весной. Я боюсь что-то говорить, но вирус себя так не вел.

ЗдоровьеЭкономика и бизнесТомск

14486

27.12.2020

У иркутской пенсионерки на улице украли 130 тысяч рублей

26 декабря в иркутском микрорайоне Радужный две женщины похитили сбережения у пенсионерки. Злоумышленницы подошли к 84-летней женщине и путём обмана похитили у неё 130 тысяч рублей. Сейчас полиция ищет подозреваемых. • Одной из них на вид 50 лет, рост около 160 см, плотного телосложения.

ПроисшествияИркутск

5036

27.12.2020

В Следственном комитете объяснили, почему выпустили Баира Жамбалова

Официальный представитель СУ СК Бурятии Дмитрий Столяров объяснил, почему обвиняемого в смертельном ДТП бывшего вице-спикера Хурала выпустили из-под домашнего ареста.

РасследованияПолитикаСкандалыБурятия

18847

27.12.2020

Жители посёлка Мама почти сутки оставались без отопления в мороз

Утром 25 декабря в посёлке Мама произошло аварийное отключение электроснабжения. Под отключение попала котельная «Школьная», из-за чего часть домов осталась не только без электричества, но и без отопления. Обрыв произошёл на высоковольтной линии на участке Мусковит – Мама.

ПроисшествияЖКХИркутск

13907

27.12.2020

В Красноярском крае торговые сети изменили режим работы в праздники

До конца декабря торговые сети в Красноярске и крае увеличили часы работы, чтобы минимизировать скопления людей. «О’кей» в районе ТРЦ «Планета», «Лента» на Свердловской и пять гастрономов «Красный Яр» работают круглосуточно, «Метро» и 42 «Красных Яра» открыты до 24:00.

Экономика и бизнесКрасноярск

12934

27.12.2020

В Прибайкалье за сутки умерло 16 человек с COVID-19, выздоровели 302 человека

По состоянию на утро 27 декабря в Иркутской области зарегистрировано 39735 лабораторно подтверждённых случаев коронавирусной инфекции. За последние сутки заболевание выявлено у 265 человек. 3092 человека проходят лечение в стационарах.

ЗдоровьеИркутск

5133

27.12.2020

В Бурятии за сутки прибавилось 196 пациентов с COVID-19, умерли пять человек

По состоянию на 8 утра 27 декабря в Бурятии зафиксирован 25151 случай заражения коронавирусом. 13567 из них — в Улан-Удэ. За последние сутки количество заражённых выросло на 196 человек. У 146 пациентов заболевание выявили после жалоб на симптомы ОРВИ, остальные – контактные.

ЗдоровьеБурятия

5238

27.12.2020

В Бурятии в праздники не будут пускать детей в ТЦ

В период новогодних праздников в торговые центры Бурятии не будут пускать детей без сопровождения взрослых. Такой пункт содержится в методических рекомендациях Роспотребнадзора, которые получили министры здравоохранения, культуры, спорта и торговли. Запрет распространяется на детей до 14 лет.

ЗдоровьеЭкономика и бизнесБурятия

15741

27.12.2020

В аэропорту Улан-Удэ у предпринимателя изъяли омуль и икру. Видео

Утром 26 декабря в аэропорту Улан-Удэ у одного из пассажиров, вылетавшего в Москву, обнаружили запрещенный груз – коробку омуля и несколько банок икры. Скриншот из видео.

ПроисшествияБурятия

6100

27.12.2020

Шестилетний ребёнок отравился парами хлора в красноярском бассейне

В одном из бассейнов Красноярска 25 декабря шестилетний мальчик получил отравление парами хлора. Ребенка отвезли в больницу. По предварительной версии следователей, вечером в пятницу работник бассейна, находясь на цокольном этаже, залил в систему дезинфекции воды гипохлорид натрия.

ПроисшествияКрасноярск

4763

27.12.2020

Скончался бывший первый зампред правительства Бурятии Иннокентий Егоров

Скоропостижно скончался бывший первый заместитель правительства Бурятии Иннокентий Егоров. По информации «МК Улан-Удэ», причиной смерти стали осложнения на фоне коронавирусной инфекции.

It`s my life...Бурятия

6464

27.12.2020

Киберпреступники отняли у томичей в 2020 году 150 миллионов рублей

В Томской области за 11 месяцев 2020 года зарегистрировано около трех тысяч киберпреступлений, это на 43 процента больше, чем годом ранее. Жителям региона причинен ущерб на сумму около 150 миллионов рублей.

КриминалТомск

4865

27.12.2020

Замглавы Минстроя Бурятии Рыбальченко отказался от предложенной должности и будет уволен

Замглавы Минстроя Бурятии Сергей Рыбальченко отказался от предложенной ему должности в жилищно-коммунальном комплексе министерства.

ПолитикаБурятия

15590

27.12.2020

Александр Лебедев: от паренька до мужичонки

Солдат, шофёр, милиционер, хулиган, рабочий, гость, пассажир… Или попросту паренёк, пока был молодым, и мужичонка в более зрелом возрасте. Этот невероятно органичный актёр сыграл огромное количество эпизодов, зачастую без собственных имён героев и далеко не всегда попадая в титры.

Филипп Марков

КультураСобытияРоссия

48066

26.12.2020

«Байкал-Энергия» приняла участие в акции En+ Group «Стань Дедом Морозом»

Игроки команды «Байкал-Энергия» приняли участие в благотворительной акции «Стань Дедом Морозом!», которую уже восьмой год проводит компания En+ Group.

ТранспортИркутск

4945

26.12.2020

В Томской области COVID-19 за сутки выявили ещё у 196 жителей. Пять человек скончались

Всего в регионе коронавирусом на данный момент болеют 4247 человек. По данным регионального оперштаба на 20 декабря, за сутки коронавирус подтвердился ещё у 196 жителей региона: у 77 заболевших инфекция протекает бессимптомно, у 115 есть признаки ОРВИ, у четырёх — пневмония.

ЗдоровьеТомск

4719

26.12.2020

В Красноярском крае за сутки скончался 21 человек с COVID-19

По информации оперштаба на 26 декабря, за сутки коронавирус выявили у 328 жителей, 21 человек скончался. Всего с начала пандемии в Красноярском крае лабораторно подтверждены 44892 случая заражения COVID-19. На данный момент в регионе коронавирусом болеют 5172 человека.

ЗдоровьеКрасноярск

5010

26.12.2020

56 000-летнего волчонка обнаружили учёные во льдах Канады

Уникальную находку в виде мумии древнего волчонка обнаружили учёные на территории Канады. На неё случайно наткнулся золотодобытчик, когда разбивал лёд водяной пушкой. Поняв, что это может быть ценным объектом, он забрал замёрзшее тело с собой, поместил его в морозилку и доставил палеонтологам.

Миша Ковальски

Наука и технологииИсторияМир

13994

26.12.2020

Более 315 миллионов дадут Прибайкалью в 2021 году на проект «Сохранение лесов»

Из бюджета РФ в 2021 году Иркутской области будет выделено 315,7 миллиона рублей на федеральный проект «Сохранение лесов» нацпроекта «Экология» в 2021 году. об этом 26 декабря сообщили в пресс-службе правительства региона.

ЭкологияИркутск

15017

26.12.2020

Застройщик начал строить детсады в двух томских сёлах до победы в аукционе

УФАС Томской области при проверке обнаружило, что холдинг ОАО «ТДСК» начал строительство детских садов в двух сёлах региона задолго до того, как были объявлены результаты аукциона по выбору застройщика для этих объектов.

ПроисшествияТомск

4448

26.12.2020

Двухмесячный карантин из-за бешенства объявлен в Улан-Удэ и трёх пригородных районах

Вечером 25 декабря в микрорайоне Восточный Улан-Удэ был обнаружен труп лисы с признаками бешенства. По данному поводу было проведено срочное совещание противоэпидемической комиссии. Об этом сообщает «АригУс».

Братья меньшиеЗдоровьеПроисшествияБурятия

5923

26.12.2020

Компания «Алмаз» не будет заключать контракт на консультации по развитию Иркутского аэропорта

25 декабря торговая компания «Алмаз», ставшая победителем конкурса по оказанию консультационных услуг по развитию и привлечению инвестиций в аэропорт Иркутска, отказалась от заключения контракта. Об этом сообщает пресс-служба правительства Иркутской области.

ТранспортИркутск

6843

26.12.2020

Из Иркутска в Красноярск в январе начинает летать NordStar

Авиакомпания NordStar запускает новый авиарейс из Иркутска в Красноярск. Об этом 24 декабря сообщалось на сайте перевозчика. Летать будут три раза в неделю с 9 января - по вторникам, четвергам и субботам. На рейсах будут задействованы самолёты ATR 42-500. Цена билетов – от пяти тысяч рублей.

ТранспортИркутск Красноярск

4752

26.12.2020

В Иркутской области заболело COVID-19 ещё 268 человек

По данным на 26 декабря в Иркутской области зарегистрировано 39470 случаев заражения коронавирусом. Прирост за сутки составил 268 новых случаев, сообщает региональный оперштаб. Среди вновь выявленных больных пятеро – вахтовики, 20 – дети до 17 лет. В больницах лечится 3071 человек.

ЗдоровьеПроисшествияИркутск

5184

26.12.2020

Вариант трассировки малого транспортного кольца вокруг Томска предложили в мэрии

На заседании томской городской думы 25 декабря был рассмотрен один из вариантов трассировки малого транспортного кольца вокруг города. Об этом сообщает РИА «В Томске». О том, что Томску нужен транспортный обход, говорят с 2014 года.

ТранспортТомск

6605

26.12.2020

Почти 25 тысяч жителей Бурятии заразились коронавирусом

По данным на утро 26 декабря в Бурятии зарегистрировано 24955 случаев заражения коронавирусом. За сутки выявили 198 новых случаев, сообщает республиканский Роспотребнадзор. 54% заболевших (13475 человек) – жители Улан-Удэ.

ПроисшествияЗдоровьеБурятия

5148

26.12.2020

Из-за морозов «Томскавтотранс» отменил дальние автобусные рейсы

«Томскавтотранс» из-за морозов отменил автобусные рейсы по нескольким направлениям в населенные пункты Томской области и за пределы региона. Синоптики прогнозируют с 26 по 30 декабря сильные морозы: в эти дни ожидается -35 °С и ниже.

ТранспортГеоТомск

6016

26.12.2020

Красноярский адвокат стал фигурантом уголовного дела

Следователи возбудили уголовное дело в отношении адвоката Красноярской коллегии адвокатов Николая Новикова, подозреваемого в покушении на мошенничество (часть 3 статьи 30, часть 1 статьи 159 Уголовного кодекса РФ).

ПроисшествияРасследованияКрасноярск

14714

26.12.2020

Минстрой Бурятии предложил Сергею Рыбальченко новую работу

Замглавы Минстроя Бурятии Сергею Рыбальченко, должность которого вскоре должны упразднить, предложили другую работу – должность замминистра – председателя комитета функционирования и модернизации жилищно-коммунального комплекса. «…у Сергея Рыбальченко есть опыт работы в данной сфере.

ПолитикаРасследованияБурятия

15324

26.12.2020

Роспотребнадзор выявил кишечное отравление у 75 учащихся шелеховской школы № 6

Роспотребнадзор по Иркутской области продолжает эпидемиологическое расследование в школе № 6 города Шелехова, где массово отравились учащиеся. 25 декабря ведомство сообшило, что у 75 детей явные симптомы отравления.

ПроисшествияОбразованиеИркутск

7555

26.12.2020

Минпросвещения из-за коронавируса отменяет досрочную сдачу ЕГЭ в 2021 году

Минпросвещения России в 2021 году из-за коронавируса отменяет досрочный период проведения ЕГЭ для выпускников 11 классов. Итоговые сочинение и изложение, являющиеся для одиннадцатиклассников допуском к ГИА (государственной итоговой аттестации), пройдут в середине апреля.

ОбразованиеЗдоровьеРоссия

6409

26.12.2020

Правительство РФ расширяет границы ТОР «Забайкалье» и «Бурятия»

Власти РФ намерены расширить границы территорий опережающего развития (ТОР) «Забайкалье» и «Бурятия». Соответствующие постановления уже подписал премьер-министр Михаил Мишустин. Об этом 25 декабря сообщает пресс-служба правительства России.

Экономика и бизнесЗабайкалье Бурятия

15080

25.12.2020

Баира Жамбалова отпустили из-под домашнего ареста. Его обвиняют в смерти девочки

Экс-лидера единороссов Бурятии Баира Жамбалова 25 декабря освободили из-под домашнего ареста. Об этом сообщил «МК в Бурятии», ссылаясь на слова отца Галины Бурчевской, в смерти которой обвиняют Жамбалова. По информации издания, Жамбалова выпустили из-под домашнего ареста, но с ограничениями.

ПолитикаРасследованияСкандалыБурятия

19358

25.12.2020

В Красноярском крае семьи врачей, умерших от COVID-19, получат по миллиону рублей

Глава Красноярского края Александр Усс планирует учредить дополнительную выплату в размере миллиона рублей семьям медиков, умерших от коронавируса. Об этом 25 декабря сообщила пресс-служба правительства региона.

ОбществоЗдоровьеЭкономика и бизнесКрасноярск

15479

25.12.2020

Штраф за самовыгул собак в Бурятии могут увеличить до 50 тысяч рублей

В мэрии Улан-Удэ 25 декабря предложили увеличить максимальную сумму штрафа за самовыгул собак. Сейчас неответственным хозяевам грозит лишь штраф от 500 до 1000 рублей.

Братья меньшиеЭкономика и бизнесОбществоБурятия

18117

25.12.2020

Школьники в Шелехове могли отравиться плохо проваренной курицей

Ученики школы №6 Шелехова могли отравиться плохо проваренной курицей. Об этом в своем Instagram-профиле 25 декабря сообщил губернатор Прибайкалья Игорь Кобзев. Напомним, что 24 декабря 117 школьников пожаловались на тошноту и рвоту.

ПроисшествияРасследованияИркутск

21393

25.12.2020

Думе Томска рекомендовали рассмотреть вопрос об отставке мэра Кляйна

В конце ноября прокуратура обратилась в думу Томска, депутатам рекомендовали рассмотреть вопрос об отставке мэра Ивана Кляйна, в связи с обвинениями по уголовному делу. 25 декабря в думе рассказали, в каком случае это станет возможным.

ПолитикаРасследованияТомск

14304

25.12.2020

В Иркутске осуждённого изнасиловали кипятильником. ГУФСИН отрицает пытки

Женщина рассказала, что её осуждённого брата пытали в иркутской колонии № 6. По её словам, мужчину изнасиловали кипятильником, в результате пострадавшему понадобилось две операции на кишечнике. В ГУФСИН 25 декабря заявили, что осуждённый пострадал из-за конфликта с сокамерниками.

КриминалПроисшествияРасследованияИркутск

27752

25.12.2020

Еще 185 человек в Томской области заразились коронавирусом

По данным на 25 декабря, еще 185 человек в Томской области заболели COVID-19. Также за сутки 231 пациент выздоровел. Летальных исходов зарегистрировано не было. Об этом сообщает региональный оперштаб по коронавирусу.

ЗдоровьеОбществоТомск

5522

25.12.2020

В Красноярском крае 1600 погибших пациентов с COVID-19

По данным на 25 декабря, в Красноярском крае 44 564 заболевших коронавирусом. Суточный прирост – 328, темп прироста – 0,7%. Количество погибших достигло 1600, за последние сутки скончались ещё 20 заражённых COVID-19. 38 483 человека вылечились, с 24 декабря из больниц выписали ещё 483 пациента.

ЗдоровьеКрасноярск

4751

25.12.2020

Итоги года для аферистов: «навар» в 150 миллиардов и новые техники обмана

У мошенников тоже есть свои «профессиональные» достижения. Как и нормальные благочестивые люди, они подводят итоги года и строят планы на год грядущий. 2020 год выдался урожайным для телефонных и онлайн-мошенников.

Алиса Беглова

Экономика и бизнесРоссия

30073

25.12.2020

Возбуждено уголовное дело из-за массового отравления школьников в Шелехове

Следственный комитет 25 декабря возбудил уголовное дело по факту массового отравления детей в школе № 6 в Шелехове. По информации следователей, с 24 декабря к медикам обратились уже 22 школьника с признаками отравления. Двое из них находятся в больнице, остальные лечатся амбулаторно.

ПроисшествияРасследованияИркутск

21013

25.12.2020

Некоторым кафе в Красноярском крае всё же разрешили работать в новогодние дни

В Красноярском крае 25 декабря внесли изменения в указ об антиковидных ограничениях в работе общепита. Некоторые кафе всё же смогут работать в новогодние праздники.

Экономика и бизнесКрасноярск

13202

25.12.2020

Бар сына депутата Хурала Покацкого закрыли на 3 месяца за антиковидную вечеринку

Роспотребнадзору со второго раза удалось добиться наказания для гриль-бара «Фабрика», принадлежащего сыну депутата Народного Хурала Покацкому. 25 декабря суд повторно рассмотрел это дело. «Фабрику» закрыли на 90 суток за проведение вечеринки во время локдауна.

РасследованияЭкономика и бизнесБурятия

15155

25.12.2020

Аврал в Фонде капремонта: на пути к уголовному делу?

Крайне нездоровая ситуация наблюдается в Фонде капитального ремонта Иркутской области. В погоне за выполнением плана, страдает качество работ, что может вызвать череду громких административных и даже уголовных дел.

Антoн Херсонцев

Экономика и бизнесЖКХИркутск

34035

25.12.2020

Иркутских чиновников заставят заплатить пять миллионов рублей за украденный грунт

Байкало-Ангарская транспортная прокуратура взыскала пять миллионов рублей за похищенный грунт. В 2019 году бывшего начальника и ведущего инженера Ангарского района водных путей и судоходства, а также местного предпринимателя осудили за мошенничество.

КриминалИркутск

6301

25.12.2020

В Красноярске появился первый проекционный пешеходный переход

Пешеходный переход, дублируемый двумя проекторами, появился на улице Вавилова в Красноярске. Новшеством похвастался в Instagram мэр Сергей Ерёмин. Проекторы дублируют разметку, нанесённую на асфальт. Это позволяет высветить пешехода в тёмное время суток, что должно увеличить безопасность на дороге.

ТранспортКрасноярск

6052

25.12.2020

Tele2 дарит новогодние подарки иркутянам в своих салонах

Tele2 приглашает иркутян зарядиться праздничным настроением в фирменных салонах связи. Каждый клиент компании может получить приятный сюрприз от оператора. Tele2 предлагает иркутянам окунуться в предпраздничную атмосферу. В салонах оператора стартовала новогодняя промо-акция.

Интернет и ИТИркутск

6301

25.12.2020

Минлеса Прибайкалья пыталось вырубить защитный лес под ненужную противопожарную полосу

Прокуратура Иркутской области запретила министерству лесного хозяйства проводить сплошные рубки возле посёлка Озёрный Братского района. Проверку начали после обращения жителей посёлка.

КриминалИркутск

6893

25.12.2020

Иркутская область снова стала самым грязным регионом

Общественная организация «Зелёный патруль» завершила ежеквартальный экологический подсчёт и составила рейтинг регионов. Так, Иркутская область снова заняла первое место с конца, став самым грязным регионом страны.

Миша Ковальски

ЭкологияИркутск

22674

25.12.2020

Из Томска появится прямой рейс в Красноярск и Ханты-Мансийск

С 14 января 2021 года авиакомпания NordStar запускает новый рейс Красноярск – Томск – Ханты-Мансийск. Пока самолёты по новому направлению будут летать раз в неделю, однако в дальнейшем авиаперевозчик намерен вдвое увеличить их число. В 8:00 по четвергам самолёт будет отправляться из Красноярска.

ТранспортКрасноярск Томск

6761

25.12.2020

Правила ковидной госпитализации немного изменились и смягчились

О снятии масочного режима речи пока нет, но борьба с коронавирусным врагом уже официально смягчается. Министерство здравоохранения РФ выпустило поправки к Приказу № 198 о порядке оказания ковидной помощи. Согласно которым, тестирование на COVID-19 разрешается понизить.

Аэлита Хлебникова

ЗдоровьеРоссия

10549

25.12.2020

Часть турбазы «Улирба» на Ольхоне необходимо снести по решению суда

Ольхонский районный суд обязал собственника турбазы «Улирба» на Малом море снести часть объектов, которые незаконно построены на участке площадью 11 гектаров.

ТуризмНедвижимостьБайкал Иркутск

9648

25.12.2020

Житель Тайшета предстанет перед судом за незаконную рубку на 10 миллионов

Полицейские следователи закончили расследование уголовного дела в отношении 55-летнего жителя Тайшета. Его обвиняют организации преступной группировки «чёрных лесорубов».

КриминалИркутск

5138

25.12.2020

В Прибайкалье за сутки умерло 17 человек с COVID-19, выздоровели 283 человека

По состоянию на утро 25 декабря в Иркутской области зарегистрировано 39202 лабораторно подтверждённых случая коронавирусной инфекции. За последние сутки заболевание выявлено у 270 человек. 3202 человека проходят лечение в стационарах, ещё 6267 лечатся амбулаторно.

ЗдоровьеИркутск

5249

25.12.2020

С уходящим годом Крысы: депутаты Заксобрания отправились на зимние каникулы

24 декабря состоялась заключительная в 2020 году сессия Законодательного Собрания Красноярского края. В следующий раз региональные парламентарии соберутся все вместе в лучшем случае в начале февраля 2021 года.

Александр Тубин

ПолитикаКрасноярск

25989

25.12.2020

Томичи просят омбудсмена бороться с масочным режимом

24 декабря уполномоченный по правам человека Томской области Елена Карташова ответила на вопросы журналистов во время пресс-конференции. Она рассказала о самых популярных запросах жителей и пожаловалась на COVID-диссидентов. С начала 2020 года в аппарат уполномоченного поступило 2420 обращений.

ЗдоровьеОбществоТомск

5196

25.12.2020

В Бурятии за сутки прибавилось 195 пациентов с COVID-19, умерли пять человек

По состоянию на 8 утра 25 декабря в Бурятии зафиксировано 24757 случаев заражения коронавирусом. 13375 из них — в Улан-Удэ. За последние сутки количество заражённых выросло на 195 человек. У 144 пациентов заболевание выявили после жалоб на симптомы ОРВИ, остальные – контактные.

ЗдоровьеБурятия

4824

25.12.2020

У Николаевского моста в Красноярске в 2021 году пройдут археологические раскопки

Власти Красноярска выделяют 72 миллиона на археологические раскопки в районе Николаевского моста. Тендер опубликован на сайте госзакупок. Начальная (она же максимальная) цена – 72,4 миллиона рублей. Специалистам необходимо провести раскопки и работу с найденными объектами.

Экономика и бизнесИсторияКрасноярск

26355

25.12.2020

Дума Иркутска попросит губернатора вернуть городу участки на границе с Марковским МО

Дума Иркутска по многочисленным просьбам горожан будет ходатайствовать о возвращении Иркутску земельных участков на границе микрорайона Академгородок и Марковского МО. Напомним, на заседании думы Иркутска 26 ноября депутат Александр Сафронов поднял вопрос о возможной вырубке леса в Академгородке.

ЭкологияНедвижимостьИркутск

20578

25.12.2020

Состояние здоровья Ивана Кляйна в томском УФСИН назвали удовлетворительным

Состояние здоровья Ивана Кляйна, находящегося в СИЗО, удовлетворительное, он получает необходимое амбулаторное лечение, – сообщила пресс-служба регионального управления ФСИН.

РасследованияТомск

22216

25.12.2020

Для населения Усолья-Сибирского приобрели противогазы на 43 миллиона рублей

МЧС закупила более 11 тысяч противогазов на сумму 42,8 миллиона рублей для жителей Усолья-Сибирского. Средства защиты приобрели за счет бюджетов РФ и Иркутской области и передали муниципальному образованию.

ЭкологияИркутск

16240

25.12.2020

Директора стройфирмы, обманувшей дольщиков на Грунтовой в Красноярске, будут судить

В Красноярске завершено расследование уголовного дела в отношении директора стройфирмы, обвиняемого в злоупотреблении полномочиями и присвоении крупной суммы денег.

РасследованияСкандалыНедвижимостьКрасноярск

17861

25.12.2020

Бывший начальник угрозыска в Иркутске осуждён за взятку от сутенёра

Октябрьский районный суд города Иркутска приговорил бывшего начальника угрозыска отдела полиции № 5 Александра Юринского к четырем годам лишения свободы за взятку и покушение на мошенничество. Об этом со ссылкой на пресс-службу суда 24 декабря сообщает Тайга.инфо.

РасследованияИркутск

21328

25.12.2020

Новый год от Пилигримов: с надеждой на лучшее

Иркутская область по‑прежнему остаётся одной из немногих российских территорий, где любители театра сидят на голодном пайке, а актёры не имеют возможности встретиться с любимыми зрителями.

Филипп Марков

КультураИркутск

54975

25.12.2020

В Томской области приняли «закон о тишине». Над ним работали около пяти лет

24 декабря депутаты Думы Томской области приняли во втором чтении закон «Об отдельных вопросах обеспечения права граждан на отдых на территории Томской области». Об этом сообщает РИА Томск.

ОбществоТомск

5446

24.12.2020

Мировая мама. Вспоминая Любовь Добржанскую

Я не обижаюсь, я же мировая мама! Я всё приготовлю и уйду к приятельнице. Из фильма «Ирония судьбы, или С лёгким паром!» Она сыграла всего десять ролей в кино, что не помешало ей завоевать любовь всей страны и уйти из жизни в звании народной артистки Советского Союза.

Филипп Марков

КультураСобытияРоссия

63862

24.12.2020

«Силовые машины» требуют взыскать с «Норникеля» почти три миллиарда рублей

Питерское ПАО «Силовые машины» намерено отсудить у «Норникеля» 2,83 миллиарда рублей. 21 декабря соответствующий иск поступил в арбитражный суд Москвы, сообщает ТАСС. Отмечается, что заявление еще не приняли к производству. Кроме того, в материалах арбитража не указаны исковые основания.

Экономика и бизнесРасследованияРоссия Красноярск

26440

24.12.2020

Бурная общественная жизнь Солнечного

Микрорайон Солнечный беспрестанно задаёт тон в общегородской повестке Красноярска. Разборки с подрядчиком, скамеечный скандал, войны со зловредным бизнесменом — жизнь в микрорайоне бьёт ключом. Скандалы вокруг «парка Путина» Одни только перипетии с «парком Путина» чего стоят.

Макс Веселов

ОбществоЖКХСкандалыКрасноярск

21502

24.12.2020

Жвачкин о критиках проекта кампуса: «Блогеры-популисты, претендующие на статус оппозиции»

Губернатор Томской области 24 декабря заявил, что критики проекта студенческого кампуса за 35 миллиардов рублей являются «группой блогеров» и «популистов», которые ещё не заслужили статус оппозиции. По словам губернатора, он знает «тысячи вещей, по которым бы люди аплодировали».

ПолитикаЭкономика и бизнесНедвижимостьТомск

36593

24.12.2020

Нам пишут. Депутат Распутин мстит врачам за умершую сестру?

К сожалению, в нашей стране никто не застрахован от случайного попадания под следствие и столкновения со следственным произволом. Эта история как раз об этом. Она началась в Иркутске три года назад.

Антoн Херсонцев

РасследованияЗдоровьеИркутск

34229

24.12.2020

«Большое количество собак неизбежно». В Бурятии хотят изменить нормы по отлову псов

Глава Бурятии Алексей Цыденов 24 декабря прокомментировал участившиеся нападения собак на жителей республики. Он рассказал, каким образом власти планируют бороться с этой проблемой.

ПроисшествияБратья меньшиеБурятия

6619

24.12.2020

Tele2 оснастила лицей ИГУ интерактивной видеостудией для дистанционного образования

Tele2 в рамках соглашения о сотрудничестве с правительством Иркутской области установила в МАОУ Лицей ИГУ Иркутска интерактивную видеостудию для цифровизации образовательного процесса. Оператор предлагает школьникам и педагогам лицея «учиться по другим правилам», используя digital-технологии.

МолодежьОбразованиеИркутск

19400

24.12.2020

Yota обнулит трафик на мессенджеры 

Мобильный оператор Yota не будет считать трафик мессенджеров WhatsApp, Telegram, Viber и Skype в течение двух дней - 31 декабря и 1 января. «Все мы соскучились по близким в этом году, и по объективным причинам часть из них не можем увидеть до сих пор.

Ярослава Грин

Интернет и ИТОбществоИркутск

22411

24.12.2020

Евгений Стекачев испугался крематория

Дума Иркутска препятствует строительству городского крематория, ссылаясь на его «негативный» эффект. Уже несколько лет в Иркутске остро строит вопрос с захоронениями умерших: кладбища переполнены и практически не имеют ресурса для расширения.

Василий Сибирцев

Экономика и бизнесПолитикаИркутск

42863

24.12.2020

В школе Шелехова произошло массовое отравление детей

Около 100 из 728 человек не вышли на учёбу в шелеховской школе № 6. Следственный комитет, прокуратура и Роспотребнадзор уже начали расследование, специалисты изучают пищеблок, воду и продукты в школе. Об этом 24 декабря сообщили в правительстве Иркутской области.

ПроисшествияОбразованиеИркутск

5451

24.12.2020

Лесная отрасль заживет. Лет через десять

Правительство страны планирует рассмотреть новую версию «Стратегии развития лесного комплекса до 2030 года». Прежний вариант документа был принят в сентябре 2018 года, когда должность премьер-министра РФ занимал Дмитрий Медведев.

Александр Тубин

Экономика и бизнесРоссия

21327

24.12.2020

Только чай и вода. Как проходит голодовка работников ТГК-14. Видео

Массовая голодовка на объектах ТГК-14 продолжается третий день: число протестующих увеличилось, на ситуацию обратила внимание уполномоченная по правам человека в Бурятии.

Александр Макаров

ОбществоПолитикаЭкономика и бизнесБурятия

39783

24.12.2020

В Бурятии осудят завотделением онкодиспансера, вымогавшего взятку

В Бурятии будут судить 42-летнего заведующего одного из отделений республиканского клинического онкологического диспансера. Его обвиняют в получении взятки, совершенном с ее вымогательством. Об этом 24 декабря сообщила пресс-служба регионального следкома.

РасследованияЗдоровьеБурятия

11950

24.12.2020

Следователи начали проверку Лесхоза Иркутской области из-за жалоб рабочих

Ранее больше 50 работников Лесхоза Иркутской области сообщили, что им уже полгода не выплачивают зарплаты. 24 декабря «Тайга.инфо» сообщила, что Следственный комитет начал проверку в госучреждении. По данным издания, следователи обратились к главе Лесхоза Максиму Панченко.

Экономика и бизнесИркутск

13427

24.12.2020

Подлость министра Рузавина: как Минстрой Бурятии избавляется от Сергея Рыбальченко

Спустя два года Сергей Рыбальченко смог вернуться к нормальной жизни - 23 декабря суд снял все ограничения с чиновника, ставшего крайним в скандальном “деле сирот”. Но в минстрое своему верному сотруднику оказались не рады - министр Николай Рузавин встретил своего заместителя настоящей “подляной”.

Андрей Светлов

ПолитикаЖКХСкандалыБурятия

25312

24.12.2020

Число заболевших коронавирусом в Томской области превысило 23 тысячи

По данным на 24 декабря, еще 184 человека в Томской области заболели COVID-19. Также за сутки 198 пациентов выздоровели, трое умерли. Об этом сообщает региональный оперштаб по коронавирусу.

ЗдоровьеОбществоТомск

5122

24.12.2020

Цитата дня. “Кто бы мог подумать, что власть в Бурятии выродится в такое?”

Стилист, модель и просто замечательный человек Сергей Зверев продолжает свое триумфальное шествие по Бурятии - теперь уже в национальном костюме и со свитой из местных министров и чиновников. То, что изначально задумывалось как шутка и розыгрыш, стало абсурдной реальностью республики.

Андрей Светлов

ПолитикаКультураМаразмБурятия Россия

42029

24.12.2020

В Красноярском крае уже более 44 000 заболевших COVID-19

По данным на 24 декабря, в Красноярском крае 44 236 случаев заражения коронавирусом. Суточный прирост – 450, темп прироста – 0,7%. С начала пандемии выздоровело 38 000 человек, с 23 декабря из больниц выписали ещё 450 пациентов.

ЗдоровьеКрасноярск

5175

24.12.2020

В Европе и США цены на продукты увеличатся до 146%, чтобы компенсировать влияние на климат

Теперь за влияние на климат будет платить и потребитель. Самое сильное негативное воздействие на экологию оказывает мясо.

Анна Амгейзер

ЭкологияНаука и технологииОбществоМир

34436

24.12.2020

Стая собак напала на 9-летнюю девочку в Красноярске. СК начал проверку

Бродячие собаки накинулись на девочку прямо у школы. Чиновники заявили, что местные жители подкармливают животных и не дают их отлавливать. 24 декабря следственный комитет начал проверку этого инцидента. Очевидцы спасли девочку от псов.

ПроисшествияКрасноярск

6978

24.12.2020

Компания En+ Group возглавила рейтинг открытости экологической информации топливных энерго- и теплогенерирующих компаний

Компания «Иркутскэнерго», входящая в состав En+ Group, ведущего вертикально интегрированного производителя алюминия и электроэнергии, возглавила рейтинг открытости экологической информации топливных энерго- и теплогенерирующих компаний, работающих на территории России.

ЭкологияЭкономика и бизнесИркутск

17277

24.12.2020

В Томской области впервые за 10 лет назначили нового детского омбудсмена

Чиновница из администрации Томской области Лариса Лоскутова стала новым детским омбудсменом региона. 24 декабря депутаты законодательной думы утвердили её назначение. Срок полномочий действующего омбудсмена истекает в конце декабря, Людмила Эфтимович занимала этот пост с 2010 года.

ОфициозТомск

5578

24.12.2020

Богатая жена и несговорчивые "любовницы" иркутского депутата Кудрявцева

Если верить цифрам официального дохода Алексея Кудрявцева, который он указывает в декларации (а это 1,6 миллиона рублей), можно сделать однозначный вывод. Он - альфонс при состоятельной жене, которая является одной из самых богатых жен депутатов в Думе Иркутска.

Максим Бакулев

РасследованияСкандалыИркутск

136358

24.12.2020

В Иркутске безвредный зелёный ручей помог обнаружить нарушения на котельной

Утечка зелёной технической жидкости, которая произошла в Иркутске в сентябре 2020 года, оказалась безвредной, но помогла выявить другие нарушения. 16 сентября жители микрорайона Зелёный обнаружили ярко-зелёный ручей.

ЭкологияИркутск

13772

24.12.2020

Бюджетникам Красноярского края разрешили отдохнуть 31 декабря

В Красноярском крае готовят указ о выходном дне 31 декабря. Об этом 24 декабря сообщили в пресс-службе правительства региона. Отрабатывать внезапный выходной в другой день скорее всего не придётся.

ОбществоКрасноярск

6947

24.12.2020

Выборы ректора БГУ назначили на 25 января

23 декабря в Байкальском госуниверситете прошло заседание ученого совета, на котором назначили дату выборов ректора. Конференция работников и студентов пройдёт 25 января в 11:00 в СКДЦ «Художественный», её участники выберут руководителя вуза.

ОбразованиеИркутск

7227

24.12.2020

Братья Маслодудовы останутся под арестом еще на два месяца

22 декабря Железнодорожный суд Красноярска продлил экс-министру лесного хозяйства края срок содержания под стражей. Димитрий Маслодудов останется в СИЗО до 25 февраля 2021 года. Его брат Юрий, который, как считают следователи, передавал ему взятки, останется на тот же срок под домашним арестом.

РасследованияКрасноярск

16925

24.12.2020

В Улан-Удэ за два дня собаки напали на людей четыре раза

24 декабря в Улан-Удэ два ребёнка пострадали от нападений собак в разных районах города. Накануне собаки покусали девушку и ребёнка. Одиннадцатиклассница возвращалась домой из школы №50, когда на неё накинулась большая собака и укусила за бедро. Девочку госпитализировали в республиканскую больницу.

ПроисшествияБурятия

5402

24.12.2020

Бремя выбора: электронная или бумажная трудовая?

К концу 2020 года для работников легального трудового рынка актуализировался вопрос о выборе формы ведения трудовой книжки — вести её дальше в старом бумажном виде или полностью перейти на электронную форму.

Алиса Беглова

ОбществоРоссия

9239

24.12.2020

В Китае произведен высокоскоростной грузовой поезд со скоростью 350 км/ч

23 декабря 2020 горда высокоскоростной грузовой поезд со скоростью 350 км/ч был официально выпущен компанией CRRC Тangshan в городе Таншань провинции Хэбэй Китая. По словам главного конструктора данного поезда Лян Юнтина, поезд может функционировать при температурах от -25℃ до 40℃.

Василий Чайкин

ТранспортЭкономика и бизнесКитай

24207

24.12.2020

Мосгорсуд оставил Андрея Левченко в СИЗО

23 декабря Мосгорсуд отклонил апелляцию адвокатов Андрея Левченко и признал законным решение Басманного суда. Сын экс-губернатора Прибайкалья останется в СИЗО до 20 февраля. Об этом 23 декабря сообщили в пресс-службе суда.

ПолитикаРасследованияИркутск

17182

24.12.2020

В ТГУ разработали нейросеть для написания новостей

Сотрудники лаборатории лингвистической антропологии филологического факультета ТГУ и магистранты автономной магистерской программы «Компьютерная и когнитивная лингвистика» создали онлайн-сервис по автоматическому анализу и генерации новостных текстов «WORLD2NEWS».

Пепел

Интернет и ИТНаука и технологииТомск

10670

24.12.2020

В Прибайкалье за сутки умерло 17 человек с COVID-19, выздоровели 283 человека

По состоянию на утро 21 декабря в Иркутской области зарегистрировано 38932 лабораторно подтверждённых случая коронавирусной инфекции. За последние сутки заболевание выявлено у 275 человек. 3253 человека проходят лечение в стационарах, ещё 6387 лечатся амбулаторно.

ЗдоровьеИркутск

5229

24.12.2020

Адвокаты Кляйна: «Это пиар-ход перед продлением срока содержания»

Адвокаты бывшего мэра Томска Ивана Кляйна были сильно удивлены, когда через СМИ до них дошла информация о возбуждении второго уголовного дела против экс-градоначальника. Новый эпизод связан с незаконным выделением земельного участка его дочери. Следственный комитет подтвердил эти сведения.

Андрей Игнатьев

КриминалТомск

7428

24.12.2020

28 новых туалетов: «Заповедное Прибайкалье» отчиталось, на что уходят деньги туристов

23 декабря 2020 года состоялась пресс-конференция, посвящённая работе «Заповедного Прибайкалья». На ней директор учреждения Умар Рамазанов рассказал о том, куда уходят деньги, которые они получают от туристов за покупку пропусков в Прибайкальский нацпарк.

Миша Ковальски

ЭкологияТуризмБайкал Иркутск

26230

24.12.2020

Обзор иркутских клиник: «Эксперт». Хороший федеральный уровень и плохое отношение к пациентам

Экспертная группа Бабра продолжает проверять уровень сервиса частных иркутских клиник. Из-за коронавируса все государственные больницы и поликлиники фактически парализованы тысячами страждущих либо вылечиться от коронавируса, либо сдать на него тест.

Лера Крышкина

ЗдоровьеЭкономика и бизнесРасследованияИркутск

64313

24.12.2020

Губернатор Красноярского края пояснил новые запреты для общепита

На пресс-конференции 23 декабря губернатор Красноярского края Александр Усс пояснил, зачем в регионе ввели новые ограничения для общепита. По словам главы региона, рестораны предназначены для приёма пищи, а не для развлечений.

Экономика и бизнесКрасноярск

11482

24.12.2020

Председатель Избиркома Бурятии Ивайловский уходит в отставку?

Председатель Избирательной комиссии Руспублики Бурятия Дмитрий Ивайловский в ближайшее время может покинуть свой пост. По данным телеграм-канала «БурКОПсоюз», Ивайловский написал заявление о сложении полномочий. Дмитрий Ивайловский возглавил Избирком Бурятии в 2003 году.

ПолитикаБурятия

15402

24.12.2020

24 декабря на Байкале произошло землетрясение возле Ольхона

В ночь на 24 декабря в районе острова Ольхон на Байкале произошло землетрясение. Об этом сообщается на сайте Байкальского филиала Единой геофизической службы. Сейсмическое событие энергетического класс 9,7 было зафиксировано в 2:30.

ПроисшествияГеоБайкал Иркутск

8212

24.12.2020

Бизнесмен Генералов готов продать 300 участков для строительства дорог в красноярком Солнечном

На комиссии в горсовете Красноярска бизнесмен Евгений Генералов заявил, что готов продать 329 участков в Солнечном под строительство дорог без судов в рассрочку. Участки принадлежат как самому Генералову, так и другим собственникам. Об этом 23 декабря сообщила пресс-служба горсовета.

НедвижимостьЭкономика и бизнесКрасноярск

21814

24.12.2020

Коронавирус в Бурятии: 201 заболел, 387 выздоровело, пять умерло

По данным на утро 24 декабря в Бурятии зарегистрировано 24562 случая заболевания коронавирусом. за сутки прирост составил 201 новый случай, сообщает республиканский Роспотребнадзор. По-прежнему 54% инфицированных приходится на жителей Улан-Удэ – это 13276 случаев.

ЗдоровьеБурятия

4506

24.12.2020

Улан-Удэ включат в проект «Чистый воздух»

Столица Бурятии с 2024 года войдет в федеральный проект «Чистый воздух». Соответствующий документ уже подписан. Основная цель программы – снижение уровня загрязнения атмосферного воздуха в крупных промышленных центрах.

ЭкологияБурятия

15635

24.12.2020

Черемховец поменял имя на Дар Божий и занялся благотворительностью

Житель города Черемхово поменял своё имя на Дар Святославович Божий и открыл благотворительную мастерскую, где помогает горожанам. Дар Божий. Фото: газета Областная Мужчина с необычным именем– коренной черемховец, учился на помощника машиниста электровоза, всю жизнь работал.

РелигияОбществоИркутск

6764

24.12.2020

В Иркутске выбирают место постройки крематория

Первый в области крематорий может расположиться в Вересовке, Малой Еланке или еще в двух местах. Администрация Иркутска рассматривает варианты строительства крематория и выбирает из четырех мест.

ОбществоИркутск

5981

24.12.2020

СКР Бурятии окончил расследование громкого дела о насилии над 17-летним подростком

Дело готовится к передаче в суд. На скамье подсудимых окажутся сотрудники уголовного розыска. Сотрудники следственного комитета в Улан-Удэ завершили расследование громкого дела, фигурантами которого оказались сотрудники уголовного розыска.

КриминалРасследованияСкандалыБурятия

18198

24.12.2020

«Нездоровая» атмосфера: в Улан-Удэ представили первые результаты системы мониторинга воздуха

Этой зимой жители Улан-Удэ вынуждены снова дышать воздухом, отравленным вредными выбросами. Бурприроднадзор уже заявил о высокой концентрации бензапирена, данные датчиков общественников фиксируют неблагополучную обстановку.

Александр Макаров

ЭкологияОбществоБурятия

34593

23.12.2020

Директор ИНЦ о будущем Академлеса

Слухи о скорой многоэтажной жилой застройке Академлеса не подтвердились. По словам правообладателей, его хотят использовать совсем под иные нужды. Директор ИНЦ СО РАН Константин Апарцин встретился с журналистом Бабра и ответил на самые важные вопросы.

Роман Русских

ЭкологияЭкономика и бизнесОбществоИркутск

51751

23.12.2020

Инсайд. Инфляция в Томской области ниже, чем в СФО и России

В ноябре годовая инфляция в Томской области замедлилась до 3,8%, сейчас она ниже, чем в других регионах Сибирского федерального округа и в целом по России. В связи с ухудшением эпидситуации усилилось дезинфляционное влияние спроса.

Василий Чайкин

Экономика и бизнесТомск

17679

23.12.2020

Любимец женщин за церковной оградой. К юбилею Валерия Рыжакова

Настоящая жизнь может быть только в Боге. Валерий Рыжаков Юрка Хмель в «Юркиных рассветах», секретарь райкома Ерошин во «Вкусе хлеба», капитан Люсин в «Ларце Марии Медичи», «контра» Николай в военном боевике «Перед рассветом».

Филипп Марков

КультураСобытияРоссия

85814

23.12.2020

Его борьба. Глава Бурлаков снова завис над пропастью

Глава Заиграевского района Александр Бурлаков снова под ударом - несмотря на крайне сомнительное оправдание по уголовному делу и давление на депутатов он все равно не смог гарантировать себе неприкосновенности и в очередной раз оказался в шаге от отставки.

Андрей Светлов

ПолитикаСкандалыБурятия

27258

23.12.2020

«Группа Илим» опровергает смерть рабочего из-за выброса сероводорода

22 декабря на предприятии «Группы ИЛИМ» в Усть-Илимске произошёл выброс газа. Сообщалось, что в результате инцидента погиб рабочий, однако в компании утверждают, что это не так. По информации пресс-службы, рабочие ремонтировали трубопровод «дурнопахнущих газов», в 14:05 произошла утечка.

ПроисшествияИркутск

3953

23.12.2020

“Хорошие люди не могут состоять в плохой партии”. Коммунисты Бурятии объявили войну местной “Единой России”

Прошедшая 21 декабря сессия Народного Хурала запомнилась не только принятием бюджета на 2021 год, но и очередным столкновением фракций КПРФ и “Единой России”.

Андрей Светлов

ПолитикаЭкономика и бизнесСкандалыБурятия

23352

23.12.2020

Жителей села в Красноярском крае оставили без тепла в 50-градусный мороз

Утром 23 декабря в селе Туруханск Красноярского края внепланово отключили электричество. Жители частного сектора, использующие электронагреватели, остались без отопления в 50-градусный мороз. Об этом сообщает «ТВК Красноярск».

ЖКХОбществоКрасноярск

14301

23.12.2020

СК подтвердил возбуждение второго уголовного дела против отстранённого мэра Томска Кляйна

Следственный комитет 23 декабря подтвердил информацию о втором уголовном деле против отстранённого от должности мэра Томска Ивана Кляйна. Его обвиняют в превышении полномочий.

РасследованияПолитикаСкандалыТомск

30965

23.12.2020

Минздрав Прибайкалья предупреждает о возможной вспышке COVID-19 в январе

Минздрав Прибайкалья готовится к потенциальной вспышке COVID-19, которая может случиться после новогодних празднований в январе. Об этом на заседании Общественного совета при Заксобрании 23 декабря сообщил глава ведомства Яков Сандаков. «Прогнозировать очень сложно.

ЗдоровьеОбществоИркутск

17003

23.12.2020

Суд разрешил Рыбальченко работать в Минстрое Бурятии, но его должность упразднят

Подследственному замглавы Минстроя Бурятии Сергею Рыбальченко разрешили вернуться на работу. Такое решение 23 декабря принял кассационный суд общей юрисдикции в Кемерово. Рыбальченко проходит по уголовному делу о домах для сирот в Сотниково. В декабре 2019 года суд запретил ему ходить на работу.

ПолитикаРасследованияБурятия

14637

23.12.2020

Официально: замминистра здравоохранения Прибайкалья Голенецкая ушла в отставку

Пресс-служба правительства Иркутской области 23 декабря подтвердила информацию об отставке заместителя министра здравоохранения Ольги Голенецкой. Об отставке накануне сообщил Telegram-канал «ГлавМед Иркутск». По информации источника, в министерстве попрощались с Голенецкой ещё 20 декабря.

ОфициозЗдоровьеПолитикаИркутск

19275

23.12.2020

Пандемия в Иркутской области: 600 тысяч переболевших и рост смертности

Эпидемия COVID-19 в Прибайкалье закончится не раньше весны. Ее промежуточные итоги, мягко говоря, не утешают. По состоянию на конец декабря в регионе ежедневно фиксируют 260-280 случаев заражения.

Василий Сибирцев

ЗдоровьеОбществоИркутск

8490

23.12.2020

Андрей Чернышев: Совет Федерации уделяет большое внимание вопросам восстановления и развития туриндустрии

Член Комитета Совета Федерации по социальной политике Андрей Чернышев принял участие в ежегодном туристическом бизнес-форуме «Время отдыхать на Байкале». Сенатор приветствовал его участников в режиме видеоконференции.

Алина Саратова

ТуризмПолитикаЭкономика и бизнесИркутск Россия

22992

23.12.2020

«Половина точек просто ликвидируется». Красноярские депутаты намерены спасти общепит

В Красноярске 12 депутатов подписали обращение к председателю Горсовета, требуя созвать внеочередную сессию, чтобы обсудить меры поддержки для сферы общепита перед Новым годом. Документ, а также проект обращения к правительству края 23 декабря опубликовал депутат Роман Крастелёв.

Экономика и бизнесКрасноярск

10734

23.12.2020

Экс-замглавы Минздрава Бурятии Бухольцеву освободили под домашний арест

23 декабря Советский районный суд Улан-Удэ принял решение выпустить экс-замминистра здравоохранения Бурятии Наталью Бухольцеву из СИЗО под домашний арест. Об этом сообщает пресс-служба суда.

РасследованияБурятия

21238

23.12.2020

Капремонт в Красноярске: чиновники запутались в планах?

Кажется, мэрия Красноярска взяла на себя функции по пиару программы капитального ремонта. Городские власти продолжают рассказывать о прелестях капремонта и подводить итоги года в данной сфере.

Александр Тубин

ЖКХКрасноярск

18438

23.12.2020

Еще 189 человек заразились коронавирусом в Томской области

По данным на 23 декабря, еще 189 человек в Томской области заболели COVID-19. Также за сутки 204 пациента выздоровели. Летальных исходов зарегистрировано не было. Об этом сообщает региональный оперштаб по коронавирусу.

ЗдоровьеОбществоТомск

4853

23.12.2020

Ещё 21 больной COVID-19 скончался в Красноярском крае

По данным на 23 декабря, в Красноярском крае 43 907 случаев заражения коронавирусом. Суточный прирост — 331, темп прироста – 0,8%. За всё время выздоровело 37 550 человек, в том числе 448 за последние сутки. Количество погибших достигло 1551, скончался ещё 21 заражённый COVID-19.

ЗдоровьеКрасноярск

4110

23.12.2020

В Прибайкалье и Бурятии подорожает проезд на электричках

Байкальская пригородная пассажирская компания поднимает цены на проезд в электричках. С 1 января тарифы в Бурятии и Иркутской области вырастут на 3,6%. В Прибайкалье стоимость проезда в пределах первой тарифной зоны до 10 км увеличится на один рубль.

ТранспортЭкономика и бизнесИркутск Бурятия

14363

23.12.2020

Руководителей красноярской «Спарты» задержали за издевательства над наркозависимыми

Следственный комитет Красноярского края расследует уголовное дело об истязаниях лиц, страдавших наркотической и алкогольной зависимостью, в реабилитационном центре «Спарта».

КриминалКрасноярск

5150

23.12.2020

Губернатор Усс привился от COVID-19. Путин говорил, что вакцины для их возраста ещё нет

Губернатор Красноярского края Александр Усс заявил, что он поставил прививку от коронавируса. Об этом он рассказал на пресс-конференции 23 декабря. Усс поставил прививку во время командировки в Москве. По его словам, он не почувствовал никаких побочных последствий.

ЗдоровьеПолитикаКрасноярск

13045

23.12.2020

Большая Норильская экспедиция получила элитную научную премию

Большая Норильская экспедиция, которую летом 2020 года организовали сотрудники 14 институтов СО РАН, удостоена престижной международной премии. Международная Ассоциация по связям с общественностью в рамках программы по поддержке Целей устойчивого развития ООН провела конкурс Eventiada IPRA GWA.

Наука и технологииКрасноярск Россия

6371

23.12.2020

Неудачный подарок. Экс-мэр Томска ответит за выделенный дочери земельный участок?

Появилась информация, что против бывшего мэра Томска Ивана Кляйна возбуждено ещё одно уголовное дело по той же статье – превышение должностных полномочий. Новый эпизод связан с незаконным выделением земельного участка его дочери.

Андрей Игнатьев

КриминалТомск

11591

23.12.2020

Стая бродячих собак напала на улан-удэнку и ребёнка. Девушка в реанимации

Утром 23 декабря свора собак сильно покусала жительницу Улан-Удэ. Она в крайне тяжёлом состоянии, врачи борются за её жизнь. В этот же день собаки напали на ребёнка. Псы разорвали всю одежду на девушке Оба нападения произошли в микрорайоне Забайкальский.

ПроисшествияБурятия

10426

23.12.2020

Обсерватория в Бурятии стала частью инструмента размером в пять квадратных километров

4 декабря в обсерватории Светлое под Москвой запустили в эксплуатацию радиотелескоп РТ-13. Вместе с аналогичными приборами в Бурятии и Карачаево-Черкесии он составил единую научную установку размером 5351 квадратный километр.

Наука и технологииБурятия Россия

6663

23.12.2020

Томские учёные во Франции изучали влияние лесных пожаров на изменение климата

Молодые сотрудники лаборатории «БиоГеоКлим» ТГУ Артём Лим и Дарья Кузьмина два месяца проработали в одном из ведущих научных центров Франции.

Наука и технологииЭкологияТомск

13981

23.12.2020

Инсайд. Замминистра здравоохранения Иркутской области Елена Голенецкая ушла в отставку

В понедельник, 20 декабря, в министерстве здравоохранения прощались с уходящей в отставку заместителем министра здравоохранения Иркутской области Еленой Голенецкой.

Василий Чайкин

РасследованияИркутск

30281

23.12.2020

«Недвижка»: ждём, когда всё упадёт

Аналитики стали фиксировать спад ажиотажа на рынке недвижимости. По их данным, к концу 2020 года покупательский спрос, а вслед за ним и динамика роста цен замедлились. Но продолжится ли едва наметившаяся тенденция в 2021 году?

Макс Веселов

НедвижимостьЭкономика и бизнесКрасноярск Россия

28721

23.12.2020

На Сибирь надвигаются морозы

19 и 20 декабря 2020 года иркутяне радовались солнцу и потеплению, в результате которого температура поднялась до нуля градусов.

Миша Ковальски

ГеоИркутск Томск Хакасия

15664

23.12.2020

Прокурор Норильска Хаваж Гутаев будет под арестом до 23 марта 2021 года

В Красноярском краевом суде в очередной раз продлили арест экс-прокурору Норильска Хаважу Гутаеву. Об этом 23 декабря сообщает телеграм-канал «Борус». Такое же решение принято в отношении брата экс-прокурора, Докки Гутаева. Братья проведут в СИЗО до 23 марта 2021 года.

РасследованияСкандалыКрасноярск

22547

23.12.2020

В воздухе в Улан-Удэ превышена концентрация бенз(а)пирена

В Улан-Удэ обнаружено превышение концентрации бенз(а)пирена в атмосферном воздухе. Об этом 23 декабря сообщил Бурприроднадзор. Замеры содержания вредного вещества проводил Бурятский гидрометцентр. Исследования производились с 11 по 20 декабря.

ПроисшествияЭкологияБурятия

11167

23.12.2020

В Красноярском крае выбрали СМИ, которые получат субсидии от государства в 2021 году

В Красноярском крае завершился конкурс по предоставлению субсидий из краевого бюджета от краевого агентства печати и массовых коммуникаций на 2021 год. Об этом сообщает телеграм-канал «Борус». Из телеканалов субсидию дадут «7 каналу» и «Приме». ТВК денег не получит.

ПолитикаЭкономика и бизнесКрасноярск

9636

23.12.2020

В Иркутской области коронавирус выявили ещё у 272 человек

В Иркутской области, по данным на утро 23 декабря, зарегистрировано 38657 случаев заражения коронавирусом. Суточный прирост составил 272 новых случая, сообщает оперштаб региона. В больницах лечится 3229 человек. Выздоровело 33591 человек, 286 из них – за последние сутки.

ЗдоровьеПроисшествияИркутск

4042

23.12.2020

В ночь на 23 декабря на Байкале зафиксировали землетрясение

Землетрясение энергетического класса 9,7 зафиксировали сейсмологи в акватории Байкала ночью 23 декабря. Об этом сообщается на сайте Байкальского филиала Единой геофизической службы РАН. Толчки зарегистрировали в 2:29. О магнитуде землетрясения не сообщается.

ПроисшествияГеоБурятия Иркутск Байкал

7135

23.12.2020

354 миллиона долларов хочет привлечь минстрой России на спасение Байкала

На спасение озера Байкал от загрязнения минстрой России планирует привлечь 354 миллиона долларов. Деньги пойдут на строительство и реконструкцию очистных сооружений и систем водоотведения. Об этом 23 декабря сообщили «Известия».

ЭкологияБайкал Иркутск Бурятия

19278

23.12.2020

Число вновь заболевших COVID-19 в Бурятии опустилось ниже 200 человек

По данным на утро 23 декабря, в Бурятии зарегистрировано 24361 случай заражения коронавирусом. суточный прирост впервые за много дней опустился ниже 200 новых случаев – только 197 заболевших. Об этом сообщает республиканский Роспотребнадзор. 54% заболевших (13175 человек) – жители Улан-Удэ.

ПроисшествияЗдоровьеБурятия

3621

23.12.2020

В Бурятии ввели региональную социальную доплату к пенсии

Жители Бурятии больше не будут получать пенсии ниже прожиточного минимума. Размер регионального прожиточного минимума в 2021 году будет повышен, в связи с этим в Бурятии вводят дополнительные выплаты для пенсионеров, чья социальная выплата находится за отметкой прожиточного минимума.

ОбществоБурятия

3494

23.12.2020

Минкультуры РФ предварительно согласовало исторические границы Томска

Ценные архитектурные объекты теперь будут под охраной. Власти Томской области отправили в министерство культуры России проект границ исторического поселения Томска и уже получили предварительное одобрение федеральных чиновников.

ОбществоКультураТомск

21488

23.12.2020

Криминальному бизнесмену Быкову продлили домашний арест. Хотя он находится в СИЗО

Адвокаты просили отменить домашний арест ввиду его бессмысленности, но суд отказал. Время, проведенное в СИЗО не учтется при подсчете срока отсидки. Красноярский краевой суд рассмотрел апелляционную жалобу бизнесмена Анатолия Быкова об отмене домашнего ареста.

КриминалПолитикаКрасноярск

13319

23.12.2020

Иркутские власти поддержат жителей дома на 4-ой Советской

Жители дома на 4-ой Советской, 48 уже много лет защищают своё жилье от сноса. Сейчас собственники планируют подать апелляцию на решение суда о сносе жилого дома, представлять интересы будет Фонд защиты прав дольщиков.

НедвижимостьОбществоИркутск

4765

23.12.2020

В Иркутской области вступил в должность новый генеральный консул Монголии

Генеральным консулом Монголии в Прибайкалье стал господин Жигмэд Энхжаргал. Он начал свою консульскую миссию 21 декабря.

ПолитикаМонголия

13893

23.12.2020

Вытрезвители и трусы Навального. Стих дня от Сергея Шнурова

Сергей Шнуров не смог пройти мимо новости о возрождении в России системы вытрезвителей.

Филипп Марков

КультураПолитикаРоссия

42164

23.12.2020

Кредитная история: из чего складывается и где хранится

У каждого из нас есть кредитная история. Она показывает, когда и в какие банки или микрофинансовые организации мы обращались, какие суммы брали и насколько прилежно вносили платежи в счёт погашения займа, также содержит данные по кредитным картам и дебетовым картам с овердрафтом.

Алиса Беглова

Экономика и бизнесРоссия

22385

23.12.2020

Серийные землетрясения стали виной стремительного потепления в Арктике

Стремительное глобальное потепление вызвано не только парниковым эффектом, но ещё и крупными серийными землетрясениями. В Московском физико-математическом институте (МФТИ) на эту тему провели исследование и выяснили, что мегаземлетрясения способствуют резким скачкам температуры в Арктике.

Анна Амгейзер

ЭкологияНаука и технологииМир Россия

25598

22.12.2020

Тайные струны. Психологический портрет Александра Усса

Бабр совместно с компанией HR adviser продолжает серию публикаций психологических портретов известных деятелей политики, бизнеса и культуры.

Соня Нореман

ПолитикаКрасноярск

87473

22.12.2020

Источник: в Иркутске скончался скандально известный зэк-«разработчик» Андрей «Мафия» Бевзюк

В Иркутске скончался Андрей Бевзюк, ответственный за многочисленные пытки и избиения заключенных иркутского СИЗО №1. Об этом Бабру сообщил осведомленный источник из этого исправительного учреждения.

Екатерина Степанидзе

СкандалыРасследованияОбществоИркутск

120134

22.12.2020

Рабочий, возможно, погиб, ещё 6 пострадали при выбросе сероводорода на предприятии «Группы Илим». Обновлено

На одном из лесоперерабатывающих предприятий «Группы Илим» в Усть-Илимске произошёл выброс сероводорода. Об этом 22 декабря сообщили в Следственном комитете и прокуратуре.

ПроисшествияИркутск

5095

22.12.2020

Телеграм Бурятии за неделю: депутаты-должники, министры-слабаки и муниципалы-уголовники

Бабр представляет обзор ключевых событий в бурятском сегменте мессенджера Telegram за неделю с 14 по 20 декабря. Самые бедные депутаты в мире Анатолий Кушнарев Дмитрий Швецов Депутаты Народного Хурала и горсовета Улан-Удэ завели крайне вредную привычку - не платить по счетам.

Андрей Светлов

ПолитикаЭкономика и бизнесСкандалыБурятия

37063

22.12.2020

Новогодний подарок для студентов: ИрНИТУ получил новый автобус

Один из главных вузов Иркутской области - Иркутский национальный исследовательский технический университет - получил новогодний подарок. Теперь студенты вуза смогут отправиться на практику на новом комфортабельном автобусе. В этом году ИрНИТУ отметил своё 90-летие.

Ярослава Грин

ОбразованиеИркутск

23719

22.12.2020

Депутат Думы Иркутска Алексей Колмаков возглавил МУП «Иркутскавтотранс»

Депутат Думы Иркутска Алексей Колмаков одержал победу в конкурсе на замещение должности руководителя МУП «Иркутскавтотранс». Второе место у Андрея Прокопьева. Об этом 21 декабря сообщила пресс-служба городской администрации.

ТранспортОфициозИркутск

6324

22.12.2020

Метановая ракета: основные преимущества

В российской прессе обсуждалось столько всевозможных технических проектов, концептов и разного рода «не имеющих аналогов» изделий, что читатель, далекий от тонкостей дела, давно уже потерял ориентировку во всем этом.

Дмитрий Верхотуров

Наука и технологииРасследованияРоссия

60845

22.12.2020

Мэрия Иркутска хочет построить «линию скоростного трамвая» в Правобережном округе

Мэрия Иркутска намерена к 2030 году построить «линию скоростного трамвая» еще и в Правобережном округе. Об этом свидетельствуют документы планировки территории в районе улиц Фридриха Энгельса, Декабрьских событий и Рабочая, опубликованные 22 декабря на сайте городской администрации.

ТранспортОбществоИркутск

5290

22.12.2020

Первые три дня Сагаалгана в Бурятии будут выходными

Первый день праздника Белого месяца в Бурятии объявили выходным. Соответствующий указ 22 декабря подписал глава республики.

ОбществоКультураБурятия

20229

22.12.2020

У 25% обследованных жителей Иркутской области нашли иммунитет к COVID-19

В Иркутском научно-исследовательском противочумном институте Сибири и Дальнего Востока 22 декабря подвели итоги очередного этапа исследования коллективного иммунитета у жителей области. Директор института Сергей Балахонов рассказал ТАСС, что у 25,1% обследованных жителей региона нашли иммунитет.

ЗдоровьеИркутск

5348

22.12.2020

Сотрудников Васюганского лесничества в Томской области осудят за крупные взятки

На скамье подсудимых в Томской области в ближайшее время окажется группа сотрудников Васюганского лесничества, обвиняемых в получении крупных взяток. Об этом 21 декабря сообщает пресс-служба следкома региона. Следователи полагают, что эта преступная группа образовалась в 2014 году.

РасследованияТомск

11921

22.12.2020

Неунывающий Ростовцев и санкции: министр спорта все еще ждет «итоговых решений»

17 декабря Спортивный арбитражный суд объявил решение по громкому делу, связанного с допинг-скандалом вокруг российского спорта, где, помимо прочего, Россия была лишена права претендовать на проведение чемпионатов мира и проводить их до декабря 2022 года.

Александр Тубин

СпортКрасноярск

8737

22.12.2020

Голодовка на объектах ТГК-14: руководство назвало отчаяние работников провокацией

Ситуация на предприятиях ТГК-14 обостряется, при этом пресс-служба компании отрицает информацию о массовой голодовке. 22 декабря — день энергетика. В Бурятии этот профессиональный праздник омрачен конфликтом между работниками и руководством ТГК-14.

Александр Макаров

ОбществоПолитикаБурятия

26195

22.12.2020

Телеграм Иркутска за неделю: восстание Левченко, новая глава пресс-службы правительства и кошмар на улице Пискунова

Бабр представляет обзор ключевых событий в иркутском сегменте мессенджера Telegram за неделю с 14 по 20 декабря включительно.

Александр Мур

ПолитикаИркутск

36072

22.12.2020

В Красноярском крае аферисты переписывали квартиры на бездомных и продавали

В Красноярском крае стражи порядка задержали группу из четырех человек, которых подозревают в хищениях чужой жилплощади. Об этом 22 декабря сообщает пресс-служба МВД по региону.

КриминалНедвижимостьКрасноярск

4372

22.12.2020

В Томской области свободно 30% коек для больных COVID-19

За последние сутки COVID-19 выявили ещё у 192 человек в Томской области, 227 – выздоровели. Об этом 22 декабря сообщил оперштаб. С начала пандемии в регионе произошло 22 736 случаев заражения коронавирусом, выздоровело уже 18 183 человека. За всё время умерло 206 заражённых COVID-19.

ЗдоровьеТомск

3802

22.12.2020

Ещё 330 жителей Красноярского края заразились коронавирусом

По данным на 22 декабря, в Красноярском крае 43 576 случаев заражения коронавирусом. Суточный прирост — 330, темп прироста – 0,8%. За всё время выздоровело 37 102 человека, в том числе 436 за последние сутки. Количество погибших достигло 1530, скончался ещё 21 заражённый COVID-19.

ЗдоровьеКрасноярск

4465

22.12.2020

«Норникель» удалил новость о выплате компенсаций малым народам севера

21 декабря компания «Норникель» опубликовала новость о начале выплаты компенсаций коренным малочисленным народам Севера, пострадавшим от майского разлива дизтоплива. Однако вскоре новость по неизвестной причине удалили с сайта.

Экономика и бизнесКрасноярск

23936

22.12.2020

Компания En+ Group открывает электрозаправочные станции в Иркутской области

Компания En+ Group, ведущий вертикально интегрированный производитель алюминия и возобновляемой электроэнергии, сообщает об открытии первых трех электрозаправочных станций (ЭЗС) для электромобилей в Иркутске. Инвестиции в проект составили более 10 миллионов рублей.

Наука и технологииИркутск

15165

22.12.2020

В Красноярском крае будут испытывать межконтинентальные баллистические ракеты

Испытания новой межконтинентальной баллистической ракеты «Сармат» будут проводиться в Красноярском крае. Об этом 21 декабря заявил министр обороны Сергей Шойгу. Минобороны в 2021 году планирует построить испытательный полигон в районе посёлка Северо-Енисейский.

АрмияКрасноярск

6772

22.12.2020

Евгений Харитонов в третий раз возглавил градостроительный комитет иркутской мэрии

Директор ОГКУ «Управление капитального строительства Иркутской области» Евгений Харитонов назначен исполняющим обязанности заместителя мэра – председателя комитета по градостроительной политике администрации Иркутска. Об этом 22 декабря сообщила пресс-служба мэрии.

ОфициозИркутск

7052

22.12.2020

Замглавы района Бурятии лишилась работы, пытаясь продать квартиру администрации

Прокуратура добилась увольнения заместителя главы Джидинского района. Выяснилось, что она нарушила антикоррупционное законодательство. Об этом ведомство сообщило 22 декабря.

НедвижимостьБурятия

4214

22.12.2020

В турецких отелях запретили новогодние вечеринки

МВД Турции 21 декабря опубликовало циркуляр о проведении Нового года в отелях. Из него следует, что новогодние развлекательные программы для туристов в этом году запрещаются.

ЗдоровьеТуризмМир Россия

7662

22.12.2020

Красноярск потратит 15 миллионов на проект подземного перехода от Театральной площади

Депутаты красноярского горсовета заложили в бюджет города на 2021 год средства на проектирование подземного перехода от Театральной площади к Енисею. Как пояснила депутат Елена Южакова, реконструкция Театральной площади и прилегающей территории – крайне затратный проект.

Экономика и бизнесКрасноярск

15849

22.12.2020

Инсайд. Черный вторник. Томский обзор

Хороших новостей из Томска нет и это стало серьёзной проблемой для губернатора Сергея Жвачкина и всей партии «Единая Россия». Множится, как мы и предсказывали, количество видеообращений к Президенту о неполадках в области.

Василий Чайкин

СобытияПолитикаРелигияТомск

19393

22.12.2020

В Прибайкалье за сутки умерло 16 человек с COVID-19, выздоровели 339 человек

По состоянию на утро 22 декабря в Иркутской области зарегистрировано 38385 лабораторно подтверждённых случаев коронавирусной инфекции. За последние сутки заболевание выявлено у 269 человек. 3387 человек проходят лечение в стационарах, ещё 6210 лечатся амбулаторно.

ЗдоровьеИркутск

4471

22.12.2020

В Кутулике в реку сливают неочищенные стоки

Байкальский природоохранный прокурор подал в суд на администрацию Аларского района. Проверка показала, что очистные сооружения в посёлке Кутулик не функционируют и в реку сливаются неочищенные стоки.

ЭкологияПроисшествияИркутск

14166

22.12.2020

Владимир Путин утвердил состав Госсовета

21 декабря Владимир Путин подписал указы о составе и структуре Госсовета, который после реформы стал не консультационным, а государственным органом. В его состав вошли главы всех регионов, полпреды президента, спикеры Совфеда и Госдумы, премьер-министр и глава администрации президента.

ОфициозРоссия

5506

22.12.2020

Ольхонские сосны вошли в пятёрку самых старых деревьев России

Специалисты всероссийской программы «Деревья - памятники живой природы» определили пятёрку самых старых деревьев, которые произрастают на территории нашей страны. Из пяти мест сразу два заняли деревья Иркутской области. Ими стали лиственница и сосна.

Миша Ковальски

ЭкологияНаука и технологииИркутск Байкал

33020

22.12.2020

Иркутский авиазавод попал под санкции США

Корпорация «Иркут», которой принадлежит Иркутский авиазавод, попала в санкционный список США. Также в списке значатся ещё восемь предприятий авиационной промышленности.

Экономика и бизнесИркутск

17171

22.12.2020

Уголовные истории мэрии Красноярска

К коррупционному «делу Тюриной» подтянулась история с рынком «Восточный» — тоже с бездонным уголовным потенциалом. Мэрия Красноярска с «завидным» постоянством попадает в поле зрения правоохранительных органов. Мэрия Ерёмина спонсирует «быковцев»?

Макс Веселов

ПолитикаКрасноярск

27715

22.12.2020

Иван Кляйн не теряет надежд выйти на свободу

Защитники бывшего градоначальника Томска Ивана Кляйна направили жалобу в Восьмой кассационный суд общей юрисдикции. Они хотят вызволить горе-мэра из СИЗО, аргументируя это ухудшением здоровья подзащитного. Ранее Томский областной суд отказался удовлетворять такую же жалобу.

Андрей Игнатьев

КриминалТомск

9550

22.12.2020

В Бурятии могут ввести плату за посещение парка «Шумак»

В Бурятии могут начать брать плату за посещение природного парка «Шумак» в Окинском районе. Её размер будет не менее 60 рублей с человека. Об этом 22 декабря сообщил телеграм-канал «Тунка».

ТуризмЭкологияБурятия

17514

22.12.2020

Власти Томской области объявили фейком сообщения о грядущем локдауне

В группах Томской области в социальных сетях и мессенджерах появились сообщения о том, что власти региона готовят масштабные ограничения в связи с ростом числа заболевших коронавирусом. Оперштаб Томской области 21 декабря назвал эти сообщения фейком.

ПроисшествияТомск

3594

22.12.2020

В Тулуне военные строители будут достраивать индивидуальные дома

Подрядчик, ведущий строительство новых индивидуальных жилых домов в Тулуне для пострадавших от паводка 2019 года, не смог достроить 80 домов. Об этом сообщил на пресс-конференции 21 декабря губернатор Иркутской области Игорь Кобзев.

ПроисшествияИркутск

4559

22.12.2020

Реорганизацию лесхоза Иркутской области отложили до осени 2021 года

Власти Иркутской области решили до осени 2021 года отложить реорганизацию регионального лесхоза. Об этом на пресс-конференции 21 декабря сообщил губернатор Игорь Кобзев. На организационные мероприятия по реорганизации требуется три месяца.

ПроисшествияИркутск

4358

22.12.2020

В Бурятии COVID-19 выявили ещё у 203 человек

Коронавирус в Бурятии не сдаёт своих позиций – ещё 203 человека заразилось за сутки, а всего с начала пандемии в республике зарегистрировано 24164 случая заболевания. Об этом сообщает республиканское Управление Роспотребнадзора.

ЗдоровьеПроисшествияБурятия

4328

22.12.2020

Срок открытия ковидного госпиталя в Томске сдвинулся на три месяца

Ковидный госпиталь во Дворце спорта откроется не раньше марта 2021 года. Владельцы торговых площадей на территории будущего госпиталя рассказали, что им разрешили продолжать работу до марта, хотя изначально они должны были съехать к 15 декабря. «12 декабря к нам комиссия приходила.

ЗдоровьеЭкономика и бизнесТомск

14135

22.12.2020

Суд обязал Таймырские заповедники ликвидировать отходы 90-летней давности

Во время геологических экспедиций в 1930-1980 годов на Таймыре были оставлены груды металла и бочек с нефтепродуктами. Эти отходы необходимо вывезти.

ЭкологияКрасноярск

14770

22.12.2020

Содержание Народного Хурала подорожало на 7 миллионов рублей и составило почти 300 миллионов

Депутаты Народного Хурала приняли объем бюджетных расходов на деятельность парламента в 2021 году. В общей сложности на работу республиканского парламента хотят потратить 298 миллионов рублей.

ПолитикаЭкономика и бизнесБурятия

12247

22.12.2020

На рекультивацию территории «Усольехимпрома» уйдет 45 миллиардов рублей

Ликвидация последствий деятельности «Усольехимпрома» обойдется в 45 миллиардов рублей. Денежные средства планируется выделить из федерального бюджета, поскольку субъект не справится с такой финансовой нагрузкой, сообщили региональные власти на пресс-конференции 21 декабря.

ЭкологияЭкономика и бизнесИркутск

16970

22.12.2020

Фонд защиты дольщиков будет бороться за спорный дом на 4-ой Советской в Иркутске

Фонд защиты прав граждан — участников долевого строительства Иркутской области намерен оспорить решение о признании незаконным жилого дома на улице 4-й Советская, 48.

НедвижимостьОбществоИркутск

6298

22.12.2020

Жителей хрущевок не станут массово переселять из негодного жилья

Власти Иркутской области приняли решение вместо расселения сделать капремонт. Это коснется домов 335 серии, так называемых хрущевок. Об этом заявил губернатор на пресс-конференции 21 декабря. «Массово переселять из хрущевок точно не будем. И это будет непросто.

НедвижимостьОбществоИркутск

4812

22.12.2020

Спасибо за «Ну, погоди» и Кешу! Ушёл из жизни Александр Курляндский

21 декабря в Москве на 83 году жизни скончался выдающийся детский писатель и сценарист, лауреат Государственной премии СССР, премий «Золотой телёнок» и Клуба «12 стульев», заслуженный деятель искусств России Александр Курляндский. Причиной смерти автора мультфильмов «Ну, погоди!

Филипп Марков

It`s my life...КультураРоссия

46084

22.12.2020

В России изобрели новый летательный аппарат

Вскоре над головами россиян начнут летать аэромобили. Разработка сибирских учёных была представлена на международном форуме «Армия-2020», однако интерес к ней проявили и гражданские. Уже идут обсуждения серийного производства.

Анна Амгейзер

Наука и технологииОбществоЭкономика и бизнесМир Россия Томск

31878

21.12.2020

Пани Моника, Парася и невеста Деточкина. Жизнь и роли Ольги Аросевой

Не жалейте о том, что стареете. Жизнь даётся всем, а старость – избранным!

Филипп Марков

КультураСобытияРоссия

72371

21.12.2020

Дарящему коню в зубы не заглядывают: ангарский депутат Ягодзинский как квант полезности

На прошлой неделе Телеграм-каналы Иркутской области потешались над ангарским депутатом Денисом Ягодзинским. Денис Васильевич купил (даже не «купил», а «закупил») в аптеке 50 масок и вручил пенсионерке Анне Усовчук. А может, ему в «Ленте» дали бонусом пачку масок за покупку больше двух тысяч рублей.

Камиль Фахрутдинов

ПолитикаМаразмИркутск

33221

21.12.2020

Глава Минэкономики Бурятии схлопотала представление прокуратуры

Прокуратура Бурятии проверила деятельность местного министерства экономики. Об этом попросила первичная профсоюзная организация «Генерация Бурятии» республиканской общественной организации – «Всероссийский Электропрофсоюз», 21 декабря сообщает пресс-служба надзорного ведомства.

Экономика и бизнесБурятия

17892

21.12.2020

Роман Одинцов получил должность первого замглавы Красноярска

Мэр Красноярска Сергей Еремин назначил Романа Одинцова первым замглавы города – руководителем департамента финансов. Вдобавок его сделали куратором департамента экономической политики и инвестиционного развития. Об этом 21 декабря сообщает пресс-служба городской администрации.

ОфициозПолитикаЭкономика и бизнесКрасноярск

19655

21.12.2020

En+ Group начал поставлять «зеленые» сертификаты согласно стандартам I-REC

En+ Group, ведущий мировой вертикально интегрированный производитель алюминия и электроэнергии, стал первым в России производителем и поставщиком энергии, участвующим в выпуске Международных сертификатов возобновляемой энергии I-REC (International Renewable Energy Certificate).

Экономика и бизнесЭкологияИркутск Красноярск Россия

15022

21.12.2020

Депутат Наталья Дикусарова считает, что необходимо восстанавливать малые аэропорты региона

Если в советские времена в Иркутской области было более 50 малых аэропортов, то сейчас их не больше десятка. Состояние многих, мягко говоря, далеко от идеального. О том, нужно ли (можно ли) восстановить сеть малых аэропортов в регионе, рассуждают давно и много, жители мечтают об этом.

Ольга Арефьева

ТранспортИркутск

14896

21.12.2020

В детском доме Томской области нашли труп подростка. Возбуждено уголовное дело

В Тунгусовском детском доме-интернате для умственно отсталых детей нашли тело 15-летнего мальчика. Уполномоченный по правам человека сообщал о нарушениях в учреждении ещё в прошлом году. Об инциденте 21 декабря сообщили следователи.

ПроисшествияТомск

3854

21.12.2020

Компания En+ Group запускает 3D-экскурсии по ГЭС

Компания En+ Group, ведущий вертикально интегрированный производитель алюминия и возобновляемой электроэнергии, запускает 3D-экскурсии по ГЭС Ангаро-Енисейского каскада, входящих в состав компании.

Наука и технологииКрасноярск Иркутск

6467

21.12.2020

В Томской области не планируют менять график зимних каникул из-за COVID-19

Зимние каникулы в школах Томской области пройдут с 28 декабря по 10 января – продлевать или переносить их власти пока не планируют. Об этом сообщает пресс-служба правительства региона со ссылкой на главу департамента общего образования Ирину Грабцевич.

ОбразованиеЗдоровьеОбществоТомск

5851

21.12.2020

Фото дня. Чайковский на Таймс‑сквер

На площади Таймс‑сквер в Нью‑Йорке размещён масштабный билборд от музыкального сервиса Spotify с изображением Петра Ильича Чайковского. Великому русскому композитору воздали должное за его абсолютное лидерство в списке самых прослушиваемых за рубежом российских музыкантов.

Филипп Марков

КультураСобытияМир

37205

21.12.2020

Ущерб коренным народам Севера из-за аварии в Норильске оценили в ₽170 миллионов

Экономисты рассчитали, что коренным народам Севера должны выплатить около 170 миллионов рублей, чтобы они могли сохранить свой традиционный образ жизни. В будущем эксперты могут выявить и другие последствия аварии, тогда эта сумма возрастёт.

Экономика и бизнесЭкологияКрасноярск

22363

21.12.2020

Есть такая профессия – Путина защищать: депутаты Госдумы комментируют пресс-конференцию президента

17 декабря состоялась ежегодная пресс-конференция президента России Владимира Путина, во время которой глава государства ответил на вопросы журналистов и жителей страны.

Александр Тубин

ПолитикаКрасноярск

26134

21.12.2020

Врач Кирилов и его окружение

Вечность оказалась совсем не страшной и гораздо более доступной пониманию, чем мы предполагали. Валентин Катаев, «Святой колодец». Николая Васильевича Кирилова с молодости окружали люди незаурядные.

Дмитрий Андронов

ИсторияБурятия

17574

21.12.2020

Максим Николаев назначен исполняющим обязанности прокурора Иркутской области

Старший советник юстиции Максим Николаев стал исполнять обязанности прокурора Иркутской области. Ранее он был первым заместителем прокурора.

ОфициозИркутск

10708

21.12.2020

Евгения Кокшарова назначили врио главы Усть-Кута

На внеочередном заседании думы Усть-Кута депутаты выбрали временно исполняющего обязанности мэра – им стал Евгений Кокшаров. Его кандидатуру одобрили единогласно. Об этом 21 декабря сообщает пресс-служба городской администрации.

ОфициозПолитикаРасследованияИркутск

20044

21.12.2020

Инсайд. В Бурятии готовятся к запуску Торейской СЭС

21 декабря компания «Россети Сибирь» в Джидинском районе Республики Бурятия приступит к подготовке к запуску самой мощной в регионе солнечной электростанции – Торейской (СЭС, ее мощность – 45 МВт).

Василий Чайкин

Экономика и бизнесБурятия

19534

21.12.2020

Инсайд. "Фонд кино" не смог нажиться на "Московском комсомольце"

Арбитражный суд г.Москвы отказал в удовлетворении иска Фонда Кино о защите деловой репутации к газете «Московский комсомолец». Фонду кино не понравилась заметка МК с заголовком «Миллиарды бюджетных денег бездарно растворились в кино».

Василий Чайкин

КультураОбществоРасследованияРоссия

14758

21.12.2020

В Бурятии житель Китая сознался в контрабанде леса на 19 миллионов рублей

Мужчина входил в организованную группу, которая незаконно вывезла из Бурятии около трёх тысяч кубометров леса. Преступник отделался лишь условным сроком. Об этом 21 декабря сообщили в Восточно-Сибирском следственном управлении на транспорте.

КриминалБурятия

4081

21.12.2020

Один миллион рублей разделят победители конкурса «Байкальская инициатива»

Четыре проекта получили финансовую поддержку от фонда «Озеро Байкал». Фото с geo.stbur.ru Ежегодно с 2017 года по настоящее время конкурс «Байкальская инициатива» от фонда «Озеро Байкал» поддерживает проекты молодых ученых возрастом до 35 лет.

Есения Линней

Наука и технологииМолодежьРоссия Иркутск Байкал

36263

21.12.2020

Инсайд. Усольехимпром ответит деньгами

«Усольехимпром» все же должно выплатить Росприроднадзору 1 млрд 328 млн 931 тыс 390 рублей. Это решение суда, которое вынесено по иску РПН о взыскании вреда, причиненного почвам как объекту окружающей среды.

Василий Чайкин

Экономика и бизнесЭкологияРасследованияИркутск

25696

21.12.2020

Ещё пять жителей Томской области скончались после заражения COVID-19

За последние сутки COVID-19 выявили ещё у 184 человек в Томской области, 210 человек выздоровели. Об этом 21 декабря сообщил оперштаб. С начала пандемии в регионе произошло 22 544 случая заражения коронавирусом, выздоровело уже 17 956 человек.

ЗдоровьеТомск

3511

21.12.2020

То, что не доломал Шеверда: прибайкальский Лесхоз терпит крах

Министр лесного комплекса Иркутской области Дмитрий Петренев сорвал ключевую реформу Лесхоза. Увольнение не за горами? Сотрудники областного Лесхоза написали письмо на имя губернатора, в котором сообщают о многомесячных задержках зарплат и увольнении лучших специалистов.

Антoн Херсонцев

ПолитикаЭкономика и бизнесИркутск

45958

21.12.2020

Более 1500 больных коронавирусом скончалось в Красноярском крае

По данным на 21 декабря, в Красноярском крае 43 246 случаев заражения коронавирусом. Суточный прирост — 331, темп прироста – 0,8%. За всё время выздоровело 36 666 человек, в том числе 416 за последние сутки. Количество погибших достигло 1509, скончалось ещё 16 заражённый COVID-19.

ЗдоровьеКрасноярск

3923

21.12.2020

В России появится экотуризм

Понятие экологический туризм будет закреплено законодательно. Об этом сообщила зампред Правительства Виктория Абрамченко 21 декабря 2020 года.

Миша Ковальски

ЭкологияТуризмРоссия Байкал

61839

21.12.2020

В центре Иркутска установили виселицу с чучелом «умирающего бизнеса»

Иркутяне устроили перформанс об умирающем из-за коронавирусных ограничений бизнесе. 21 декабря они вышли на пикет у здания правительства Иркутской области. Пикетчики установили виселицу с чучелом «Бизнеса», который умирает из-за кредитов и долгов.

Экономика и бизнесИркутск

22587

21.12.2020

Голодовка к Новому году. Работники ТГК-14 готовят новую акцию протеста

Работники ТГК-14 готовятся к голодовке: на столь отчаянный шаг они решили пойти из-за низких зарплат и плохих условий работы.

Александр Макаров

ОбществоПолитикаЭкономика и бизнесБурятия

36976

21.12.2020

Лечим зубы в Иркутске: волшебные руки стоматологов возвращают здоровье и радость жизни

Традиционно про врачей, чье мастерство вызывает удивление и восхищение, говорят «врач от Бога». Имеют при этом в виду, что доктору удается совершить нечто исключительное, помочь пациенту тогда, когда прочие медики огорченно разводят руками и отступают.

Ярослава Грин

ЗдоровьеИркутск

24232

21.12.2020

Инсайд. Кто дискредитирует новые ЦБК в Красноярском крае?

Любопытный кейс, который прямо сейчас разворачивается прямо на наших глазах. Мы заметили его ещё позавчера, написать забыли, а тут продолжение подвезли.

Василий Дамов

Экономика и бизнесРасследованияКрасноярск

25478

21.12.2020

Глава Бурятии отказался от повышения зарплаты

21 декабря на сессии Народного Хурала Бурятии депутаты рассмотрят вопрос индексации базовой ставки для высших чиновников Бурятии. Депутат Баир Цыренов предложил снять вопрос с повестки, поскольку глава республики Алексей Цыденов отказался повышать собственную зарплату.

ПолитикаЭкономика и бизнесБурятия

25058

21.12.2020

Откровенное враньё Жвачкина

На первом заседании общественной палаты Томской области седьмого созыва губернатор заявил, что за весь коронавирусный год в регионе не было нехватки коек, оборудования, лекарств. По мнению Сергея Жвачкина, местные власти результативно боролись с COVID-19. Так открыто лукавить – уметь надо!

Андрей Игнатьев

ЗдоровьеТомск

11653

21.12.2020

В Красноярске 16 пассажиров автобуса пострадали при столкновении с грузовиком

20 декабря около 17:00 произошло ДТП на Октябрьском мосту в Красноярске. Водитель пассажирского автобуса №94 врезался в грузовик, остановившийся из-за поломки. 16 пассажиров автобуса обратились за медицинской помощью, сам водитель не пострадал.

ПроисшествияКрасноярск

4192

21.12.2020

Госинспектор труда Прибайкалья за взятку «замял» гибель двоих рабочих

Следственный комитет Иркутской области завершил расследование уголовного дела в отношении бывшего главного госинспектора труда Иркутской области. В июне его обвинили в получении взятки. По версии следствия, в конце 2019 года госинспектор получил 150 тысяч рублей от гендиректора ООО «Восход».

РасследованияИркутск

20161

21.12.2020

В Иркутске на четверть подорожали новостройки

В Иркутске продолжают расти цены на недвижимость. По данным REALTY.IRK.RU, с начала года квадратный метр на вторичном рынке подорожал на 19%, в новостройках – на 26%. В ноябре цены на «вторичку» выросли на 1,7%, средняя стоимость составила 77,36 тысячи рублей.

НедвижимостьЭкономика и бизнесИркутск

21081

21.12.2020

Цитата дня. Про антинародный бюджет Бурятии

На сессии Народного Хурала 21 декабря депутаты примут бюджет Бурятии на 2021 год - во втором и окончательном чтении. Далеко не все члены парламента, впрочем, остались довольны итоговой версией документа. Так, жестко о кризисном и убыточном бюджете высказался депутат от КПРФ Виктор Мальцев.

Андрей Светлов

ПолитикаЭкономика и бизнесБурятия

27915

21.12.2020

Эдуард Худайнатов: молчаливый статист при Сечине

Пока по красноярским медиа катится вал хвалебно-возвышенных постов и публикаций об арктическом проекте «Восток Ойл», БАБР решил обратить своё внимание на человека, который во всей этой эпопее представляется безмолвным статистом и технической пешкой.

Макс Веселов

Экономика и бизнесРоссия Красноярск

33804

21.12.2020

В Томске загорелся склад возле приборного завода

Утром 21 декабря произошёл пожар в Октябрьском районе Томска. Сообщение о возгорании в промзоне по адресу Высоцкого, 31/1 поступило в 7:49. Загоревшийся ангар тушили около 30 человек при поддержке девяти единиц техники. В 8:27 пожар локализовали, точная площадь пока неизвестна.

ПроисшествияТомск

4888

21.12.2020

В Прибайкалье за сутки умерло 17 человек с COVID-19, выздоровели 32 человека

По состоянию на утро 21 декабря в Иркутской области зарегистрировано 38116 лабораторно подтверждённых случаев коронавирусной инфекции. За последние сутки заболевание выявлено у 277 человек. 3555 человек проходят лечение в стационарах, ещё 6128 лечатся амбулаторно.

ЗдоровьеИркутск

4917

21.12.2020

В Прибайкалье произошло землетрясение

Утром 21 декабря в Иркутской области снова произошло землетрясение. Толчок магнитудой 3,1 произошёл в Зиминском районе в 6:16 утра. Эпицентр находился в 45 километрах от села Хор-Тагна, 108 километрах от Заларей и 250 километрах от Иркутска. Энергетический класс землетрясения составил 9,7.

ГеоИркутск Байкал

7980

21.12.2020

Телеграм Красноярска за неделю: явление Пономаренко, Усс — похититель Рождества и новый крайний по лесу

Бабр представляет обзор ключевых событий в красноярском сегменте мессенджера Telegram за неделю с 14 по 20 декабря включительно. Сергей Пономаренко собрался в губернаторы?

Александр Макаров

ПолитикаОбществоКрасноярск

28326

21.12.2020

В Бурятии заболеваемость коронавирусом идёт на спад

По состоянию на 8 утра 21 декабря в Бурятии зафиксирован 23961 случай заражения коронавирусом. 13005 из них — в Улан-Удэ. За последние сутки количество заражённых выросло на 207 человек, это минимальный показатель с 22 октября.

ЗдоровьеБурятия

5318

21.12.2020

Сессия Народного Хурала: онлайн Бабра

Бабр ведет прямую текстовую трансляцию Пятнадцатой очередной сессии Народного Хурала Бурятии. Сегодня депутатам предстоит принять во втором - и окончательном - чтении бюджет на 2021 год. Кроме того, им предстоит решить еще ряд вопросов перед долгими каникулами.

Андрей Светлов

ПолитикаЭкономика и бизнесБурятия

29402

21.12.2020

Афера по-тулунски

Тулун прославился взаимопомощью в беде и рискует прославиться преступлениями в связи с ней же. На осенней онлайн-встрече глав регионов с Владимиром Путиным губернатор Игорь Кобзев в очередной раз в числе приоритетов назвал "восстановление Тулуна".

Максим Бакулев

НедвижимостьЖКХРасследованияИркутск

54116

21.12.2020

В Прибайкалье утвердят коэффициент для розничных цен на сахар и подсолнечное масло

В Иркутской области утвердят коэффициент для розничных цен на подсолнечное масло и сахар, – так решили участники совещания в правительстве региона 18 декабря.

Экономика и бизнесОбществоИркутск

12768

21.12.2020

Из спецприёмника выпустили красноярскую активистку, осуждённую за оскорбление полицейских

Наталия Подоляк, осужденная на 10 суток за оскорбление полицейских, 20 декабря вышла на свободу. Активистка находилась в спецприемнике за нецензурный комментарий в адрес полиции, размещенный 10 апреля в Фейсбуке. Спустя восемь месяцев суд арестовал ее по статье 20.3.

ПроисшествияОбществоКрасноярск

4120

21.12.2020

В Бурятии за помощь в лечении больных COVID-19 благодарили медиков из Калмыкии

В Правительстве Бурятии 19 декабря торжественно вручили благодарственные письма медработникам Калмыкии, которые оказывали помощь в борьбе с коронавирусом. Калмыцкие медики приехали в Бурятию в ноябре для оказания помощи больным и обмена опытом с коллегами.

ЗдоровьеБурятия Россия

4746

21.12.2020

Жители Прибайкалья могут наблюдать в утреннем небе МКС

С 20 декабря начался утренний сезон пролетов Международной космической станции. В небе над большей частью России в ранние утренние часы можно увидеть МКС.

СобытияИркутск Россия

4878

21.12.2020

Автобус столкнулся с грузовиком на Октябрьском мосту в Красноярске

В пять часов вечера 20 декабря на Октябрьском мосту в Красноярске автобус 94-го маршрута врезался в остановившийся грузовик МАЗ. По информации ГИБДД, МАЗ остановился на мосту из-за неисправности еще днем. Автобус и фура получили в столкновении значительные механические повреждения.

ПроисшествияТранспортКрасноярск

4733

21.12.2020

Газ и нефть в Прибайкалье будут искать с помощью аэросъёмки

Ковыктинское месторождение в Иркутской области исследуют с помощью аэрогравимагнитной съемки. Как сообщила 18 декабря пресс-служба RosTender.info, ООО «Газпром Недра» объявило тендер на проведение современной аэрогравимагнитной съемки в западной части Ковыктинского месторождения.

Экономика и бизнесИркутск

19775

21.12.2020

Выбраковка! Горькая сладость: рейтинг шоколада

Накануне новогодних торжеств специалисты Роскачества (Российская система качества) провели масштабную проверку горького шоколада. По 448 параметрам качества, безопасности и органолептических свойств была проверена продукция 26 популярных в России торговых марок.

Соня Нореман

РасследованияРоссия

83882

20.12.2020

В Томской области COVID-19 за сутки выявили ещё у 183 жителей

Всего в регионе коронавирусом на данный момент болеют 4413 человек. По данным регионального оперштаба на 20 декабря, за сутки коронавирус подтвердился ещё у 183 жителей региона: у 48 заболевших инфекция протекает бессимптомно, у 128 есть признаки ОРВИ, у семи — пневмония.

ЗдоровьеТомск

5004

20.12.2020

En+ Group трудоустроила более 1200 выпускников в Иркутской области в рамках собственных образовательных программ

Компания En+ Group, ведущий вертикально интегрированный производитель алюминия и возобновляемой электроэнергии, трудоустроила более 1200 выпускников средних и высших учебных заведений Иркутской области в рамках реализации собственных профориентационных проектов.

МолодежьОбразованиеИркутск

20345

20.12.2020

В Красноярском крае за сутки скончались 14 человек с COVID-19

По информации оперштаба на 20 декабря, за сутки коронавирус выявили у 330 жителей, 14 человек скончались. Край находится на 15-м месте по выявляемости заболевших ковидом. Всего с начала пандемии в Красноярском крае лабораторно подтверждены 40915 случаев заражения COVID-19.

ЗдоровьеКрасноярск

4297

20.12.2020

Tele2 дарит терабайты интернет-трафика иркутским владельцам новых iPhone

Tele2 предлагает приятный бонус для владельцев новых смартфонов Apple в Прибайкалье: пользователи популярных тарифных планов Tele2 получат в подарок 1 Тб интернет-трафика.

Интернет и ИТИркутск

5462

20.12.2020

Главный храм Иволгинского дацана получит 10 миллионов рублей

Деньги выделят из бюджета Бурятии на реставрацию Цогчен дугана – главного храма Иволгинского дацана «Хамбын Хурээ». Религиозная организация буддистов «Хамбын Хурээ» получит грант в форме субсидии из республиканского бюджета в размере 10 миллионов рублей.

Экономика и бизнесРелигияБурятия

18362

20.12.2020

Учёные ТГУ нашли на летучих мышах опасных паразитов

Группа учёных Биологического института Томского государственного университета вместе с коллегами нашла на нетопырях Куля (Pipistrellus kuhlii), летучих мышах, обитающих во многих регионах РФ, переносчиков опасных инфекций. Также были выявлены два вида коронавирусов.

Пепел

Наука и технологииЗдоровьеРасследованияТомск

27530

20.12.2020

Красноярская ГЭС компании En+ Group реализует проект по замене силовых трансформаторов

На Красноярской ГЭС компании En+ Group, ведущего вертикально интегрированного производителя алюминия и электроэнергии, готовят к эксплуатации первый из семи новых силовых трансформаторов.

Экономика и бизнесКрасноярск

14447

20.12.2020

В канун Нового года: дела финансовые

Новый год на носу, а это значит, что нужно успеть провернуть важные финансовые дела, «подчистить хвосты» и провести ревизии. Ревизия кредитов Если вы любитель жить в кредит — в канун Нового года вам следует провести ревизию: в каких банках, какие суммы и под какие проценты вы взяли в кредит.

Алиса Беглова

Экономика и бизнесРоссия

18378

20.12.2020

Главу красноярского УДИБ оштрафовали за махинации с госконтрактом

УФАС Красноярского края оштрафовал руководителя управления дорог, инфраструктуры и благоустройства Евгения Жвакина. Чиновник разбил миллионный контракт на мелкие части, чтобы провести его без торгов.

Экономика и бизнесКрасноярск

18619

20.12.2020

Томские учёные составляют карту Венеры для Роскосмоса и NASA

Специалисты геолого-географического факультета ТГУ совместно с канадскими учёными работают над детализацией карты Венеры. Их работа поможет выбрать наилучшее место для посадки орбитального аппарата для отбора проб в исследовательской миссии «Венера-Д», которую готовят NASA и Роскосмос.

Наука и технологииТомск

6913

20.12.2020

Футбольное поле посетили заскучавшие пингвины из Чикаго

Океанариум Шедда, что находится в Чикаго, уже с марта 2020 года закрыт на карантин. Посетителей нет, но внутри заведения жизнь продолжается. Сотрудники следят за животными, кормят, ухаживают за ними, а также развлекают их.

Миша Ковальски

Братья меньшиеМир

7538

20.12.2020

Пенсионерка из Шарыпова отдала мошенникам два миллиона, надеясь заработать на бирже

Жительница города Шарыпова стала жертвой мошенников. 57-летняя женщина надеялась заработать на биржевых торгах. Предложение «научиться достойно зарабатывать» женщина нашла в соцсетях. Она перешла по предложенной ссылке и заполнила анкету, в которой указала номер телефона.

ПроисшествияЭкономика и бизнесКрасноярск

11604

20.12.2020

В Красноярске скончался прокурор Якутии Олег Нарковский

В Красноярске после тяжёлой болезни скончался прокурор Якутии, старший советник юстиции Олег Нарковский. Об этом 20 декабря сообщили в правительстве республики. Олег Дмитриевич родился в 1967 году в городе Кзыл-Орда Казахской ССР.

It`s my life...Красноярск

7658

20.12.2020

В Прибайкалье за сутки умерло 19 человек с COVID-19, всего погибло 1349 человек

По состоянию на утро 20 декабря в Иркутской области зарегистрировано 37839 лабораторно подтверждённых случаев коронавирусной инфекции. За последние сутки заболевание выявлено у 271 человека. 3424 человека проходят лечение в стационарах.

ЗдоровьеИркутск

5611

20.12.2020

В России появятся новые правила установки новогодних ёлок

С 1 января вступят в силу новые правила противопожарного режима. В отличие от старых, в них прописан обязательный доступ к путям эвакуации при установке новогодних ёлок в общественных местах.

ОбществоРоссия

4681

20.12.2020

В Красноярске иномарка вылетела с моста, трое погибли

19 декабря в Ленинском район Красноярска произошло ДТП. Водитель Honda Fit при повороте с улицы Семафорной в сторону кольца «Глобус» не справился с управлением. Автомобиль пробил ограждение, вылетел с моста и приземлился на крышу. Кроме 40-летнего водителя, в автомобиле было еще двое мужчин.

ПроисшествияКрасноярск

5124

20.12.2020

В Бурятии за сутки прибавилось 211 пациентов с COVID-19, умерли пять человек

По состоянию на 8 утра 20 декабря в Бурятии зафиксировано 23754 случая заражения коронавирусом. 12892 из них — в Улан-Удэ. За последние сутки количество заражённых выросло на 211 человек. У 156 пациентов заболевание выявили после жалоб на симптомы ОРВИ, остальные – контактные.

ЗдоровьеБурятия

4479

20.12.2020

Красноярск лишили возможности принять чемпионат мира по фристайлу и сноуборду в 2025 году

Международная федерация лыжного спорта исключила Красноярск из списка претендентов на проведение чемпионата мира по фристайлу и сноуборду в 2025 году из-за санкций Всемирного антидопингового агентства (WADA).

ПолитикаСпортКрасноярск Россия

17467

20.12.2020

Правительство России возместит затраты на строительство ледового дворца в Иркутске

Иркутской области для возмещения расходов на строительство ледового дворца будет выделено более одного миллиарда рублей. Распоряжение об этом 18 декабря подписал председатель правительства РФ Михаил Мишустин. Ледовый дворец «Байкал» на 6 тысяч мест открылся в Иркутске осенью 2020 года.

Экономика и бизнесНедвижимостьИркутск Россия

20020

20.12.2020

Глава Роспотребнадзора считает: эпидемия COVID-19 в России завершится к весне

Глава Роспотребнадзора РФ Анна Попова предполагает, что эпидемия коронавируса в России может завершиться к весне 2021 года. «Это закончится к весне, если мы постараемся, то может закончиться и раньше. Зависит сегодня от каждого», – заявила Попова в фильме Наили Аскер-заде «Опасный вирус.

ЗдоровьеРоссия

4761

20.12.2020

Уголовное дело бывшего мэра Канска Надежды Качан направлено в суд

Канский городской суд вскоре начнет рассмотрение уголовного дела бывшего мэра города Канска Надежды Качан. О поступлении дела в суд сообщил 19 декабря интернет-портал tayga.info. Уголовное дело по части 1.

РасследованияКрасноярск

14105

20.12.2020

В госреестр памятников включили девять зданий центра Иркутска

В единый госреестр памятников включены девять зданий, находящихся в центре Иркутска. Это следующие объекты культурного наследия Иркутской области, построенные в конце ХIХ – начале ХХ вв.: доходный дом Желейщикова на углу ул. Пролетарской, 3 и ул. Рабочей; доходный дом, пер.

ИсторияКультураИркутск

21072

20.12.2020

И на цинке игрец. Молодой да ранний Великанов в роли спасителя Красноярской оперы

С нынешнего сезона в Красноярском театре оперы и балета имени Дмитрия Хворостовского официально трудоустроен новый дирижёр, который успел уже выпустить три спектакля – «Ленинградскую симфонию» Дмитрия Шостаковича, «Риголетто» Джузеппе Верди и «Богатыри» Александра Бородина.

Филипп Марков

КультураКрасноярск

58634

19.12.2020

Коронавирус в Красноярском крае: ещё 332 заражённых, 15 человек погибло

По данным на 19 декабря, в Красноярском крае 42 585 случаев заражения коронавирусом. Суточный прирост — 332, темп прироста — 0,8%. За всё время выздоровело 35 853 человека, в том числе 400 за последние сутки. Количество погибших достигло 1479, скончалось ещё 15 заражённый COVID-19.

ЗдоровьеКрасноярск

6246

19.12.2020

В затапливаемое село в Бурятии пришлось отправлять МЧС

Река Улюн уже затопила одну из улиц одноимённого села. Из-за морозов улица превратилась в каток, местным жителям пришлось прорубать отводящие каналы, так как налёдные воды могут затопить их участки.

ПроисшествияГеоБурятия

5235

19.12.2020

В Томской области уже более 22 000 заражённых COVID-19

В Томской области 22 177 случаев заражения COVID-19. За последние сутки коронавирус выявили ещё у 193 человек: у 53 болезнь протекает без симптомов, у 138 — признаки ОРВИ, у двоих — пневмония. Об этом 19 декабря сообщил оперштаб региона.

ЗдоровьеТомск

4478

19.12.2020

В Красноярске водитель автобуса снёс дерево и скончался. Пострадали пассажиры. Видео

Днём 19 декабря автобус № 63 съехал с дороги и снёс дерево у остановки «Краевая детская больница» в Красноярске. Водителя забрала скорая, но он скончался по дороге в больницу. В салоне автобуса находились четыре пассажира и кондуктор. После ДТП трое человек обратились за помощью к медикам.

ПроисшествияТранспортКрасноярск

5478

19.12.2020

В Томской области загорелась больница. Больных COVID-19 пришлось эвакуировать отдельно

Вечером 18 декабря в Парабельской районной больнице произошёл пожар. В учреждении находились и больные коронавирусом, их пришлось эвакуировать отдельно. Автор: Кирилл Шипицин Фото из альбома "Пожары" © Фотобанк "RuBabr" Возгорание началось в одном из кабинетов на втором этаже.

ПроисшествияТомск

4243

19.12.2020

В Иркутской области скончалось ещё 19 пациентов с коронавирусом

По данным на 19 декабря, в Иркутской области 37 568 случаев заражения коронавирусом. Суточный прирост — 275. С начала пандемии выздоровело 32 720 человек, в том числе 268 за последние сутки.

ЗдоровьеИркутск

4976

19.12.2020

Обыски у главы Баунтовского района связаны с перелётами пустых самолётов

В отношении чиновников Баунтовского района уже возбуждено уголовное за необоснованное расходование средств. Авиакомпании два года совершали полёты «Улан-Удэ — Багдарин» без пассажиров и получали за это деньги. Ранее сообщалось об обысках у главы Баунтовского района Николая Ковалёва.

ПолитикаРасследованияТранспортБурятия

14777

19.12.2020

Весом до 23: российская авиакомпания разрешила брать в салон животных потолще

Радостную новость сообщила авиакомпания «S7». Теперь в салоне самолёта можно перевозить не только мелкие и худые породы собак, но и чуточку побольше. Об этом стало известно 15 декабря 2020 года.

Миша Ковальски

Братья меньшиеТранспортРоссия

6750

19.12.2020

Ради просмотра матча в Первоуральске трое болельщиков «Байкал-Энергии» арендовали автовышку

Трое болельщиков иркутского клуба по хоккею с мячом «Байкал-Энергия» не только отправились со своей командой на выездной матч с «Уральским Трубником» в Первоуральск, но и арендовали автокран, чтобы увидеть игру вживую. Об этом сообщалось 18 декабря на странице «Байкал-Энергии» в соцсети «ВКонтакте».

СпортИркутск

6511

19.12.2020

В два раза превышен эпидпорог по ОРВИ у взрослых в Томской области

Эпидпорог по ОРВИ в Томской области превышен на 13,7 %, но при этом случаев гриппа в регионе не выявлено. Об этом 18 декабря сообщили в управлении Роспотребнадзора Томской области. При этом в возрастной группе от 15 лет и старше количество заболевших превышает норму в два раза.

ЗдоровьеПроисшествияТомск

4681

19.12.2020

В Красноярске будут строить два новых корпуса для театра Пушкина

Два новых блока будет построено на территории театра Пушкина в Красноярске, сзади основного корпуса с левой и правой стороны. Деньги на строительство выделены по федеральной программе «Культура», сообщили 18 декабря в пресс-службе министерства культуры Красноярского края.

КультураКрасноярск

13384

19.12.2020

В Иркутске задержали двух подозреваемых в похищении студентки

Двух жителей Иркутска, подозреваемых в похищении студентки с целью получения выкупа, задержали сотрудники полиции. Об этом сообщает пресс-служба СУ СКР по Иркутской области. Сообщение о пропаже девушки поступило 14 декабря.

ПроисшествияКриминалИркутск

5769

19.12.2020

Судебного пристава из Томска обвиняют в подделке документов

Судебного пристава одного из районных отделов в Томске обвинили в злоупотреблении должностными полномочиями. Об этом сообщила пресс-служба прокуратуры Томска.

ПроисшествияТомск

3877

19.12.2020

В Иркутской области не будет досрочных каникул из-за коронавируса

В Иркутской области не будут вводить досрочные каникулы для школьников. Ранее школам предлагали такую меру, однако министерство образования её не поддержало. Об этом сообщил губернатор Кобзев во время прямого эфира 18 декабря. Каникулы начнутся с 26-29 декабря.

ОбразованиеЗдоровьеИркутск

6294

19.12.2020

Эвенкию возглавил Андрей Черкасов

В Эвенкийском муниципальном районе, расположенном на севере Красноярского края, выбран новый глава. Им стал 51-летний Андрей Черкасов, исполнявший обязанности главы района после ухода Евгения Васильева. Об этом 18 декабря сообщила пресс-служба администрации района.

ПолитикаКрасноярск

19162

19.12.2020

Коронавирус в Бурятии: 215 заразились, 310 выздоровели, пятеро умерли

В Бурятии, по данным на утро 19 декабря, зарегистрировано 23543 случая заражения коронавирусом. за сутки выявлено 215 новых случаев, сообщает республиканский Роспотребнадзор. 54% (12785) случаев заболевания – жители Улан-Удэ.

ЗдоровьеПроисшествияБурятия

4300

19.12.2020

Мурманский зэк создал финансовую пирамиду и разорил жителей Прибайкалья на 73 миллиона

Следователи Главного следственного управления по Иркутской области завершили расследование уголовного дела в отношении организованной группы мошенников. Осужденный, отбывающий наказание в Мурманской области, разработал криминальную схему и вовлек в нее свою 30-летнюю знакомую из Новосибирска.

КриминалИркутск Россия

6094

19.12.2020

В 2021 году подорожает проезд в муниципальном транспорте Томска

В 2021 году в Томске изменится стоимость проезда в городском муниципальном транспорте: он подорожает на один рубль.

ТранспортОбществоЭкономика и бизнесТомск

15990

19.12.2020

Три человека погибли под Красноярском в столкновении «Тойоты» и экскаватора

В Красноярском крае 18 декабря в ДТП погибли три человека. По информации ГИБДД, около шести часов вечера на обходе города Красноярска в Березовском районе автомобиль «Тойота» выехал на встречную полосу, где столкнулся с колесным экскаватором, – легковая иномарка превратилась в груду металла.

ПроисшествияТранспортКрасноярск

4871

19.12.2020

Правозащитницу оштрафовали в Улан-Удэ за ролик в YouTube-канале без маски

Октябрьский районный суд Улан-Удэ задним числом привлек к административной ответственности за нарушение масочного режима правозащитницу Надежду Низовкину.

ПроисшествияОбществоБурятия

4859

19.12.2020

В Прибайкалье 31 декабря будет выходным днём

Губернатор Иркутской области Игорь Кобзев объявил 31 декабря выходным днем. «Это такой маленький подарок в столь непростое время, мы прожили целый год в сложных условиях», – сказал глава области в прямом эфире в соцсетях 18 декабря.

ОбществоИркутск

8090

19.12.2020

Позитив года: «Дом‑2» всё

Телезрителей, да и всех россиян, уже не ждавших ничего хорошего от уходящего 2020 года, буквально оглушила информация, распространённая пресс‑службой ТНТ.

Филипп Марков

КультураРоссия

31596

19.12.2020

Жизнь и последняя игра Владимира Ворошилова

Трудно найти в истории отечественного телевидения более яркую, неординарную, любимую зрителями и уважаемую коллегами личность – человека, который не только сам думал исключительно собственной головой, но и заставлял это делать других.

Филипп Марков

КультураСобытияРоссия

121537

18.12.2020

Бездумная бюрократия и министр-бухгалтер. Как Минкульт Бурятии губит театры

Казалось, что под конец года театралы Бурятии наконец смогут свободно вздохнуть: в конце ноября в республике спустя девять месяцев с начала пандемии наконец открыли двери театров. Радость оказалось недолгой - вместе с пряником им подготовили здоровенный кнут.

Андрей Светлов

ПолитикаКультураБурятия

29123

18.12.2020

Дело Марусова: назначена дата рассмотрения апелляции прокурора

Новосибирский Пятый апелляционный суд общей юрисдикции решит судьбу иркутянина Влада Марусова, ранее оправданного по скандальному уголовному делу. Суд присяжных отверг все обвинения в убийстве любовницы миллионера Сергея Черного, однако прокурор все равно пытается вернуть парня в тюрьму.

Екатерина Степанидзе

СкандалыРасследованияОбществоИркутск Россия

35415

18.12.2020

СМИ: Работникам Лесхоза Прибайкалья полгода задерживают зарплаты

Больше полусотни работников разных филиалов Лесхоза Прибайкалья жалуются, что им задерживают зарплаты с июня этого года. Они считают, что причина кроется в реформировании организации, и просят власти региона во всем разобраться. Об этом 18 декабря сообщает портал «Тайга.инфо».

Экономика и бизнесЭкологияИркутск

17677

18.12.2020

Итоги Норильской экспедиции: мерзлота тает, накопленный ущерб хуже ЧС

10 декабря в Москве подвели итоги Большой норильской экспедиции. Учёные РАН презентовали научно-исследовательский центр «Экология» и рассказали о результатах масштабного исследования арктической зоны.

Даниил Ершов

Наука и технологииЭкологияКрасноярск Россия

46488

18.12.2020

Из скандального общежития в Красноярске выгнали всех жильцов и подожгли здание

К декабрю из общежития на Новосибирской, 58 съехали даже самые принципиальные семьи, которые не хотели расставаться со своим жильём. Некоторые даже не успели забрать часть своих вещей. Ночью 18 декабря в здании произошёл пожар.

ПроисшествияСкандалыНедвижимостьКрасноярск

5601

18.12.2020

Улицу в селе Бурятии подтопило из-за повышения уровня воды в реке

В бурятском селе Улюн серьезно подтопило одну из улиц. Причиной тому поднявшийся уровень воды в одноименной реке. Об этом 17 декабря рассказали в районной группе «Баргузин-инфо». Вода вышла на улицу Колхозная и заледенела. Жители села опасаются подтопления своих надворных построек.

ГеоЖКХБурятия

18237

18.12.2020

Tele2 дарит иркутянам «золотые» номера к Новому году

Tele2 дарит красивые номера новым клиентам компании в Иркутской области при подключении к тарифам «Мой онлайн и «Везде онлайн». До 23 января 2021 года жители Прибайкалья могут воспользоваться выгодным предложением от компании Tele2 при подключении популярных тарифов в фирменной рознице оператора.

Интернет и ИТИркутск

6606

18.12.2020

Ответ «ЭкоАльянса»: свалки убираем за счет собственников участков

Пресс-служба «ЭкоАльянса» отреагировала на публикацию Бабра о результатах работы регоператора за год и дала комментарий по поводу ликвидации незаконных свалок.

Александр Макаров

ОбществоЭкологияБурятия

15374

18.12.2020

На капремонт Коммунального моста в Томске потратят 11 месяцев и 1,2 миллиарда рублей

Санкт-Петербургская компания «Гипростроймост» завершила разработку проекта капитального ремонта Коммунального моста. Власти Томска до конца года планируют получить заключение госэкспертизы проекта. Об этом 18 декабря сообщили в мэрии. Предварительно, на капремонт потратят 1,216 миллиарда рублей.

ТранспортЭкономика и бизнесТомск

15490

18.12.2020

Петр Хохлов возглавит Ачинский район Красноярского края

18 декабря Петра Хохлова избрали на пост главы Ачинского района – за него проголосовали 12 депутатов райсовета. Он приступит к работе 23 декабря. Об этом сообщает портал «ДЕЛА.ru». Ранее Хохлов исполнял обязанности мэра Ачинска, а до этого трудился первым заместителем градоначальника.

ОфициозПолитикаКрасноярск

19240

18.12.2020

СМИ: Силовики провели обыски у главы Баунтовского района Николая Ковалёва

Силовики заявились с обысками к главе Баутовского района Бурятии Николаю Ковалёву. Об этом 18 декабря сообщил «Инфопол». По данным издания, обыски прошли несколько дней назад. В СУ СКР по Бурятии заявили, что они не причастны к этому, то же самое сказали в управлении МВД по республике.

ПолитикаРасследованияБурятия

15145

18.12.2020

Количество умерших от COVID-19 в Томской области превысило 200 человек

По данным на 18 декабря, еще 187 человек в Томской области заболели COVID-19. Также за сутки 218 пациентов выздоровели, трое умерли. Об этом сообщает региональный оперштаб по коронавирусу.

ЗдоровьеОбществоТомск

4644

18.12.2020

Оформляем ДТП онлайн

В ноябре мобильное приложение «Помощник ОСАГО» заработало во всех регионах страны. Оформить ДТП теперь можно онлайн, без заполнения бумажных бланков.

Алиса Беглова

ТранспортРоссия

7180

18.12.2020

Студенты ИрНИТУ впечатлили ИНК, и теперь они хотят работать вместе

Студенты ИрНИТУ успешно решили кейсы в сфере нефтегазовой промышленности на Областном конкурсе молодежных инновационных проектов. По итогам защиты проектов Иркутская нефтяная компания (ИНК) выразила заинтересованность в дальнейшем сотрудничестве с политеховцами.

Анна Амгейзер

МолодежьНаука и технологииЭкономика и бизнесИркутск

40249

18.12.2020

Более 42 000 жителей Красноярского края заразились коронавирусом

По данным на 18 декабря, в Красноярском крае 42 253 случая заражения коронавирусом. Суточный прирост — 334, темп прироста — 0,8%. За всё время выздоровело 35 453 человека, в том числе 453 за последние сутки. Количество погибших достигло 1464, скончалось ещё 15 заражённый COVID-19.

ЗдоровьеКрасноярск

4582

18.12.2020

En+ Group улучшает условия жилищной программы

Компания En+ Group, ведущий вертикально интегрированный производитель алюминия и возобновляемой электроэнергии, расширила возможности корпоративной жилищной программы для сотрудников энергетического сегмента холдинга.

Экономика и бизнесИркутск

16226

18.12.2020

Вице-мэр Иркутска: Финансирование содержания дорог необходимо увеличить на 40-60%

Вице-мэр Иркутска Дмитрий Ружников заявил, что содержание дорог недофинансировано на 40-60%, городу необходимо ещё от 500 до 1,6 миллиарда рублей. Он рассказал об этом 18 декабря на заседании комиссии по транспорту гордумы. В системе «Контур.

Экономика и бизнесТранспортИркутск

17521

18.12.2020

В Московской области закроют входы в Сьяновские пещеры, где заблудилась тургруппа

Губернатор Московской области Андрей Воробьев распорядился закрыть вход в пещеры вблизи деревни Старосъяново, где 17 декабря заблудилась группа туристов, в том числе восемь детей. Сообщение о пропаже туристов поступило в МЧС около восьми часов вечера, когда уже было темно.

ПроисшествияТуризмРоссия

5905

18.12.2020

В Улан-Удэ сделают бесплатной каждую четвёртую поездку на общественном транспорте

Акцию запустили для пассажиров, которые часто пользуются муниципальными автобусами и трамваями. В мэрии отметили, что это связано с тем, что в предновогодние недели пассажиропоток всегда выше. Акция продлится с 21 декабря по 28 февраля.

ТранспортБурятия

5329

18.12.2020

Дело Навального: дедушка в бункере против берлинского пациента

История с отравлением Алексея Навального остается главной (и по сути единственной) живой темой внутренней политики России, несмотря на то что президент Путин упорно не желает называть «берлинского пациента» по имени, а сам Алексей Анатольевич ведет борьбу с режимом из Германии, обещая, впрочем, ...

Марк Блок

ПолитикаРасследованияРоссия

40471

18.12.2020

Сергей Жвачкин - вершина коррупционной схемы?

Марат Хуснуллин – вице-премьер правительства – провёл онлайн-совещание с губернатором Томской области. На совещании также были руководители профильных министерств и ведомств. Обсудили состояние дорог, мостов, зданий (подробности здесь).

Андрей Игнатьев

ОбразованиеЭкономика и бизнесТомск

31539

18.12.2020

Праздник к нам приходит. Некоторые рекомендации по подготовке к Новому году

Уже на пороге долгожданный зимний праздник – Новый год. В статье Бабр объясняет, почему этот праздник неэкологичный, и как предотвратить горы посленовогодних отходов. В преддверии нового года все ждут волшебства и чуда.

Есения Линней

ЭкологияРоссия Иркутск

21865

18.12.2020

Красноярск электрифицированный: «Газпром» и Миллер в пролёте?

В прошлых публикациях БАБР пришёл к выводу, что газификации жители Красноярска в обозримой перспективе едва ли дождутся. А если и дождутся, то газ будет не трубопроводным, а сжиженным — в соответствии с теми тектоническими сдвигами, что происходят в газовом сегменте экономики.

Макс Веселов

ЭкологияЖКХКрасноярск

19940

18.12.2020

Прибайкалью выделили 149 миллионов на обращение с ТКО

Иркутская область получила из федерального бюджета 149,2 миллиона на реализацию нацпроекта «Экология». Об этом 17 декабря сообщили в правительстве региона. Средства направили на региональный проект «Комплексная система обращения с твердыми коммунальными отходами».

Экономика и бизнесЖКХИркутск

27773

18.12.2020

Монголия начала строительство ГЭС с нарушением российского соглашения

Экологи международной экологической коалиции «Реки без границ» зафиксировали признаки начала строительства крупной ГЭС на реке Ульдза. Река является главным источником воды для трансграничного российско-монгольского объекта Всемирного природного наследия ЮНЕСКО «Ландшафты Даурии».

Миша Ковальски

ЭкологияЗабайкалье Монголия

48064

18.12.2020

Красноярский «Гранд Холл» оштрафовали за концерт Zivert

Красноярский районный суд оштрафовал концертный зал «Гранд Холл» за нарушения на концерте певицы Zivert. Концерт прошёл 4 декабря. Организаторы заявили, что билеты были проданы только на половину от полной вместимости зала. Также на входе раздавали защитные маски.

ЗдоровьеКультураПроисшествияКрасноярск

15104

18.12.2020

У ТОР «Бурятия» появятся пять новых резидентов

В 2021 году резидентами территории опережающего развития «Бурятия» станут ещё пять компаний. Специально для них в ноябре расширили границы ТОР. В состав ТОР войдут компании различных направлений.

Экономика и бизнесБурятия

14469

18.12.2020

В Прибайкалье за сутки умерло 17 человек с COVID-19, всего погибло 1311 человек

По состоянию на утро 18 декабря в Иркутской области зарегистрировано 37293 лабораторно подтверждённых случая коронавирусной инфекции. За последние сутки заболевание выявлено у 280 человек. 3418 человек проходят лечение в стационарах, ещё 6011 лечатся амбулаторно.

ЗдоровьеИркутск

4889

18.12.2020

Красноярский край прошёл пик распространения коронавируса

17 декабря в заксобрании Красноярского края прошло заседание комитета по охране здоровья и соцполитике. В ходе заседания главврач краевой клинической больницы сообщил, что в крае снижается количество госпитализированных, а значит второй пик эпидемии пройден.

ЗдоровьеКрасноярск

5826

18.12.2020

С чистого листа: краевой Минлесхоз возглавил озеленитель из мэрии Красноярска

Губернатор Красноярского края Александр Усс рассудил не оставлять нерешенные кадровые вопросы на следующий год – скандальное министерство лесного хозяйства обрело нового, весьма неожиданного хозяина.

Александр Тубин

ПолитикаКрасноярск

26817

18.12.2020

В Улан-Удэ сотни людей остались без воды

В Улан-Удэ третий раз за неделю произошла крупная коммунальная авария. На улице Жердева прорвало водопровод, жители десяти многоэтажек остались без воды. Также под отключение попала школа №19. Сообщение об аварии поступило в «Водоканал» в 5:50 18 декабря.

ПроисшествияЖКХБурятия

14209

18.12.2020

Сигнальная пушка не вернётся на Караульную гору в Красноярске

Ежедневные полуденные выстрелы с Караульной горы стали нерентабельными, сообщили в мэрии Красноярска. С 2001 года Красноярске ежедневно в полдень стреляли из сигнальной пушки. В декабре 2019 года гаубицу Д-30, выполняющую эту роль, увезли с Караульной горы на ремонт.

Экономика и бизнесКрасноярск

16205

18.12.2020

В Бурятии за сутки прибавилось 214 пациентов с COVID-19, умерли четыре человека

По состоянию на 8 утра 18 декабря в Бурятии зафиксировано 23328 случаев заражения коронавирусом. 12688 из них — в Улан-Удэ. За последние сутки количество заражённых выросло на 214 человек. У 173 пациентов заболевание выявили после жалоб на симптомы ОРВИ, остальные – контактные.

ЗдоровьеБурятия

4439

18.12.2020

Без терпенья нет ученья: вузы России, Америки и Европы скорее всего не выйдут на очное обучение во втором семестре

В среде преподавателей и студентов университетов России, Америки и Европы начала распространяться информация о том, что университеты скорее всего не выйдут с дистанционного обучения во втором семестре.

Пепел

ОбразованиеМолодежьМир

40649

18.12.2020

Пять развлекательных заведений Томска оштрафовали за ночную работу в пандемию

Полиция Томска провела проверки по заявлениям граждан о работе развлекательных заведений в ночное время. Ночным клубам, кафе и ресторанам в Томской области сейчас разрешено работать до полуночи. Проверки подтвердили, что пять ночных клубов игнорировали этот запрет.

ПроисшествияЗдоровьеЭкономика и бизнесТомск

13268

18.12.2020

Археологические раскопки проведут на месте строительства виадука в Красноярске

В месте основания Красноярска проведут археологические раскопки. Тендер на проведение работ размещен на сайте госзакупок. Раскопки проведут, чтобы сохранить археологические объекты при строительстве перехода через улицу Карла Маркса.

Экономика и бизнесИсторияКрасноярск

16575

18.12.2020

Депутаты Думы Томска требуют возбудить уголовное дело по факту отравления Навального

Несколько депутатов Думы города Томска 17 декабря обратились в Следственный комитет России, требуя возбудить уголовное дело по факту отравления оппозиционного политика Алексея Навального. Документ, адресованный главе СКР Александру Бастрыкину, оказался в распоряжении tv2.today.

ПолитикаРасследованияСкандалыТомск Россия

23077

18.12.2020

Российские семьи получат новые выплаты на детей до восьми лет

На большой пресс-конференции 17 декабря Владимир Путин объявил, что семьи с детьми до семи лет получат к Новому году по 5 тысяч рублей на каждого ребенка. В тот же день президент подписал Указ «О единовременной выплате семьям, имеющим детей».

ОфициозОбществоРоссия

7001

18.12.2020

«Усольехимпром» выплатит Росприроднадзору 1,3 миллиарда за экологический ущерб

Арбитражный суд Иркутской области удовлетворил иск межрегионального управления Росприроднадзора к ООО «Усольехимпром» о взыскании с него более 1,3 миллиарда за вред, причиненный окружающей среде. Решение опубликовано в картотеке суда.

ЭкологияИркутск

17660

18.12.2020

Федерацию традиционных игр ликвидировали в Бурятии

Суд удовлетворил иск Министерства юстиции республики и принял решение ликвидировать Федерацию традиционных игр. Председатель правления организации Алексей Гыргенов написал в своем Фейсбуке, что об иске узнал в день суда.

ОфициозБурятия

5322

18.12.2020

Главного прокурора Прибайкалья перевели в Дальневосточную транспортную прокуратуру

Владимир Путин 17 декабря назначил прокурора Иркутской области Александра Воронина главой Дальневосточной транспортной прокуратуры. Ранее кандидатуру Воронина на этот пост согласовали в Совете Федерации. Срок полномочий — пять лет. Заместитель генпрокурора РФ уже представил его в Хабаровске.

ОфициозИркутск

8841

17.12.2020

Милла-ягодка, или Славянский блеск Голливуда

Лилу из «Пятого элемента», она же Элис из «Обители зла», она же Жанна д’Арк, она же Надя из российских «Выкрутасов». 17 декабря исполняется 45 лет выдающейся американской актрисе и певице российско-черногорского происхождения, блистательной и неповторимой Милле Йовович.

Филипп Марков

КультураСобытияМир

52386

17.12.2020

Путин о наказании для «Норникеля»: «Ну что? Надо отвечать за то, что сделано»

На большой пресс-конференции 17 декабря Путин прокомментировал экологическую катастрофу в Норильске: на ТЭЦ дочки «Норникеля» произошёл разлив более 20 тысяч тонн нефтепродуктов. У президента спросили, какое наказание должны понести виновные в ЧП и поддерживает ли он идею о максимальных штрафах.

ЭкологияЭкономика и бизнесКрасноярск

19228

17.12.2020

Путин об «Усольехимпроме»: «Государство напрямую несёт за это ответственность»

На большой пресс-конференции 17 декабря Путин ответил на вопрос о масштабных экологических происшествиях в Сибири. Журналистка из Иркутска Елена Малышкина спросила о ситуации сложившейся на «Усольехимпроме». Путин заявил, что подобные экологические происшествия необходимо разделить на два вида.

ЭкологияИркутск

18697

17.12.2020

Лаундж-бар SOVA в Улан-Удэ закрыли на три месяца из-за нелегальной вечеринки

17 декабря Октябрьский суд Улан-Удэ принял решение на 90 суток закрыть лаундж-бар SOVA, расположенный на улице Тобольская, 55. Иск к заведению подал региональный Роспотребнадзор. Поводом для недовольства ведомства стала незаконная закрытая вечеринка, которую бар устроил в ночь на 12 декабря.

ЗдоровьеОбществоБурятия

4275

17.12.2020

Возвращение героя. Сергей Зверев договаривается в Бурятии о выдвижении в Госдуму?

Эпатажный стилист Сергей Зверев снова приехал в Бурятию. В ноябре местные жители начали призывать его баллотироваться в Госдуму от республики, а самому шоумену эта идея очень понравилось. Похоже, теперь нас ждут предметные переговоры.

Андрей Светлов

ПолитикаЭкологияБурятия Россия Байкал

33638

17.12.2020

Судебные приставы остановили снос многоэтажки на Пискунова, 40 в Иркутске

17 декабря иркутские судебные приставы остановили снос многоэтажки на Пискунова, 40 – оказалось, что там зарегистрированы десятки людей. Об этом сообщает пресс-служба управления Федеральной службы судебных приставов по Иркутской области.

НедвижимостьОбществоСкандалыИркутск

7196

17.12.2020

Алексей Панов назначен министром лесного хозяйства Красноярского края

Алексей Панов возглавил министерство лесного хозяйства Красноярского края. Об этом 17 декабря сообщили в правительстве региона. Новому министру предстоит заняться темой лесных пожаров. По словам губернатора Усса, с природными возгораниями невозможно справиться лишь лесопожарными службами и МЧС.

ПолитикаОфициозКрасноярск

22652

17.12.2020

Стекачев будет «пилить» на иркутской ливневке?

С очередным смелым и при этом предельно коррупционно-емким заявлением выступил спикер Думы Иркутска Евгений Стекачев. Председатель городской Думы в очередной раз поднял тему многострадальной (и отсутствующей) ливневой канализации в городе.

Василий Сибирцев

ПолитикаЖКХИркутск

30530

17.12.2020

Господа депутаты: красноярские парламентарии озаботились геральдикой

Депутаты краевого Заксобрания продолжают в период коронакризиса решать воистину актуальные и жизненно важные вопросы. Все для защиты интересов и ради блага рядовых жителей региона.

Александр Тубин

ПолитикаКрасноярск

21755

17.12.2020

Минпромторг Бурятии придумал как «разбавить» предновогодний поток покупателей

Минпромторг Бурятии определил комплекс мер по снижению концентрации покупателей во время предновогоднего ажиотажа. Об этом 17 декабря сообщает пресс-служба ведомства.

ОбществоЭкономика и бизнесЗдоровьеБурятия

9217

17.12.2020

Бюджет Красноярска: профицит на долгах

На сессии Горсовета 15 декабря был принят муниципальный бюджет Красноярска на 2021 год. Доходы города в следующем году составят 36,9 миллиарда рублей, расходы — 36,4 миллиарда. Профицит — 400 миллионов.

Макс Веселов

Экономика и бизнесПолитикаКрасноярск

18848

17.12.2020

Бывшего главного похоронщика Томска признали виновным в растрате

Экс-главу УМП «Комбинат спецобслуживания» Томска Игоря Синичкина 17 декабря признали виновным по статье «Присвоение или растрата в крупном размере». Чиновник отделался лишь штрафом. В августе 2019 года по материалам ФСБ возбудили уголовное дело против Синичкина.

РасследованияТомск

13615

17.12.2020

Режим ЧС в Усолье-Сибирском будет действовать около пяти лет

Режим чрезвычайной ситуации из-за угрозы утечки химикатов с «Усольехимпрома» в Усолье-Сибирском не снимут раньше 2023 года. Об этом 17 декабря ТАСС рассказал губернатор Кобзев. Фото из альбома "Иркутская область.

ЭкологияРасследованияИркутск

16807

17.12.2020

Губернатор Томской области предложил кандидатуру нового детского омбудсмена

Замначальника областного департамента по вопросам семьи и детей Лариса Лоскутова может занять пост уполномоченного по правам ребёнка Томской области. Кандидатуру, выдвинутую губернатором Жвачкиным, уже поддержала спикер областной думы Оксана Козловская.

ОфициозТомск

5497

17.12.2020

Еще 185 человек заразились коронавирусом в Томской области

По данным на 17 декабря, еще 185 человек в Томской области заболели COVID-19. Также за сутки 224 пациента выздоровели. Летальных исходов зарегистрировано не было. Об этом сообщает региональный оперштаб по коронавирусу.

ЗдоровьеОбществоТомск

4040

17.12.2020

В Ангарске снесли первую построенную «хрущёвку» 335-й серии

16 декабря в Ангарске снесли дом №23 по улице Восточной. Это первый экспериментальный панельный дом серии 1-335, построенный в СССР, его возвели в 1959 году. Дом признали аварийным в феврале 2019 года. Тогда же в этот список попали ещё четыре дома серии 1-335 в Усолье-Сибирском и Хомутово.

НедвижимостьИркутск

5961

17.12.2020

В Красноярском крае 5470 больных коронавирусом, ещё 19 пациентов скончались

По данным на 17 декабря, в Красноярском крае 41 919 случаев заражения коронавирусом. Суточный прирост — 335, темп прироста — 0,8%. За всё время выздоровело 35 000 человек, в том числе 457 за последние сутки. Количество погибших возросло до 1449, скончались ещё 19 заражённый COVID-19.

ЗдоровьеКрасноярск

3948

17.12.2020

Глава Усть-Кута Душин подал в отставку. Его арестовали до весны 2021 года

Арестованный мэр Усть-Кута Александр Душин написал заявление об отставке. Об этом 17 декабря сообщили сразу несколько Telegram-каналов. В администрации города сказали, что они не могут подтвердить или опровергнуть эту информацию.

ПолитикаРасследованияИркутск

24251

17.12.2020

Врио ректора БГУ Игнатенко и Нью-Васильева: старт выборов в клубе двух коней

На сайте Минобрнауки РФ размещены решения Аттестационной комиссии по проведению аттестации кандидатов на должность ректора БГУ. Аттестация проходила 8 декабря 2020 года в дистанционном режиме и запомнилась её участникам отключением в нархозе электричества. Видимо, напряжение было слишком велико.

Лера Крышкина

ОбразованиеРасследованияИркутск

79976

17.12.2020

Крыша потекла. Как красноярские власти сливают капремонт домов

Жильцы дома по улице Волжской в Красноярске почти год не могут добиться ремонта текущей крыши: Фонд капремонта и краевой Минстрой игнорируют обращения и отвечают отписками.

Максим Черкашин

ЖКХОбществоРасследованияКрасноярск

19720

17.12.2020

Сергей Зверев снова приехал отдыхать в Бурятию

Стилист и шоумен Сергей Зверев снова отдыхает в Бурятии. 17 декабря он сделал несколько публикаций в Instagram из Тункинского района. Ранее он сообщал, что задумывается о выдвижении в депутаты Госдумы от республики. Зверев написал, что он отдыхает в лечебнице «Нилова пустынь».

КультураБурятия

15030

17.12.2020

В Красноярске возбудили дело о торговле детьми

Следственный комитет Красноярского края возбудил уголовное дело о торговле людьми. Жертвами считают трёх младенцев, выношенных суррогатными матерями.

КриминалКрасноярск

6253

17.12.2020

Иркутские ученые получили награды за работы, которые повысят уровень жизни в Сибири

22 иркутских ученых получили стипендию мэра за достижения в области науки и техники. В конкурсе приняли участие студенты, аспиранты и молодые ученые из ИГУ, ИрНИТУ, ИрГУПС, БГУ, Сибирского института физиологии и биохимии растений СО РАН.

Анна Амгейзер

МолодежьНаука и технологииИркутск

27135

17.12.2020

Сценарий фильма «Дурак» воплощается в Томске

Многие наверняка смотрели фильм Юрия Быкова «Дурак», вышедший на экраны в 2014 году. Для тех, кто не смотрел – очень краткий пересказ: слесарь-сантехник Дмитрий Никитин, учащийся на инженера-строителя, добивается расселения общежития, которое, по его мнению, вот-вот рухнет.

Андрей Игнатьев

ЖКХОбществоТомск

18035

17.12.2020

В Тальцы перевезут дом, в котором отбывал ссылку Иосиф Сталин

Дом, в котором отбывал ссылку Иосиф Сталин, переместят в архитектурно-этнографический музей «Тальцы». Об этом 16 декабря сообщили в правительстве Иркутской области. Иркутская область долгие годы была местом ссылки.

ИсторияНедвижимостьИркутск

6763

17.12.2020

Иркутская транспортная недоступность

Развитая транспортная инфраструктура – фундамент для развития Иркутской области. В сравнении с другими российскими регионами, Иркутская область выглядит молодцом. По ВВП на душу населения мы на 20-м месте, а по показателю среднедушевых доходов - на 21-м. У нас и нефть, и газ, и лес, и золото.

Дмитрий Тютрин

ТранспортИркутск

23335

17.12.2020

Хитрые совы: как птицы используют змей

Удивительное соседство наблюдается у североамериканских совок и узкоротых змей. Фото с nat-geo.ru Обычно, птицы прихотливы и не признают гостей в своем жилище, но североамериканские совки (Megascops asio) специально заселяют змей в свои дупла.

Есения Линней

Братья меньшиеНаука и технологииМир

14121

17.12.2020

Обзор иркутских клиник: «Добрый доктор». Какой-то не очень добрый...

Экспертная группа Бабра продолжает проверять уровень сервиса частных иркутских клиник. Из-за коронавируса все государственные больницы и поликлиники фактически парализованы тысячами страждущих либо вылечиться от коронавируса, либо сдать на него тест.

Лера Крышкина

ЗдоровьеРасследованияЭкономика и бизнесИркутск

59235

17.12.2020

«Время отдыхать на Байкале»: туристический форум, на который никого не зовут

В конце 2020 года, 22 и 23 декабря, состоится байкальский форум «Время отдыхать на Байкале». Организатором выступает торгово-промышленная палата Восточной Сибири совместно с Агентством по туризму Иркутской области и Центром «Мой бизнес — Иркутск».

Миша Ковальски

ТуризмЭкономика и бизнесИркутск Байкал

20711

17.12.2020

В Минздраве озвучили противопоказания к вакцинации от COVID-19

Минздрав России в телеграм-канале «Стопкоронавирус» 16 декабря перечислил список безусловных противопоказаний к вакцинации от коронавируса.

ЗдоровьеРоссия

6237

17.12.2020

В Красноярске жители Солнечного снова пожаловались Путину

Жители красноярского микрорайона Солнечный записали видеообращение для пресс-конференции президента Путина, которая пройдёт 17 декабря в полдень по московскому времени.

ОбществоНедвижимостьКрасноярск

5608

17.12.2020

На Улан-Удэнском приборостроительном объединении произошло задымление

17 декабря в семь часов утра сработали датчики задымления в одном из рабочих кабинетов Улан-Удэнского приборостроительного производственного объединения. Дежурная смена вызвала пожарных, которые прибыли через несколько минут и полностью ликвидировали задымление к началу рабочей смены в 8:00.

ПроисшествияБурятия

4290

17.12.2020

В Иркутской области число заболевших COVID-19 перевалило за 37 тысяч

По данным на 16 декабря, 37013 человек заболело коронавирусом в Иркутской области с начала пандемии. Об этом сообщает региональный оперштаб. Только за последние сутки выявлено 279 случаев заражения. В больницах лечится 3436 человек. Выздоровело 32204 человека, за последние сутки – 246 человек.

ЗдоровьеПроисшествияИркутск

4482

17.12.2020

Усс добивает общепит: Нового года не будет

Красноярский губернатор Александр Усс ввел новые ограничения. Изображение губернатором бурной деятельности в борьбе с распространением коронавируса уничтожает частный бизнес и убивает надежду на нормальный отдых в новогодние праздники.

Richie Monroe

ПолитикаЭкономика и бизнесМаразмКрасноярск

27580

17.12.2020

Мастерство, граничащее с чудом: стоматология в Иркутске, где спасают даже безнадежные зубы

Хорошее состояние зубов – одна из базовых составляющих общего здоровья, это понятно даже тем, кто очень далек от медицины. Однако, что скрывать, мы далеко не всегда посещаем стоматологов вовремя, а уж профилактическими осмотрами и вовсе пренебрегают очень многие.

Ярослава Грин

ЗдоровьеИркутск

22670

17.12.2020

Ольхон и Листвянку хотят включить в ОЭЗ «Ворота Байкала»

Остров Ольхон, Большое Голоустное и Листвянку предлагается включить в состав особой экономической зоны «Ворота Байкала». Об этом 17 декабря сообщает ТАСС со ссылкой на губернатора Иркутской области Игоря Кобзева.

ТуризмЭкологияБайкал Иркутск

17774

17.12.2020

В Красноярске из-за штиля и холода опять «чёрное небо»

В ночь на 17 декабря Красноярск накрыли выбросы, которые не могут рассеяться из-за того, что в городе безветрие и похолодание. Ухудшение фиксируют все датчики – и Сибирского научного центра РАН, и волонтёров nebo.live, и даже данные от krasecology. Сайт nebo.

ЭкологияГеоКрасноярск

16495

17.12.2020

На объездной дороге «Университетский – Первомайский» в Иркутске появятся выделенные полосы

Создание выделенных полос для общественного транспорта запланировано на дороге от микрорайона Университетский до улицы Вампилова в микрорайоне Первомайский. Об этом 16 декабря сообщила пресс-служба администрации Иркутска.

ТранспортИркутск

3929

17.12.2020

Консультировать развитие и модернизацию аэропорта Иркутска будет торговая компания «Алмаз»

В Иркутской области завершился тендер на предоставление консультационных услуг по развитию иркутского аэропорта. Победителем стала иркутская торговая компания «Алмаз», сообщается в документах тендера на сайте госзакупок. Начальная цена контракта составляла 55 миллионов рублей.

Экономика и бизнесТранспортИркутск

20934

17.12.2020

Красноярская прокуратура подала в суд на мэрию с требованием расселить аварийный дом

Прокуратура Октябрьского района Красноярска обратилась в суд с требованием к мэрии как можно скорее расселить опасный дом на улице Калинина. Речь идет о трехэтажном здании 1960 года постройки.

ЖКХНедвижимостьОбществоКрасноярск

13250

17.12.2020

В Бурятии число заболевших COVID-19 превысило 23 тысячи

По данным Роспотребнадзора на утро 17 декабря, всего в республике подтверждены 23114 случаев заражения COVID-19. Из них в Улан-Удэ — 12578 случаев, это 54% от общего числа инфицированных. Из 212 заболевших за сутки у 170 человек коронавирус обнаружили после жалоб на симптомы ОРВИ и пневмонии.

ЗдоровьеБурятия

3898

17.12.2020

Администрация Красноярска расторгла контракт с подрядчиком, не достроившим парк в Солнечном

Администрация Красноярска в одностороннем порядке расторгла муниципальный контракт с подрядчиком СПК «СФЕРА». Об этом сообщила общественница Ксения Бессонова.

ОбществоЭкономика и бизнесКрасноярск

11293

17.12.2020

На Байкале вновь случилось землетрясение: на этот раз силой 4 балла

В ночь на 17 декабря в 1:43 по местному времени на Байкале произошло землетрясение. Эпицентр находился в 17 километрах от посёлка Бугульдейка и 115 километрах от Улан-Удэ. Это уже третье ощутимое землетрясение за неделю.

ЭкологияПроисшествияБурятия Байкал Иркутск

22953

17.12.2020

Правительство РФ добавит 150 миллионов рублей на новый мост в Улан-Удэ

Председатель Правительства РФ Михаил Мишустин подписал распоряжение о дополнительном распределении средств Федерального дорожного фонда на строительство ещё одного моста в Бурятии.

ТранспортЭкономика и бизнесРоссия Бурятия

11212

17.12.2020

Жильцы недостроя на Пискунова запишут видеообращение к Путину

Жильцы иркутской многоэтажки, которую хотят снести, намерены обратиться к президенту страны, чтобы спасти здание. Жительница скандально известного 11-этажного дома на улице Пискунова, 40 Ольга Михайлова рассказала об этом 16 декабря.

СкандалыНедвижимостьОбществоИркутск

7170

17.12.2020

«В любой момент может произойти утечка»: урбанист Варламов о рекультивации «Усольехимпрома»

Общественный деятель Илья Варламов выпустил ролик, в котором заявил, что ярким примером неправильного обращения с отходами является ситуация с последствиями работы предприятия «Усольехимпром».

ЭкологияОбществоИркутск

17761

17.12.2020

Суд вернул дело Сергея Левченко за участие в несанкционированном митинге

Кировский районный суд вернул полиции дело об административном правонарушении на митинге в отношении бывшего губернатора Иркутской области Сергея Левченко. Решение принято на стадии подготовки дела к рассмотрению 3 декабря, сообщает ИрСити со ссылкой на Кировской суд.

ПолитикаСкандалыИркутск

13954

17.12.2020

От гордости до предубеждения. Лучшее от Джейн Остин

16 декабря литературный мир отмечает 245‑летие со дня рождения выдающейся британской писательницы Джейн Остин. Будущий автор легендарного «романа нравов» «Гордость и предубеждение» родилась в небольшом городке Стивентон в графстве Хэмпшир в семье приходского священника.

Филипп Марков

КультураСобытияКак по-писаномуМир

46726

17.12.2020

«ЭкоАльянс»: позитив в отчетах, мусорные свалки в реальности

Региональный оператор по-прежнему не может наладить работу по сбору отходов, но просит продления господдержки. Иначе предприятие, которое едва держится на плаву, не сможет выполнять свои обязанности.

Александр Макаров

Экономика и бизнесБурятия

27532

16.12.2020

Погрязшая в переворотах. К юбилею Светланы Дружининой

К её творчеству можно относиться по‑разному, но нельзя не признать, что свою нишу в киноискусстве она занимает более чем уверенно, имея при этом массу поклонников и преданных зрителей.

Филипп Марков

КультураСобытияРоссия

45349

16.12.2020

Хакасия: дорога на убой

Третий год в России работает нацпроект «Безопасные и качественные автомобильные дороги». Только в 2019 году в Хакасию направлено 368 федеральных миллионов по этому направлению. Почти 200 добавила республика.

Ярослава Грин

РасследованияТранспортХакасия

85935

16.12.2020

В Бурятии возобновят работу театры, библиотеки и музеи

Глава Бурятии Алексей Цыденов разрешил местным театрам возобновить свою деятельность с 20 декабря. Соответствующие изменения 15 декабря были внесены в указ о дополнительных мерах по защите населения и территории региона от COVID-19.

КультураОбществоБурятия

13579

16.12.2020

Ледяной ад в сотых кварталах Улан-Удэ: жители “города людей” снова борются за выживание

Бабр анонсировал возвращение коммунальных катастроф в сотых кварталах Улан-Удэ уже летом 2021 года, но суровая улан-удэнская реальность оказалась хуже самых пессимистичных прогнозов. В середине декабря район снова остался без тепла - на несколько часов, но посреди зимы.

Андрей Светлов

ЖКХПолитикаПроисшествияБурятия

23452

16.12.2020

Сандаков: на модернизацию здравоохранения Прибайкалья потратят ₽11 миллиардов за 5 лет

Новый глава Минздрава Иркутской области Яков Сандаков 16 декабря представил Заксобранию программу модернизации первичного звена здравоохранения до 2025 года. По словам министра, за пять лет на модернизацию потратят 11,127 миллиарда рублей, 10,54 миллиарда из них предоставит федеральный бюджет.

ЗдоровьеЭкономика и бизнесИркутск

11212

16.12.2020

Сергей Левченко восстал из политических мертвецов

Бывший губернатор Иркутской области вернулся в медийную повестку и сделал несколько громких заявлений. Напомним, экс-глава региона сохранял информационное молчание с конца сентября, когда был арестован и этапирован в Москву Андрей Левченко.

Антoн Херсонцев

ПолитикаИркутск

31101

16.12.2020

Студентов томского Политеха будут учить работать в Tik Tok

Руководство ТПУ планирует обучать студентов продвижению в одном из самых популярных приложений Tik Tok. Об этом 16 декабря сообщила пресс-служба вуза. Созданию маркетинговых программ будут учить студентов направления «Цифровой маркетинг».

ОбразованиеИнтернет и ИТТомск

5411

16.12.2020

Предсказуемый финал: Красноярск остался без прямых выборов мэра

15 декабря на сессии городского Совета Красноярска депутаты рассмотрели инициативу о возвращении так называемых народных выборов градоначальника. Как и ожидалось, предложение не получило поддержки. Для общего понимания ситуации стоит обрисовать расстановку сил в местном парламенте.

Александр Тубин

ПолитикаКрасноярск

28176

16.12.2020

Инсектициды извлекли с помощью пластика в Томске

Новую модель повторного использования пластиковых отходов (ПЭТ) для поглощения инсектицидов из воды разработали ученые Томского Политехнического университета (ТПУ). Фото с sunhome.

Есения Линней

Наука и технологииЭкологияРоссия Томск

18231

16.12.2020

Красноярец получил шесть лет колонии за комментарий в соцсетях

Жителя Красноярска осудили на шесть лет лишения свободы по статьям «Содействие террористической деятельности» и «Публичные призывы к осуществлению террористической деятельности». Об этом 16 декабря сообщает пресс-служба краевого следкома.

Интернет и ИТРасследованияТерроризмКрасноярск

41889

16.12.2020

Иркутск и Красноярск оказались в лидерах по доле людей с антителами к COVID-19 в Сибири

Более 50% жителей Сибири и Урала, проходивших тестирование на антитела в лабораториях «Инвитро», получили положительные результаты. Об этом 16 декабря сообщил РБК, ссылаясь на данные компании.

ЗдоровьеОбществоИркутск Красноярск

4747

16.12.2020

Коршуновский ГОК сливал в реки сточные воды, за что получил многомиллионный штраф

Росприроднадзор направил в Арбитражный суд Прибайкалья иск к ПАО «Коршуновский горно-обогатительный комбинат», требуя взыскать почти 5,8 миллиона в счет вреда, причиненного рекам Коршуниха и Гандюха. Об этом 16 декабря сообщает пресс-служба Четвёртого арбитражного апелляционного суда.

ЭкологияИркутск

17690

16.12.2020

Профессиональные заболевания: когда работа калечит здоровье

В прошлой публикации мы говорили о таких понятиях, как вредные условия труда и вредные факторы производства. Рассматривали гарантии и компенсации, которые предусмотрены Трудовым кодексом для работников, которые подвергаются.

Алиса Беглова

ЗдоровьеОбществоРоссия

7759

16.12.2020

Еще 190 человек в Томской области заразились COVID-19, четверо умерли

По данным на 16 декабря, еще 190 человек в Томской области заболели COVID-19. Также за сутки 215 пациентов выздоровели, четверо умерли. Об этом сообщает региональный оперштаб по коронавирусу.

ЗдоровьеОбществоТомск

3835

16.12.2020

Ещё 333 больных COVID-19 нашли в Красноярском крае, 21 пациент скончался

По данным на 16 декабря, в Красноярском крае 41 584 случая заражения коронавирусом. Суточный прирост — 333, темп прироста — 0,8%. За всё время выздоровело 34 543 человека, в том числе 400 за последние сутки. Количество погибших возросло до 1430, скончался ещё 21 заражённый COVID-19.

ЗдоровьеКрасноярск

4213

16.12.2020

Масса всего созданного людьми впервые превысила массу биосферы

В 2020 году «мир людей» стал больше, чем вся биосфера Земли, вместе взятая. Карандаши, кровати, машины, небоскрёбы, стаканы и ракеты теперь больше совокупности всех деревьев, крокодилов, бактерий, китов и грибов. Человечество в прямом смысле этого слова вытесняет природу.

Анна Амгейзер

ЭкологияНаука и технологииМир Россия

22677

16.12.2020

В затоплении улиц Улан-Удэ нечистотами обвинили деревья

Вечером 15 декабря несколько улиц Улан-Удэ затопило нечистотами. Машинам и людям пришлось в мороз передвигаться по жидкости из канализации. 16 декабря в МУП «Водоканал» рассказали, что стало причиной аварии.

ЖКХПроисшествияБурятия

14121

16.12.2020

Безработица в Прибайкалье уменьшается, но работодателям всё еще не хватает сотрудников

В Иркутской области растут показатели трудоустройства местных жителей. Однако рабочей силы не хватает из-за сокращения числа трудовых мигрантов. Об этом 16 декабря сообщила министр труда региона Наталья Воронцова.

Экономика и бизнесИркутск

13012

16.12.2020

Анатолию Быкову продлили арест до февраля 2021 года

Железнодорожный суд снова продлил арест красноярскому бизнесмену и политику Анатолию Быкову, проходящему сразу по нескольким уголовным делам. 16 декабря суд продлил меру пресечения на 2 месяца и 3 дня, до 24 февраля 2021 года.

ПолитикаРасследованияКрасноярск

12101

16.12.2020

В Красноярском крае усилили антиковидные ограничения

16 декабря губернатор Красноярского края Александр Усс внёс очередные изменения в указ о противодействии коронавирусу. Для общепита введены новые ограничения, а аптекам и магазинам рекомендовано перейти на круглосуточный режим работы.

ЗдоровьеЭкономика и бизнесКрасноярск

13701

16.12.2020

Баир Жамбалов пытался выбраться из-под домашнего ареста

Советский районный суд Улан-Удэ продлил домашний арест бывшему вице-спикеру Народного Хурала Баиру Жамбалову до 6 января. Адвокат подал жалобу на это решение, 16 декабря Верховный суд Бурятии рассмотрел её.

ПолитикаРасследованияСкандалыБурятия

17068

16.12.2020

Томичи заступились за арестованного мэра Кляйна перед Путиным

Жители Томска записали видеообращение к президенту Владимиру Путину. Они заявили, что дело против мэра города Ивана Кляйна сфабриковано ради застройки микрорайона Мокрушинский. Томичи уверены, что правительство области забирает у города полномочия в сфере градостроительства.

ПолитикаНедвижимостьРасследованияТомск

18562

16.12.2020

Служба по тарифам Бурятии считает фантастическим предложение о снижении тарифов на тепло

Общественный совет при Республиканской службе по тарифам предложил снизить тариф на тепло на 40% за счёт повышения потребления в Улан-Удэ в 2,5 раза. В РСТ заявили, что это предложение не подтверждается никакими документами и не может быть рассмотрено.

Экономика и бизнесЖКХБурятия

13551

16.12.2020

Навязший в зубах томский кампус можно построить на месте колонии?

Томские чиновники намериваются построить студгородок на левом берегу Томи. Дело, разумеется, важное и нужное, однако территория, на которой хотят возвести кампус, малопригодна для этого. Во-первых, она удалена от города (жить на отшибе – то ещё удовольствие!).

Андрей Игнатьев

ОбразованиеНаука и технологииТомск

16247

16.12.2020

Красноярские депутаты приняли на 2021 год бюджет с профицитом в 1,1%

15 декабря на сессии Красноярского горсовета депутаты приняли бюджет города на 2021 и плановый период 2022-2023 годов. Впервые за много лет бюджет сформирован с профицитом. Доходная часть бюджета составит 36,9 миллиарда рублей, расходная часть –36,5 миллиарда рублей.

Экономика и бизнесКрасноярск

23862

16.12.2020

Красноярский край: между дороговизной и депопуляцией

В концу 2020 года Красноярский край подошёл с двумя «головняками», которые аккомпанируют доминирующей над всем пандемии: аховый рост цен и депопуляция населения. Цены ушли в отрыв В Красноярском крае — самая дорогая продуктовая корзина среди регионов Сибирского федерального округа.

Макс Веселов

Экономика и бизнесОбществоКрасноярск

26790

16.12.2020

Надо ли в Иркутске пускать болельщиков на трибуны?

Когда же болельщиков в Иркутске пустят на хоккей? К началу чемпионата зрители были только в Новосибирске и Ульяновске. Затем к обращениям болельщиков хоккея с мячом прислушались в Архангельске. Затем в Мурманске. Затем в Абакане. На днях стало известно, что на игры «Зоркого» тоже ходить можно будет.

Ника Песчинская

СпортСобытияОбществоИркутск Россия

10934

16.12.2020

В Прибайкалье за сутки умерло 16 человек с COVID-19, всего погибло 1277 человек

По состоянию на утро 16 декабря в Иркутской области зарегистрировано 36734 лабораторно подтверждённых случая коронавирусной инфекции. За последние сутки заболевание выявлено у 270 человек. 3572 человека проходят лечение в стационарах, ещё 5826 лечатся амбулаторно.

ЗдоровьеИркутск

4375

16.12.2020

Красноярский тренер по фристайлу раскритиковал трассы на Сопке

15 декабря в инстаграм-аккаунте кластера «Сопка» КГАУ РЦСС похвастался «слаженной работой по подготовке трасс» при проведении тренировок сборной России по фристайлу. Оказалось, что не все согласны с такой оценкой работы кластера.

СпортЭкономика и бизнесКрасноярск

20512

16.12.2020

Названы самые «грязные» мировые компании: Coca-Cola, PepsiCo, Nestlé

Завершено масштабное исследование по загрязнению планеты пластиком. Почти 15 тысяч волонтёров движения Break Free From Plastic взяли на контроль 575 брендов из 55 стран. За год они собрали 346,5 тысячи единиц пластика. На 63% из них можно было определить логотип компании.

Миша Ковальски

ЭкологияМир

29540

16.12.2020

Суд вынес третий приговор экс-начальнику томского ГУ МЧС Михаилу Бегуну

В Ленинском районном суде Томска вынесен приговор по третьему уголовному делу, возбуждённому в отношении бывшего начальника ГУ МЧС по Томской области Михаила Бегуна. Его признали виновным в превышении должностных полномочий, сообщила 15 декабря прокуратура Томской области.

ПроисшествияТомск

5971

16.12.2020

В Бурятии за сутки заболело коронавирусом ещё 208 человек

По данным на утро 16 декабря в Бурятии заразилось коронавирусом 22902 человека. Прирост за сутки составил 208 новых случаев. 54% из всех выявленных случаев заражения (12461 человек) – жители Улан-Удэ. Об этом сообщает республиканский Роспотребнадзор.

ЗдоровьеПроисшествияБурятия

3410

16.12.2020

Развитие Центрального парка в Красноярске отдали британским и московским архитекторам

В Красноярске подвели итоги конкурса на концепцию Центрального парка. К участию в конкурсе привлекали мировых архитекторов. Победителей выбрали вечером 15 декабря, сообщается на сайте, созданном специально для конкурса. Работы на конкурс принимали с 24 сентября по 6 октября.

ОбществоКрасноярск

3080

16.12.2020

В 2022 году Банк России выпустит монету в честь Иркутска

В серии монет «Города трудовой доблести» в 2022 году будет выпущена 10-рублёвая монета в честь Иркутска. Об этом 15 декабря сообщила пресс-служба Центробанка. Монета Иркутска будет сделана из стали с латунным гальваническим покрытием обычного качества чеканки.

СобытияРоссия

4479

16.12.2020

За сносом самостроя на Пискунова, 40 в Иркутске будут следить судебные приставы

Многоэтажный жилой дом № 40 на улице Пискунова в Иркутске признан самовольно возведённым объектом и должен быть снесён жильцами за их собственные средства. Такое решение по иску администрации Иркутска принял Октябрьский районный суд.

НедвижимостьПроисшествияИркутск

6369

16.12.2020

Ковидные бдения «слуг народа». Сессия Заксобрания: онлайн БАБРа

БАБР ведет текстовую онлайн-трансляцию 38-й сессии Законодательного Собрания Иркутской области.

Антoн Херсонцев

ПолитикаЭкономика и бизнесИркутск

29584

16.12.2020

Каждой машине по месту: в Томке не уменьшат парковочный норматив

Власти Томска пока не уменьшат количество машиномест для новостроек. Большинство депутатов проголосовали против и – о чудо! – соответствующий законопроект был снят с повестки гордумы для дополнительной проработки.

Андрей Игнатьев

ЖКХТомск

18659

16.12.2020

Сгоревший в Иркутске дом-памятник планируют восстанавливать

Власти планируют восстанавливать объект культурного наследия – бывшую Усадьбу Кузнецова по улице Свердлова, 11А.

ПроисшествияЭкономика и бизнесКультураИркутск

16384

16.12.2020

Иркутское отделение КПРФ определит кандидатов в депутаты госдумы в феврале

Сергей Левченко заявил, что Иркутский областной комитет КПРФ определит кандидатов в депутаты госдумы в конце февраля.

ПолитикаИркутск Россия

12302

16.12.2020

В Томске решится вопрос с застройкой бывшего ТЗИА

Томская гордума рассмотрят на ближайшем собрании вопрос о застройке территории бывшего ТЗИА. Там хотят разместить новый жилой комплекс, в котором смогут жить до тысячи томичей.

НедвижимостьОбществоТомск

4986

16.12.2020

Вход в «Красноярские столбы» подорожал в 3,5 раза

Стоимость билета в «Столбы» с 7 декабря выросла с 50 рублей до 180. Но для многих вход будет бесплатным. Когда «Столбы» из заповедника превратились в национальный парк, то вход на них по закону стал платным — 50 рублей.

ОбществоТуризмКрасноярск

8942

16.12.2020

В Улан-Удэ прорвало трубы и затопило сразу несколько улиц

Вечером 15 декабря в Октябрьском районе произошла большая коммунальная авария. Сразу несколько улиц оказались по колено в воде. Очевидцы сообщают, что на улице Бабушкина в районе «Верхнеудинска» и бизнес-инкубатора льются целые реки воды. Бульвар Карла Маркса тоже затопило.

ПроисшествияЖКХБурятия

14420

16.12.2020

В Прибайкалье долги по зарплате выросли на 21% за месяц

Задолженность по зарплате в Иркутской области на 1 декабря 2020 года выросла на 20,8% по сравнению с предыдущим месяцем. По официальным данным сейчас она составляет 9,7 миллиона рублей. Об этом сообщил «Иркутскстат» 14 декабря.

ОбществоЭкономика и бизнесИркутск

13293

16.12.2020

Табаков присел на Малой Сухаревской

Смысл жизни в том, что жизнь на тебе не заканчивается. Олег Табаков 14 декабря возле Новой сцены Театра Олега Табакова на Малой Сухаревской площади в Москве открыли скульптурную композицию, посвящённую его создателю.

Филипп Марков

КультураРоссия

38099

15.12.2020

«Нет произволу ТГК-14»: активисты требуют справедливости от «Справедливой России» и Путина

Жители Бурятии пытаются добиться реакции федеральных политиков на беспредел, который устраивает тепломонополист. Участники общественного движения «Нет произволу ТГК-14» готовят обращение к президенту России Владимиру Путину с просьбой обратить внимание на нарушения, которые допускает ТГК-14.

Александр Макаров

ОбществоПолитикаЭкономика и бизнесБурятия

23081

15.12.2020

Избранные строки и чужие жизни. На прощание от Валентина Гафта

Чужую жизнь играю, как свою. И, стало быть, свою играю, как чужую.

Филипп Марков

It`s my life...КультураРоссия

59590

15.12.2020

Крах компании Мордашова или регресс отрасли? “Бурятзолото" опять в минусе

“Бурятзолото” снова демонстрирует убыток. Аналитики связывают этот факт со снижением рентабельности производства и истощением запасов природного минерала. По информации бизнес-портала nedradv.ru, ПАО “Бурятзолото” по итогам 2019 года сократило производство драгметалла на 28%.

Анна Гал

Экономика и бизнесПолитикаБурятия Россия

26346

15.12.2020

Россия – страна, которой плевать на изменение климата

Россия заняла 49 место из 57 в топе стран, которые борются с изменением климата. Россияне не выключают свет, почти не сортируют мусор, а федеральная политика в области сокращения углекислого газа и вовсе отсутствует в стране.

Анна Амгейзер

ЭкологияНаука и технологииОбществоМир Россия

26493

15.12.2020

“Вы эту дуру заткните, чтобы она не орала”. Как из Влада Марусова выбивали признание в убийстве

В октябре 2020 года иркутянин Влад Марусов был оправдан по обвинению в убийстве Анны Малой — модели и любовницы олигарха Сергея Черного. Скандальное дело развалилось, но перед этим из парня пытались выбить признание — и теперь он рассказал Бабру о пытках и издевательствах в иркутском СИЗО № 1.

Екатерина Степанидзе

ОбществоРасследованияСкандалыИркутск Россия

153439

15.12.2020

Реновация Норильска: как Усс развёл на бюджеты Потанина

Не без стараний истеблишмента Красноярского края реновация Норильска из 85 миллиардов выросла почти в 2,4 раза и может превысить 200 миллиардов рублей. И не менее половины из этой суммы должен взять на себя «Норникель».

Макс Веселов

ПолитикаКрасноярск

23606

15.12.2020

81-летний депутат Госдумы от Красноярского края во второй раз заболел COVID-19

Пять депутатов Госдумы повторно заразились коронавирусом, у них не выработались антитела. Об этом 15 декабря рассказал спикер Госдумы Вячеслав Володин. В числе повторно заболевших оказался и депутат от Красноярского края, Хакасии и Тувы учёный-полярник Артур Чилингаров.

ПолитикаЗдоровьеКрасноярск

14325

15.12.2020

Петиция «Новой газеты» о защите Байкала собрала уже свыше 58 тысяч подписей

«Новая газета» создала на площадке Change.org петицию против принятия новой редакции перечня видов деятельности, запрещенных на Байкале. Она адресована председателю правительства РФ Михаилу Мишустину. Ее поддержали уже больше 58 тысяч человек.

ЭкологияОбществоБайкал Россия

17876

15.12.2020

Телеграм Иркутска за неделю: Игры со смертностью, Сандаков под прессом и вакцина для масс

Бабр представляет обзор ключевых событий в иркутском сегменте мессенджера Telegram за неделю с 7 по 13 декабря включительно. Рекордная смертность, её удаление и возвращение 8 декабря служба ЗАГС Иркутской области опубликовала информацию о смертности в регионе.

Александр Мур

ПолитикаЗдоровьеИркутск

25853

15.12.2020

В Красноярске от коронавируса умерла 71-летняя врач-терапевт из Ачинска

10 декабря в Красноярской краевой больнице умерла 71-летняя врач-терапевт из Ачинска Валентина Балобанова. Причиной смерти стал коронавирус. Об этом 15 декабря сообщил портал NGS24 со ссылкой на родственников и коллег женщины.

ПроисшествияЗдоровьеКрасноярск

4211

15.12.2020

Якутская ссылка Дмитрия Бердникова

Месяц назад экс-мэр Иркутска Дмитрий Бердников переехал в Якутск, чтобы занять кресло первого заместителя главы республики. Должность статусная, казенная зарплата в наличии, однако повышением этот кадровый маневр трудно назвать при всем желании.

Василий Сибирцев

ПолитикаИркутск

38701

15.12.2020

Микропластик был найден в человеческой плаценте

Сотрудники отделения акушерства и гинекологии и отделения патологической анатомии больницы Фатебенефрателли (Италия) впервые провели исследование человеческой плаценты и обнаружили в ее стенках наличие микропластика. Фото с hightech.

Есения Линней

Наука и технологииЗдоровьеЭкологияМир

30028

15.12.2020

Дело об антиковидной вечеринке в баре сына депутата Хурала снова рассмотрят в суде

Сыну депутата Народного Хурала Кириллу Покацкому снова придётся явиться в суд. 15 декабря Верховный суд Бурятии отменил решение о прекращении производства по делу о вечеринке в баре «Фабрика».

РасследованияЭкономика и бизнесБурятия

16781

15.12.2020

ЦБК в Красноярском крае: «Сибирский лес» вошел в «Систему»

В то время как бывший глава Рослесхоза Иван Валентик успешно лоббирует идею строительства сразу двух целлюлозно-бумажных комбинатов в Красноярском крае, активизировалась и другая мощная финансовая группа, которая тоже не прочь завладеть лесными ресурсами региона.

Александр Тубин

Экономика и бизнесКрасноярск

24065

15.12.2020

Еще 195 человек заразились коронавирусом в Томской области

По данным на 15 декабря, еще 195 человек в Томской области заболели COVID-19. Также за сутки 194 пациента выздоровели. Летальных исходов зарегистрировано не было. Об этом сообщает региональный оперштаб по коронавирусу.

ЗдоровьеОбществоТомск

5889

15.12.2020

Коронавирус в Красноярском крае: ещё 335 заражённых и 23 погибших

По данным на 15 декабря, в Красноярском крае 41 251 случай заражения коронавирусом. Суточный прирост — 335, темп прироста — 0,8%. За всё время выздоровело 34 143 человека, в том числе 410 за последние сутки. Количество погибших достигло 1409, скончалось ещё 23 заражённых COVID-19.

ЗдоровьеКрасноярск

4644

15.12.2020

Жителям Иркутской области запретят запускать новогодние фейерверки где попало

На период новогодних и рождественских праздников в Иркутской области будет действовать особый противопожарный режим. Об этом 15 декабря заявили в правительстве региона. Режим введут с 28 декабря по 11 января.

ОбществоИркутск

4868

15.12.2020

В Бурятии снова произошло землетрясение

15 декабря около 12:00 в Северо-Байкальском районе Бурятии произошло землетрясение магнитудой 4,2. По информации ЕДДС, толчки ощутили жители населённого пункта Янчукан, эпицентр находился в 117 километрах северо-западнее. Объекты жизнедеятельности продолжают работать, жертв и разрушений нет.

ПроисшествияГеоБурятия

6164

15.12.2020

Умер первый мэр Томска Геннадий Коновалов

Бывший мэр Томска, экс-депутат областной думы Геннадий Коновалов умер 14 декабря на 76-м году жизни. Об этом сообщили в администрации города. В мэрии уточнили, что Коновалов скончался после тяжёлой болезни. Прощание с умершим состоится 16 декабря, с 13:00 до 14:00 в Богоявленском соборе.

It`s my life...ПолитикаТомск

19578

15.12.2020

Томичи будут отдыхать 31 декабря

Исполняющий обязанности мэра Томска Михаил Ратнер объявил 31 декабря выходным днём. О соответствующем распоряжении Ратнер сообщил на совещании в мэрии, посвященном финансовым итогам года.

ОбществоТомск

5426

15.12.2020

Минобороны получило двойную компенсацию за ковидный госпиталь в Красноярском крае

Правительство РФ компенсирует Минобороны затраты на мобильный госпиталь на Олимпиадинском месторождении. Ранее эти расходы уже оплатил «Полюс». В мае более тысячи работников «Полюса» заразились коронавирусом на Олимпиадинском ГОКе в Северо-Енисейском районе.

АрмияЭкономика и бизнесКрасноярск

20660

15.12.2020

Муниципальное ипотечное агентство Ангарского городского округа не имеет права выдавать кредиты

Ангарская прокуратура установила, что у МУП «Ипотечное агентство Ангарского городского округа» нет законных оснований на выдачу ипотечных займов. Директору предприятия внесли постановление о возбуждении административного дела.

Экономика и бизнесНедвижимостьИркутск

18759

15.12.2020

Депутат Госдумы предложил ввести наказание за клевету в интернете

Первый зампред комитета Госдумы по развитию гражданского общества Дмитрий Вяткин предложил ввести наказание за клевету в интернете. Сейчас в статье 128.1, которую предлагает дополнить Вяткин, предусмотрено наказание за клевету в СМИ, публичных выступлениях или публичных произведениях.

ОбществоРоссия

6907

15.12.2020

Засоление почв всё ещё мировая проблема. Китай не сдаёт позиций

Одной из глобальных экологических проблем является засоление почв. По данным продовольственной и сельскохозяйственной организации ООН (ФАО), засоленные почвы занимают в мире огромные площади — около 25 % всей поверхности суши.

Миша Ковальски

ЭкологияКитай Россия

32756

15.12.2020

Попахивает коррупцией. В Томске работают над созданием студгородка

Как мы и предполагали, постройка международного студгородка на левом берегу Томи – отмыв денег. Во всяком случае, всё указывает на это. Итак, давайте по порядку. 10 лет назад ГК «Карьероуправление» (ИНН 7017343591, ОГРН 1137017025683) приобрело территорию на Левобережье за 24 миллиона рублей.

Андрей Игнатьев

ОбразованиеЭкономика и бизнесТомск

32582

15.12.2020

Автобусные приложения в Красноярске будут работать со сбоями

В последние две недели декабря автобусные приложения в Красноярске будут работать со сбоями. Об этом сообщили в администрации города. С 15 по 31 декабря в общественном транспорте будут обновлять навигационное оборудование.

ТранспортКрасноярск

4701

15.12.2020

Фальшивомонетчиков задержали в Иркутске при покупке новогодних украшений

В Иркутске задержали пару молодых людей, которых подозревают в сбыте фальшивых купюр. 19-летняя девушка и 20-летний парень предположительно купили фальшивки в интернете. Злоумышленников задержали, когда они пытались расплатиться за товар на рынке.

КриминалИркутск

5389

15.12.2020

За сутки в Иркутской области заразилось коронавирусом 262 человека, 22 из них – дети

С начала пандемии в Иркутской области зарегистрировано 36464 случая заражения коронавирусом. За последние сутки заболело 262 человека, из них 22 – дети до 17 лет и один вахтовый рабочий. Об этом сообщает оперштаб региона. В больницах находится 3696 человек, 162 из них – в тяжёлом состоянии.

ПроисшествияЗдоровьеИркутск

5268

15.12.2020

Для перевода частного сектора городов Сибири на электроотопление нужно 12 миллиардов

Для того чтобы перевести частный сектор Улан-Удэ, Красноярска и Читы на электроотопление, нужно около 12 миллиардов рублей. Об этом 14 декабря заявила пресс-служба ПАО «Россети Сибирь». Работы по переводу частного сектора на электроотопление уже ведутся.

ЭкологияЖКХБурятия Красноярск Забайкалье

15379

15.12.2020

Авария оставила без тепла «сотые» кварталы Улан-Удэ

Вечером 14 декабря жители сотых кварталов Улан-Удэ несколько часов провели без отопления в квартирах. К отключению привела авария на котельной «Юго-Западная», сообщается на официальном сайте столицы Бурятии. В 20:10 на подстанции отключился фидер, обеспечивающий электроснабжение котельной.

ЖКХПроисшествияБурятия

11313

15.12.2020

Губернатор Томской области назвал «сбоем» долги по зарплате перед коммунальщиками

Губернатор Томской области Сергей Жвачкин дал комментарий по факту невыплаты зарплаты работникам коммунального предприятия «Чаинский ПОЖКХ» из села Подгорное. Глава региона назвал ситуацию «сбоем», сообщил 14 декабря «ТВ2».

ПроисшествияЖКХТомск

17843

15.12.2020

Абоненты Tele2 получат скидку по trade-in от искусственного интеллекта Миа

Tele2 с помощью искусственного интеллекта запускает в розничной сети акцию на покупку смартфонов по программе trade-in. Виртуальный помощник Миа проанализирует, требуется ли клиенту более мощное устройство, и предложит дополнительную скидку на новый смартфон при сдаче старого в trade-in.

Интернет и ИТИркутск

5095

15.12.2020

Иркутские рестораны ради ночной работы стали имитировать хостелы

Ради обхода запрета на ночную работу ресторанов и баров в Иркутске их владельцы придумали «открывать» при них хостелы. Об этом 14 декабря сообщили в пресс-службе правительства Иркутской области.

ПроисшествияЭкономика и бизнесИркутск

11241

15.12.2020

В Бурятии COVID-19 выявили у 215 человек. Пять человек скончались

По данным Роспотребнадзора на утро 15 декабря, всего в республике подтверждены 22694 случая заражения COVID-19. Из них в Улан-Удэ — 12355 случаев, это 54% от общего числа инфицированных. Из 215 заболевших за сутки у 175 человек коронавирус обнаружили после жалоб на симптомы ОРВИ и пневмонии.

ЗдоровьеБурятия

4026

15.12.2020

«Красноярские столбы» получили грант на 15 миллионов рублей от Минэкологии края

Министерство экологии и рационального природопользования Красноярского края выделило национальному парку «Столбы» грант на сумму более 15 миллионов рублей. Деньги предоставили в рамках краевой госпрограммы «Охрана окружающей среды, воспроизводство природных ресурсов».

ЭкологияКультураЭкономика и бизнесКрасноярск

18747

15.12.2020

Власти Томска: строительство корпуса ТГУ не повредит аварийному зданию по соседству

Томские власти уверены, что строительство нового корпуса ТГУ не приведет к разрушению аварийного деревянного дома на проспекте Ленина, 47/1. От этом 14 декабря сообщили в пресс-службе мэрии.

ОбществоНедвижимостьТомск

5325

15.12.2020

Суд приговорил к 3 годам колонии виновника смертельного ДТП со скорой

Жителя Республики Дагестан приговорили к трём годам лишения свободы за прошлогоднее ДТП в Шелеховском районе. Тогда погибло два человека.

КриминалПроисшествияИркутск

4130

15.12.2020

В Иркутской области за год капитально отремонтировали 67% или 946 домов

На начало декабря план по капитальному ремонту домов в Иркутской области выполнен на 67%, заявил первый замминистра по жилищной политики, энергетики и транспорта Роман Орноев во время прямого эфира 14 декабря.

ЖКХОбществоИркутск

13940

15.12.2020

Алексей Цыденов планирует переизбираться на новый срок

Глава Бурятии Алексей Цыденов заявил о намерении идти на новый губернаторский срок. «У меня срок, на который меня люди избрали – до 2022 года. Так что в 2022 году новые выборы. Я пока планирую, но все зависит от вас», – заявил Цыденов во время прямого эфира.

ПолитикаБурятия

10618

15.12.2020

Владелец «Фабрики» отрицает свою причастность к вечеринке в баре

Сын депутата Народного Хурала Кирилл Покацкий, он же владелец бара «Фабрика» прокомментировал ситуацию с вечеринкой. Он заявил, что во время скандально известной вечеринки бар был сдан в аренду. «Во-первых, «Фабрика» не работает уже с марта месяца.

СкандалыПроисшествияЭкономика и бизнесБурятия

15497

15.12.2020

Телеграм Бурятии за неделю: Мишенин под прицелом, братья Покацкие, ноутбук за спасение жизни

Бабр представляет обзор ключевых событий в бурятском сегменте мессенджера Telegram за неделю с 7 по 13 декабря. Причины и поводы: в Бурятии задержали зампреда правительства В Улан-Удэ сотрудники ФСБ задержали Алексея Мишенина – зампреда правительства Бурятии по экономическому развитию.

ivan.off

СкандалыПолитикаЗдоровьеБурятия

26764

14.12.2020

Пиролиз фенольного озера в Улан-Удэ: безопасно или выгодно?

Вопрос ликвидации фенольного озера в Улан-Удэ не может решиться уже много лет. Один из вариантов утилизации отходов – это пиролиз. Бабр решил разобраться что такое пиролиз и насколько он целесообразен в данном случае. Как появилось фенольное озеро?

Анна Амгейзер

ЭкологияЭкономика и бизнесБурятия

34038

14.12.2020

Лес - семейное дело Александра Усса. Видео

Что общего между вырубкой лесов, транспортировкой пиломатериалов в Красноярске, добычей и продажей бурого угля, владением коммерческой недвижимостью в том же Красноярске и отелем в Италии, а еще и юрлицами в оффшорах?

Максим Бакулев

РасследованияЭкономика и бизнесКрасноярск

36547

14.12.2020

Тайные струны. Психологический портрет Оксаны Козловской

Как любит повторять ведущий специалист в области мировой психодиагностики и судьбоанализа Михаил Вигдорчик, если у вас есть возможность не анализировать поведение женщины – воспользуйтесь ею.

Соня Нореман

ПолитикаТомск

82176

14.12.2020

Компания En+ Group начала замену гидроагрегата №1 на Иркутской ГЭС. Видео

En+ Group, ведущий вертикально интегрированный производитель алюминия и возобновляемой электроэнергии, сообщает о начале замены гидроагрегата №1 на Иркутской ГЭС.  Детали нового гидроагрегата уже прибыли на станцию.

Экономика и бизнесИркутск

16880

14.12.2020

Губернатор Томской области возглавил рейтинг по доле негативных сообщений в соцсетях

По итогам ноября губернатор Томской области Сергей Жвачкин занял первое место в рейтинге среди глав регионов по доле негативных сообщений в соцсетях. Исследование проводил Центр политической конъюнктуры. Жвачкин Сергей © Проект "Лица Сибири" Жвачкин набрал 15,29% негативных комментариев.

ПолитикаОбществоИнтернет и ИТТомск Красноярск

22714

14.12.2020

Павел Борзых назначен министром экологии Красноярского края

Врио министра экологии и рационального природопользования Красноярского края Павел Борзых стал полноценным главой ведомства. Об этом 14 декабря сообщили в правительства края.

ПолитикаОфициозЭкологияМир Красноярск

22445

14.12.2020

Землетрясение в Бурятии «оживило» старинные часы в музее Ангарска

В Музее часов Ангарска заработали два старинных экспоната, которые не ходили долгое время. Причиной тому землетрясение в Бурятии, произошедшее 10 декабря. Об этом сообщило ИА «Телеинформ» со ссылкой на заведующую экспозиционным отделом музея Наталью Сметнёву.

ГеоКультураИркутск Бурятия Байкал

19813

14.12.2020

С «ИрАэро» взыскали более $150 тысяч в пользу корпорации «Иркут» за самолёты SSJ-100

Это уже третий за два года иск компании «Гражданские Самолёты Сухого» (ГСС) к «ИрАэро». В июне в суде поменялся истец, им стала корпорация «Иркут», в которую входит ГСС.

Экономика и бизнесИркутск

12571

14.12.2020

Смертность от коронавируса в России: плюс 150 тысяч трупов

Промежуточные итоги «борьбы с вирусом» в России выглядят неутешительно. Избыточная смертность уже сопоставима с последствиями крупного военного конфликта. Для начала сделаем несколько обязательных оговорок.

Антoн Херсонцев

ЗдоровьеОбществоРоссия Иркутск

9741

14.12.2020

Мастер жанра. Ушёл из жизни Джон ле Карре

12 декабря в столице графства Корнуэлл Труро на 90 году жизни скончался выдающийся британский писатель, лауреат двух премий «Золотой кинжал», премий Сомерсета Моэма и Эдгара По, кавалер ордена Искусств и литературы Дейвид Джон Мур Корнуэлл, вошедший в историю жанра шпионского романа под псевдонимом ...

Филипп Марков

It`s my life...КультураМир

53758

14.12.2020

Цыденов анонсировал возвращение вытрезвителей в Бурятии

В Бурятии снова откроют вытрезвители. Об этом 13 декабря заявил Алексей Цыденов, отвечая на вопросы жителей республики во время прямого эфира в соцсетях. Один из пользователей пожаловался, что сейчас пьяных, но здоровых людей доставляют в обычные больницы.

ОбществоЗдоровьеБурятия

4435

14.12.2020

Юлию Соловарову назначили главой управления архитектуры мэрии Красноярска

Новым руководителем управления архитектуры мэрии Красноярска стала Юлия Соловарова. Соответствующее распоряжение подписал градоначальник Сергей Еремин. Об этом 14 декабря сообщает пресс-служба городской администрации.

ОфициозПолитикаКрасноярск

18403

14.12.2020

С зимним дизелем от ННК морозы не страшны: сезонное топливо предлагают АЗС известной сети

Каждый автомобилист, а особенно тот, у которого машина заправляется дизелем, знает, что в холодное время года нужно использовать только качественное топливо и выбирать проверенные автозаправочные станции.

Станислав Цырь

ТранспортЭкономика и бизнесБурятия

32375

14.12.2020

Юлия Мазур возглавила пресс-службу правительства Иркутской области

38-летняя Юлия Мазур с 14 декабря возглавила пресс-службу правительства Иркутской области. Она уже подтвердила эту информацию. Ранее пресс-службой временно руководила Оксана Константинова, теперь она вернётся к исполнению обязанностей заместителя главы пресс-службы.

ОфициозИркутск

22606

14.12.2020

Ракета «Авангард»: быстро и с обманом

В конце 2019 года 13-я ракетная Оренбургская Краснознаменная дивизия получила и поставила на боевое дежурство полковой комплект новых боевых блоков к баллистической ракете УР-100Н УТТХ, известных под названием «Авангард».

Дмитрий Верхотуров

АрмияНаука и технологииРасследованияРоссия

61025

14.12.2020

Размышления о солдатских душах

История с предстоящим захоронением останков солдат для меня с самого начала полна размышлений. И основной вопрос – а правильно ли мы делаем? Правильно ли я делаю? Оценивать свои деяния с высоты своего возраста и просто, и невероятно сложно.

Дмитрий Андронов

ИсторияОбществоБурятия

11599

14.12.2020

Еще 187 человек в Томской области заразились COVID-19, четверо умерли

По данным на 14 декабря, еще 187 человек в Томской области заболели COVID-19. Также за сутки 188 пациентов выздоровели, четверо умерли. Об этом сообщает региональный оперштаб по коронавирусу.

ЗдоровьеОбществоТомск

4254

14.12.2020

Ещё 16 больных с COVID-19 скончались в Красноярском крае

По данным на 14 декабря, в Красноярском крае 40 916 случаев заражения коронавирусом. Суточный прирост — 334, темп прироста — 0,8%. За всё время выздоровело 33 733 человека, в том числе 400 за последние сутки. Количество погибших достигло 1386, скончалось ещё 16 заражённых COVID-19.

ЗдоровьеКрасноярск

3983

14.12.2020

Распил Байкала начался. Кому отдают Малое море?

Байкальской природной территории обещают небывалое развитие. Только вот происходить это будет не так, как у большинства особо охраняемых территорий страны.

Миша Ковальски

ТуризмЭкономика и бизнесИркутск Байкал

37928

14.12.2020

Чудо-коррупция на чудо-реакторе: сага о неэффективности Росатома

В 2007 году, в год своего основания, атомная корпорация «Росатом» приняла решение построить в России, в городе Димитровграде Ульяновской области, многоцелевой реактор на быстрых нейтронах (МБИР).

Макс Веселов

РасследованияЭкономика и бизнесРоссия

21616

14.12.2020

Иван Кляйн обратился к томичам

Не так давно бывший мэр Томска Иван Кляйн, которого подозревают в превышении должностных полномочий, обратился к жителям города. Но нужен ли он томичам? Спойлер: не особо.

Андрей Игнатьев

КриминалТомск

11991

14.12.2020

Экс-главу управления ГО и ЧС Томской области обвинили в уничтожении 6,5 тысяч респираторов

По информации следователей, бывший директор управления подписал документы об утилизации респираторов, зная о том, что у них ещё не истёк срок гарантийного хранения. Об этом 14 декабря сообщили в следственном комитете.

РасследованияТомск

11074

14.12.2020

Новое паразитическое насекомое было открыто в Прибайкалье

Научный сотрудник Зоологического института РАН (Санкт-Петербург) Екатерина Целих обнаружила новый род паразитических насекомых на территории острова Ольхон и Большой Байкальской тропы. Фото с baikal-1.

Есения Линней

Наука и технологииРоссия Байкал

10463

14.12.2020

В Прибайкалье депутат лишилась мандата, потому что никто не знал, сколько она зарабатывает

Депутата Думы Нукутского района Екатерину Иванову досрочно лишили полномочий за нарушение антикоррупционного законодательства. Об этом 14 декабря сообщила прокуратура Иркутской области.

ПолитикаИркутск

12897

14.12.2020

Обзор иркутских клиник: «Байкал-Медикл»: клиника с масштабом и губернаторской историей

Экспертная группа Бабра продолжает проверять уровень сервиса частных иркутских клиник. Из-за коронавируса все государственные больницы и поликлиники фактически парализованы тысячами страждущих либо вылечиться от коронавируса, либо сдать на него тест.

Лера Крышкина

ЗдоровьеРасследованияИркутск

54069

14.12.2020

Яков Сандаков: спасение задыхающихся – дело рук самих задыхающихся

Прибывший в Иркутскую область примерно вместе с партией бэушных московских трамваев бывший главврач московской поликлиники №109 и новый наш министр здравоохранения Яков Сандаков пять дней назад сделал сенсационное заявление.

Камиль Фахрутдинов

ПолитикаЗдоровьеОбществоИркутск

41371

14.12.2020

Замерзающая Хатанга и очередное фиаско красноярского губернатора

Жители Хатанги стали заложниками ситуации. Теплосбытовая компания в лютые морозы не обеспечивает посёлок необходимым количеством тепла. Людям приходится использовать электрообогреватели, но сети не выдерживают нагрузки.

Richie Monroe

ЖКХЭкономика и бизнесРасследованияКрасноярск

35410

14.12.2020

Пандемийное Красноярье: пациент стабильно тяжёлый

Пандемийная жизнь Красноярья вступила в некий штиль: прирост новых заболевших и умерших от коронавирусной инфекции больше не бьёт антирекорды. Можно ли назвать это стабилизацией? Выражаясь медицинским языком, ситуация обстоит скорее так: состояние пациента стабильно тяжёлое.

Макс Веселов

ЗдоровьеКрасноярск

9168

14.12.2020

В Томске открыта пробная группа по «спасению» учителей от профвыгорания

В Томске начала работу первая пробная фасилитационная группа для психологической и методологической поддержки учителей.

ОбразованиеОбществоТомск

4915

14.12.2020

Северобайкальск первым в Бурятии переведут на газ

11 декабря в правительстве Бурятии обсудили вопрос газификации северных регионов. Заседание прошло в режиме видеоконференции под председательством зампреда по инфраструктуре Евгения Луковникова.

Экономика и бизнесЖКХБурятия

16870

14.12.2020

В мировой рейтинг «зелёных» вузов вошли два университета Иркутска

В мировой рейтинг устойчивого развития, который подготовило международное агентство GreenMetric, включены два университета из Иркутской области. Это Иркутский государственный аграрный университет имени Ежевского и Иркутский национальный исследовательский технический университет.

ЭкологияМир Иркутск

16414

14.12.2020

В Иркутской области за сутки от коронавируса выздоровело только 29 человек

269 человек заразилось коронавирусом за сутки в Иркутской области по данным на 14 декабря. Общее число заболевших с начала пандемии в регионе - 36202 человека, сообщает регональный оперштаб. Из вновь выявленных случаев трое – вахтовики, 24 – дети до 17 лет.

ЗдоровьеПроисшествияИркутск

5130

14.12.2020

В Красноярске от COVID-19 скончался врач-уролог краевой больницы Фёдор Капсаргин

В ночь на 14 декабря в Красноярске от коронавируса умер ещё один врач – практикующий уролог Красноярской краевой больницы, профессор КрасГМУ Фёдор Петрович Капсаргин. Об этом сообщил на своей странице в Facebook главврач медучреждения Егор Корчагин. Фёдору Капсаргину было 57 лет.

ПроисшествияЗдоровьеКрасноярск

5789

14.12.2020

Томская область, возможно, заберёт градостроительные полномочия у Томска

Администрация Томской области хочет забрать градостроительные полномочия Томска и Томского района. Соответствующий законопроект уже готов. Депутаты городской думы считают это, мягко выражаясь, несправедливым.

Андрей Игнатьев

ЖКХНедвижимостьПолитикаТомск

28121

14.12.2020

В Красноярске самая дорогая продуктовая корзина в Сибири

8 декабря Новосибирскстат опубликовал статистику стоимости условного минимального набора продуктов в регионах СФО. Набор состоит из 33 самых востребованных продуктов питания. Во всех регионах норма потребления этих продуктов одинаковая, а цена формируется из средней стоимости по региону.

Экономика и бизнесКрасноярск Иркутск Томск

15350

14.12.2020

Администрация Иркутска хочет взыскать с Восточно-Сибирского пароходства почти 2 миллиона

В Арбитражный суд Иркутской области поступил иск от администрации Иркутска о взыскании с «Восточно-Сибирского речного пароходства» 1,95 миллиона рублей. Об этом сообщается в картотеке дел суда.

ПроисшествияИркутск

4965

14.12.2020

В Бурятии за сутки прибавилось 223 пациента с COVID-19, умерли четыре человека

По состоянию на 8 утра 14 декабря в Бурятии зафиксировано 22479 случаев заражения коронавирусом. 12279 из них — в Улан-Удэ. За последние сутки количество заражённых выросло на 223 человека. У 176 пациентов заболевание выявили после жалоб на симптомы ОРВИ, остальные – контактные.

ЗдоровьеБурятия

4875

14.12.2020

Телеграм Красноярска за неделю: поздравление Усса замерзающей Хатанге, Х-ая сессия и дело Жавновой

Бабр представляет обзор ключевых событий в красноярском сегменте мессенджера Telegram за неделю с 7 по 13 декабря включительно.

Александр Макаров

ПолитикаОбществоРасследованияКрасноярск

30736

14.12.2020

Сточные воды железнодорожного образования

Диссертационный детектив в ИрГУПСе Жила-была девочка Лиана, умница и красавица. Поскольку умницей ей хотелось быть больше, чем красавицей, она закончила университет и аспирантуру. Но мало ей этого показалось, и решила она защитить диссертацию.

Егор Щербинин

ОбразованиеНаука и технологииРасследованияИркутск

106449

14.12.2020

«Млада»: есть ли в молоке молоко?

Торговая марка «Млада» уже давно имеет незавидную репутацию среди потребителей. Бабр решил разобраться, приносит ли это молоко «счастье в дом» или ничего хорошего от него ожидать не стоит. Молочная продукция изготавливается под Красноярском и продается во многих регионах страны.

Роман Русских

ОбществоЭкономика и бизнесРасследованияМир Красноярск

60727

14.12.2020

В Красноярском крае строится установка, превращающая энергию ветра в тепло

На международном форуме по Арктике в Санкт-Петербурге министр промышленности, энергетики и ЖКХ Красноярского края Евгений Афанасьев представил проект развития энергетического комплекса Арктической зоны региона.

Экономика и бизнесЖКХЭкологияКрасноярск Россия

19333

14.12.2020

Глава Бурятии заявил, что фенольное озеро необходимо ликвидировать

В прямом эфире в соцсетях 13 декабря глава Бурятии Алексей Цыденов заявил, что фенольное озеро в Улан-Удэ необходимо ликвидировать. Он напомнил, что предложенная технология пиролиза проходит сейчас экологическую экспертизу. По итогам заключения будет решаться, принимать ее или нет.

ЭкологияБурятия

16464

14.12.2020

Бухгалтер из Нижнеилимского района отправила аферистам больше миллиона

Жительница Нижнеилимского района отправила мошенникам крупную сумму денег, поверив, что ей положена компенсация за выписанные когда-то лекарства. Женщине позвонил неизвестный, который представился работником прокуратуры.

ПроисшествияИркутск

3852

14.12.2020

Глава Бурятии пообещал, что суд над Жамбаловым будет

13 декабря во время прямого эфира главы Бурятии в социальных сетях Алексею Цыденову задали вопрос, когда состоится суд над Баиром Жамбаловым, обвиняемым в гибели 17-летней Галины Бурчевской. «Суд будет. С августа месяца все действия закончились. Идет ознакомление.

ОбществоРасследованияБурятия

18628

14.12.2020

Мэрия Красноярска через суд пытается изъять долгострой на Сурикова

Мэрия Красноярска 10 декабря подала иск в арбитражный суд, требуя вернуть муниципалитету участок с недостроенным зданием на улице Сурикова. Здание начали строить в 2005 году. В 2015 году земельный участок с недостроем в аренду на три года взяло ООО «ТК Эльдорадо».

НедвижимостьКрасноярск

5124

14.12.2020

Бывшему полицейскому, обвинённому в соучастии в убийстве Никиты Кобелева, выплатили компенсацию

Советский районный суд частично удовлетворил требования бывшего полицейского, который ранее обвинялся в соучастии в убийстве 17-летнего Никиты Кобелева. • В июне 2016 года в Улан-Удэ по подозрению в краже велосипеда полицейские задержали двух подростков и отвезли их в отдел.

ОбществоБурятия

6014

14.12.2020

Смертоносный коронавирус. Ушёл из жизни «голос Кремля» Евгений Хорошевцев

13 декабря в Москве на 77 году жизни скончался российский актёр и телеведущий, диктор протокольных мероприятий президента России, профессор факультета искусств МГУ, народный артист России Евгений Хорошевцев.

Филипп Марков

It`s my life...КультураРоссия

36079

14.12.2020

Кумир страны. Судьба и роли Николая Рыбникова

«Чужая родня», «Весна на Заречной улице», «Девушка без адреса», «Высота», «Девчата».

Филипп Марков

КультураСобытияРоссия

86964

13.12.2020

Год Байкала. Как Бурятия страдает из-за экологических ограничений

В ноябре Бурятию с рабочим визитом посетила уполномоченный по правам человека в России Татьяны Москалькова. На фоне пандемии, протестов предпринимателей и энергетиков визит прошел почти незамеченным, а вместе с ним и проблемы, которые преследуют республику уже не первый год.

Анна Гал

Экономика и бизнесЭкологияПолитикаБурятия Байкал Россия

20557

13.12.2020

Нам пишут. История с кинотеатром "Чайка" - это профанация и фальсификация

Губернатору Иркутской области Мэру города Иркутска думе города Иркутска Обращение Власть, руководствуясь «благими намерениями», решила строить детскую районную поликлинику на месте кинотеатра «Чайка». При этом Поликлиника только частично будет детская.

Лера Крышкина

НедвижимостьРасследованияИркутск

36275

13.12.2020

В Красноярском крае за сутки скончался 21 человек с COVID-19

По информации оперштаба на 13 декабря, за сутки коронавирус выявили у 336 жителей, 21 человек скончался. Край находится на 14-м месте по выявляемости заболевших ковидом. Всего с начала пандемии в Красноярском крае лабораторно подтверждены 40582 случая заражения COVID-19.

ЗдоровьеКрасноярск

4732

13.12.2020

Число случаев завболевания COVID-19 в Томской области превысило 21 тысячу

Всего в регионе коронавирусом на данный момент болеют 4536 человек. По данным регионального оперштаба на 13 декабря, за сутки коронавирус подтвердился ещё у 189 жителей региона: у 54 заболевших инфекция протекает бессимптомно, у 128 есть признаки ОРВИ, у семи — пневмония.

ЗдоровьеТомск

4867

13.12.2020

Новые противопожарные требования

С 1 января 2021 года в России ужесточаются противопожарные правила. Теперь власти добрались до сакраментального — шашлыков на даче.

Алиса Беглова

НедвижимостьРоссия

8074

13.12.2020

Женская депрессия в четыре раза повышает риск ранней смерти

Учёные из Гарвардской школы общественного здравоохранения имени Чана настоятельно советуют женщинам избегать или бороться с депрессивным состоянием и посттравматическим стрессовым расстройством (ПТСР). Они уверяют, что эти факторы могут в четыре раза повысить риск ранней смерти у женщин.

Миша Ковальски

ЗдоровьеНаука и технологииМир

9445

13.12.2020

31 декабря в Бурятии всё же объявили выходным днём

Глава Бурятии Алексей Цыденов во время прямого эфира сообщил, что подпишет указ о выходном дне 31 декабря. Ранее сообщалось, что предпраздничный день останется рабочим. Рабочий день перенесут с 31 на 28 декабря.

ОбществоЭкономика и бизнесБурятия

12622

13.12.2020

Разработчик проекта утилизации фенольного озера в Улан-Удэ не смог внятно ответить на вопросы экологов

ЗАО «Безопасные технологии» прислали ответ на запрос экологов «Зелёного фонда». В письме содержатся только общие фразы, а в ответ на два вопроса вовсе проставлены прочерки.

ЭкологияБурятия

21063

13.12.2020

В Прибайкалье за сутки умерло 17 человек с COVID-19, выздоровели 244 человека

По состоянию на утро 13 декабря в Иркутской области зарегистрировано 35933 лабораторно подтверждённых случая коронавирусной инфекции. За последние сутки заболевание выявлено у 275 человек.

ЗдоровьеИркутск

5267

13.12.2020

В Томске скончался молодой нейрохирург Павел Глебов

10 декабря в Томске скончался нейрохирург областной клинической больницы Павел Геннадьевич Глебов. Ему был 41 год, 18 из которых он отдал медицине. О его смерти сообщили в официальном сообществе медучреждения 12 декабря: «Доктор, который вылечил многих.

It`s my life...Томск

7127

13.12.2020

Tele2 запускает тариф для любителей кино в Прибайкалье

Tele2 обновляет линейку тарифных планов и запускает для жителей Иркутской области новое предложение «Везде онлайн»: в тариф без дополнительных плат включен мультимедийный сервис Wink, который позволит смотреть более 20000 фильмов, сериалов и 100 телевизионных каналов.

Интернет и ИТИркутск

5727

13.12.2020

Смертность в Бурятии в ноябре выросла в полтора раза

Согласно ежемесячному отчёту службы ЗАГС Бурятии, в ноябре в республике умерло 1344 человека. В октябре было зарегистрировано 993 смертей, а в среднем с ноября 2019 по октябрь 2020 – по 885 смертей ежемесячно. Таким образом, смертность в ноябре составила 151,8% от среднегодового значения.

ОбществоБурятия

4819

13.12.2020

Норвежская компания купила у «Роснефти» активы в Восточной Сибири

Нефтегазовая компания из Норвегии Equinor купила у «Роснефти» 49% активов дочерней компании «Красгеонац». Сумма сделки составила $550 миллионов. При этом $325 миллионов норвежцы выплатили по соглашению от 1 января 2019 года о совместном проекте в Охотском море.

Экономика и бизнесМир Иркутск Красноярск

18112

13.12.2020

В Москве поймали мошенников, укравших миллион у Анатолия Быкова

В столице задержали подозреваемых в хищении средств со счетов клиентов банка. Среди пострадавших от их действий – красноярский политик и бизнесмен Анатолий Быков, который сейчас находится в СИЗО и подозревается в целом ряде заказных убийств.

КриминалКрасноярск Россия

5947

13.12.2020

В Бурятии за сутки прибавилось 226 пациентов с COVID-19, умерли пять человек

По состоянию на 8 утра 13 декабря в Бурятии зафиксировано 22256 случаев заражения коронавирусом. 12188 из них — в Улан-Удэ. За последние сутки количество заражённых выросло на 226 человек. У 179 пациентов заболевание выявили после жалоб на симптомы ОРВИ, остальные – контактные.

ЗдоровьеБурятия

5253

13.12.2020

РАН считает необоснованной инициативу переименования Северной Земли

Российская академия наук (РАН) считает инициативу возвращения имени Николая II архипелагу Северная Земля недостаточно исторически обоснованной. РАН адресовала письмо первому вице-спикеру Заксобрания Красноярского края Сергею Попову, – информирует ТАСС.

ИсторияПолитикаКрасноярск Россия

23219

13.12.2020

Предприятия металлургического сегмента En+ Group прошли сертификацию по стандартам ASI

En+ Group, ведущий вертикально интегрированный производитель алюминия и возобновляемой электроэнергии, объявляет о том, что пять ключевых алюминиевых заводов металлургического сегмента компании успешно прошли сертификацию по стандартам международной организации Aluminium Stewardship Initiative ...

Экономика и бизнесИркутск Красноярск Россия

17806

13.12.2020

Итальянцу, попросившему у Путина российское гражданство, вручили паспорт

Живущий восемь лет в Красноярске итальянец Валерио Дзанетти в День Конституции 12 декабря получил российский паспорт.

ОбществоПолитикаКрасноярск Россия

13464

13.12.2020

Второй и третий этапы строительства Тайшетской Анодной фабрики одобрены Главгосэкспертизой

Главгосэкспертиза выдала положительное заключение, изучив проектную документацию и результаты инженерных изысканий на второй и третий этапы строительства Тайшетской Анодной фабрики компании РУСАЛ.

Экономика и бизнесЭкологияИркутск Россия

22489

13.12.2020

Наталья Жавнова рассказала журналистам об уголовном деле в отношении неё

Экс-директор УК «ЖСК» Наталья Жавнова, возглавляющая сейчас УК «Покровские ворота», рассказала на брифинге, за что против нее возбудили уголовное дело о растрате. По ее словам, до восьми часов утра 7 декабря, когда у нее в квартире начался обыск, она находилась в полном неведении.

РасследованияЭкономика и бизнесЖКХКрасноярск

18509

13.12.2020

Скончался иркутский издатель Владимир Рожков

Утром 12 декабря стало известно о кончине известного иркутского издателя Рожкова Владимира Ильича. О его смерти в своем Фейсбуке сообщил главный редактор «Восточно-Сибирской правды» Александр Гимельштейн. Владимир Рожков родился в 1948 году, воспитывался в детском доме.

It`s my life...Иркутск

7353

13.12.2020

Бурятия-2020: народ нищает, вип-пенсионеры богатеют

Число граждан-банкротов в Бурятии растет день ото дня. Основной причиной, как полагают эксперты, является ухудшений материального положения жителей республики - но только не у так называемых вип-пенсионеров из числа бывших членов правительства и депутатов Народного Хурала.

Анна Гал

Экономика и бизнесОбществоБурятия Россия

22146

12.12.2020

Андрей Чернышев: С юбилеем, Братск!

Дорогие друзья! Родному Братску – 65! Несмотря на то, что здесь родились и получили путёвку в жизнь уже несколько поколений братчан, наш город по-прежнему молод душой, растёт и развивается. Братск – город легендарный, гордость Сибири.

ОбществоИркутск

4250

12.12.2020

Барыши для акционеров. Незыблемые приоритеты «Норникеля»

Очень много в последние полгода мусолили вопрос непомерно высоких дивидендных выплат в «Норникеле». Дивидендная политика стала неприлично выпячиваться на фоне многочисленных нарушений на производственных объектах «Норникеля», выявленных в ходе проверок надзорников.

Макс Веселов

Экономика и бизнесРоссия Красноярск

22920

12.12.2020

Умер Валентин Гафт

Утром 12 декабря в Москве на 86 году жизни скончался великий русский актёр театра и кино, лауреат премий Станиславского, «Хрустальная Турандот», «Фигаро», «Звезда театрала» и «Золотой орёл», кавалер ордена «За заслуги перед Отечеством» трёх степеней, народный артист РСФСР Валентин Гафт.

Филипп Марков

It`s my life...КультураРоссия

50113

12.12.2020

Усс поздравил жителей Хатанги с юбилеем. Они замерзают из-за проблем с отоплением

Жители посёлка Хатанга на Таймыре вынуждены обогревать квартиры электрическими приборами из-за проблем с отоплением. На этом фоне 11 декабря губернатор Александр Усс поздравил их с юбилеем образования округов, опубликовав песню «Хатанга» в соцсетях. О проблемах посёлка он не упомянул.

ПроисшествияЖКХКрасноярск

23329

12.12.2020

Минстрой РФ: в 2021 году жильё подешевеет только в Бурятии

Минстрой России предупредил о значительном повышении цен на жильё в 2021 году, сильнее всего цены подскочат в Москве и на Дальнем Востоке. Однако Бурятия стала единственным регионом, которому предсказали падение цен. Об этом 11 декабря сообщили «Известия», ссылаясь на проект приказа министерства.

Экономика и бизнесНедвижимостьБурятия

13575

12.12.2020

Томич хочет засудить Coca-Cola на 30 миллионов за «пропаганду Санта Клауса»

Маркетолог из Томска Денис Амосов намерен подать в суд на компанию Coca-Cola за то, что он «не испытывает чувства радости» от празднования Нового года. Мужчина уверен, что в этом виновата американская компания.

МаразмТомск

7319

12.12.2020

Ещё у 203 жителей Томской области нашли COVID-19, столько же выздоровело

За последние сутки COVID-19 выявили ещё у 203 человек в Томской области. Столько же человек выздоровело от коронавируса за сутки. Об этом 12 декабря сообщил оперштаб. С начала пандемии в регионе произошёл 20 851 случай заражения коронавирусом, выздоровело уже 16 109 человек.

ЗдоровьеТомск

4195

12.12.2020

В Красноярском крае уже более 40 000 заразившихся коронавирусом

По данным на 12 декабря, в Красноярском крае 40 246 случаев заражения COVID-19, суточный прирост — 336. За всё время от коронавируса вылечили 32 945 человек, в том числе 386 за последние сутки. Количество погибших достигло 1349, скончалось ещё 20 больных.

ЗдоровьеКрасноярск

5578

12.12.2020

Рабочие продолжают забастовку на месторождении «Роснефти» в Красноярском крае

Около 100 вахтовиков не получили зарплату за сентябрь-октябрь. Более 40 рабочих Тагульского месторождения начали забастовку. К 12 декабря часть из них уволилась, их вывезли с территории. Остальные продолжают бастовать — у них нет денег вернуться домой. Забастовку продолжают шесть человек.

Экономика и бизнесКрасноярск

11953

12.12.2020

«Власть её изнасиловала». В Иркутске возложили траурный венок из-за «смерти Конституции»

12 декабря в России празднуют День Конституции. В Иркутске в этот день возложили траурный венок для Конституции, «которую уничтожили в угоду интересов одного человека». Венок и плакат с надписью «Конституция РФ. Помним. Скорбим» установили на сквере Кирова.

ПолитикаИркутск

17789

12.12.2020

В красноярском Парке Юннатов вырубили взрослые берёзы

Жители домов, прилегающих к Парку Юннатов в Красноярске, выразили в соцсетях возмущение тем, что в парке срубили несколько огромных берёз. Кадры появились в пабликах Красноярска 10 декабря. Люди выразили опасение, что к лету парк превратится в поле. Фото: orbitakrsk/vk.

ЭкологияЖКХКрасноярск

17395

12.12.2020

Власти Томской области хотят купить участок для постройки студенческого кампуса за 600 миллионов

В проект бюджета Томской области на 2021 год заложено 600 миллионов рублей на приобретение земельного участка для строительства на Левобережье студенческого кампуса. Участок будут приобретать у ГК «Карьероуправление», сообщил 11 декабря спикер думы Томска Чингис Акатаев.

Экономика и бизнесТомск

14136

12.12.2020

В Улькане 34-летняя женщина погибла, спасая на пожаре ребёнка

11 декабря в двухэтажном деревянном доме в посёлке Улькан Казачинско-Ленского района произошёл пожар. В огне погибла 34-летняя женщина. Ей удалось спасти своего 10-летнего ребёнка. Об этом сообщает пресс-служба ГУ МЧС России по Иркутской области. Пожар произошёл ночью.

ПроисшествияИркутск

4946

12.12.2020

Более 1200 жителей Иркутской области скончались после заражения COVID-19

По данным на 12 декабря, в Иркутской области 35 658 случаев заражения коронавирусом, суточный прирост – 279. За всё время выздоровело 31 174 человека, с 11 декабря вылечили ещё 256 пациентов. Количество погибших достигло 1213: 1053 умерли от COVID-19 (+16), ещё 160 — от иных заболеваний.

ЗдоровьеИркутск

4692

12.12.2020

В Братске прошёл ежегодный отчёт мэра

11 декабря мэр Братска Сергей Серебренников выступил с ежегодным отчётом перед депутатами городской думы и общественниками. Отчёт проводился перед юбилеем Братска – 12 декабря город отмечает 65-летие. Сергей Серебренников заявил, что 2020 год стал периодом серьёзных испытаний.

ОбществоСобытияИркутск

6179

12.12.2020

Ещё одну подпольную вечеринку обнаружили в Улан-Удэ

Полиция во время ночного рейда в ночь на 12 декабря обнаружила подпольную вечеринку в заведении на улице Тобольской в Улан-Удэ. Об этом сообщила пресс-служба республиканского ГУ МВД. В рейде также принимал участие уполномоченный по правам предпринимателей в Бурятии.

ЗдоровьеБурятия

4746

12.12.2020

За превышение полномочий будут судить экс-начальника томского управления по ГО и ЧС

В Кировский районный суд Томска в ближайшее время направят уголовное дело по обвинению в превышении полномочий в отношении бывшего начальника управления по делам гражданской обороны, чрезвычайным ситуациям и пожарной безопасности (ГО, ЧС и ПБ) Томской области.

ПроисшествияТомск

3699

12.12.2020

Золотодобытчика «Сисим» обязали выплатить ₽180 миллионов за прорыв дамбы на Сейбе

11 декабря Красноярский краевой суд удовлетворил требования природоохранного прокурора края о взыскании с золотодобывающей компании «Сисим» 180 миллионов рублей в качестве компенсации ущерба, нанесённого реке Сейба прорывом дамбы. Об этом сообщает Генеральная прокуратура РФ.

РасследованияЭкономика и бизнесЭкологияКрасноярск

18212

12.12.2020

Более 22 тысяч жителей Бурятии заразилось COVID-19

В Бурятии, по данным на утро 12 декабря, зарегистрировано 22030 случаев заражения коронавирусом. За сутки выявили 224 новых случая, сообщает республиканский Роспотребнадзор. 55% всех случаев (12070 человек) – жители Улан-Удэ.

ПроисшествияЗдоровьеБурятия

4419

12.12.2020

Дорогу Красноярск – Элита планируют сделать четырёхполосной

Дорогу на Элиту, ведущую из Красноярска к дачам западного направления, в 2021 году планируют расширить до четырех полос. Планируется также разделить потоки транспорта барьерным ограждением, провести освещение и оборудовать пешеходные тротуары.

ТранспортКрасноярск

4464

12.12.2020

Рейсовый автобус сгорел на трассе в Томской области

На 61 километре автодороги Томск – Каргала – Колпашево вечером 11 декабря загорелся шедший в Томск пассажирский автобус. Внутри находились 14 пассажиров, они и водитель покинули загоревшийся автобус, пострадавших нет. Салон автобуса полностью выгорел. Фото: vk.com/public_tomsk_police.

ПроисшествияТранспортТомск

4737

12.12.2020

Перед судом предстанет бывший начальник УКСа правительства Бурятии

Прокуратура Бурятии направила в суд уголовное дело в отношении обвиняемого в подлоге бывшего должностного лица правительства республики. Уголовное дело по части 1 статьи 292 Уголовного кодекса РФ было возбуждено в отношении бывшего руководителя Управления капстроительства (УКС) Виктора Гуслякова.

РасследованияБурятия

13778

12.12.2020

Уголовное дело возбуждено по факту отравления 44 человек в детском саду Ербогачёна

Киренский межрайонный следственный отдел возбудил уголовное дело по факту отравления воспитанников и персонала детского сада в селе Ербогачён Катангского района.

РасследованияЗдоровьеИркутск

13691

12.12.2020

Работники МУП в Томской области жалуются на невыплату зарплаты

Следственные органы проводят проверку по факту невыплаты заработной платы работникам МУП «Чаинское производственное объединение жилищно-коммунального хозяйства» в селе Подгорное Томской области. По вопросам невыплаты зарплаты обращаться в следственный отдел в селе Молчаново, ул.

РасследованияОбществоТомск

13766

12.12.2020

Прощание с эпохой. Ушёл из жизни Николай Иванов

11 декабря в Санкт-Петербурге на 78 году жизни скончался выдающийся российский актёр театра и кино, лауреат Государственной премии СССР и премии «Золотой софит», народный артист России Николай Иванов. О смерти своей легенды сообщил Театр юных зрителей имени А. А.

Филипп Марков

It`s my life...КультураРоссия

67601

12.12.2020

В Байкал попала часть неочищенных отходов БЦБК

Инспекторы Росприроднадзора зафиксировали превышение предельно допустимых концентраций вредных веществ в сточных водах в 400 раз. Такая вода попадала прямо в Байкал.

Миша Ковальски

ЭкологияБайкал Иркутск

27786

12.12.2020

Тот самый Брыль. К юбилею Михаила Светина

Он был очень смешной. Вряд ли в истории отечественного искусства был ещё хотя бы один актёр с врождённой комической органикой такого уровня. Разумеется, этим только и успевали пользоваться режиссёры.

Филипп Марков

КультураСобытияРоссия

57114

11.12.2020

Продажа ТГК-14: РЖД снова пытается избавиться от токсичного актива

Дочерняя компания РЖД «Энергопромсбыт» выставила на продажу акции ТГК-14. Торги состоятся 28 декабря. Разбираемся, почему компанию уже несколько лет безуспешно пытаются продать и кто может быть заинтересован в покупке. Стартовая цена 39,8% акций ТГК-14 составляет 1,676 миллиарда рублей.

Александр Макаров

Экономика и бизнесБурятия Забайкалье

29185

11.12.2020

Двойника «КрасКома» оштрафуют за использование запатентованного названия

УФАС по Красноярскому краю признало компанию «КрасКом+» виновной в нарушении антимонопольного законодательства. Она незаконно использовала название «Красноярского жилищно-коммунального комплекса», запатентованное в 2019 году. Об этом 11 декабря сообщает газета «Городские новости».

Экономика и бизнесЖКХЭкологияКрасноярск

16144

11.12.2020

Путина попросят возобновить поиски пропавшего пять месяцев назад Ан-2 из Бурятии

Ан-2 вылетел из села Кырен ещё 19 июля, но вскоре перестал выходить на связь. С тех пор о нём ничего неизвестно. Спасатели несколько раз прекращали и возобновляли поиски, но самолёт и людей так и не нашли. 11 декабря родные членов экипажа решили обратиться за помощью к Владимиру Путину.

ПроисшествияБурятия

6452

11.12.2020

В Томской области стартовала массовая вакцинация медработников от COVID-19

11 декабря в Томской области стартовала первая волна массовой вакцинации врачей от коронавируса. Учителей начнут прививать только в следующем месяце, когда прибудет новая партия вакцины. Об этом сообщает РИА Томск.

ЗдоровьеОбществоТомск

5757

11.12.2020

Чертёж Ньютона, генерал и бывшая. Итоги «Большой книги‑2020»

Книги, на которые необходимо обратить внимание любителям современной отечественной прозы. В Москве состоялась очередная церемония награждения лауреатов Национальной литературной премии «Большая книга», учреждённой Центром поддержки отечественной словесности в 2005 году.

Филипп Марков

КультураРоссия

49331

11.12.2020

ФСБ нашла чиновника-взяточника в администрации Казачинско-Ленского района

В Казачинско-Ленском районе по материалам ФСБ задержали начальника отдела строительства, транспорта и ЖКХ местной администрации. Его обвиняют в получении взятки в крупном размере. Об этом 11 декабря сообщили следователи. В 2018 году мужчина исполнял обязанности заведующего отделом.

КриминалРасследованияИркутск

14310

11.12.2020

Вылетевший из Иркутска самолет S7 вернулся в аэропорт из-за сигнала о неполадках

Вылетевший в Новосибирск самолет авиакомпании S7 вернулся в аэропорт Иркутска из-за сигнала о неполадках. Об этом 11 декабря сообщает ТАСС, ссылаясь на Новосибирскую транспортную прокуратуру.

ПроисшествияТранспортИркутск

5703

11.12.2020

Незаконная свалка отходов загрязнила почву Кежемского района на ₽2 миллиона

В Кежемском районе Красноярского края нашли незаконную свалку отходов местного лесоперерабатывающего комплекса. Ущерб экологии превысил два миллиона рублей. Свалку нашли ещё в 2019 году.

ЭкологияКрасноярск

14154

11.12.2020

31 декабря общественный транспорт Улан-Удэ будет работать в обычном режиме

Общественный транспорт в Улан-Удэ будет работать в обычном режиме 31 декабря. Автобусы уйдут с маршрутов в 23 часа, а трамваи – в 22 часа. Об этом 11 декабря сообщает газета «Номер один» со ссылкой на мэрию.

ТранспортОбществоБурятия

5467

11.12.2020

Минприроды решило угробить Байкал. Новый год с новыми законами

Если 2021 год и окажется легче, чем 2020, то Байкала это не коснётся. Министерство природных ресурсов и экологии РФ подготовило и направило на подпись перечень изменений в закон об охране Байкала.

Миша Ковальски

ЭкологияРоссия

22761

11.12.2020

1329 больных COVID-19 умерло в Красноярском крае. Росстат считает, что смертей больше

По данным на 11 декабря, коронавирус выявили у 39 910 жителей Красноярского края. За последние сутки COVID-19 заразились ещё 337 человек, темп прироста — 0,9%. С начала пандемии выздоровело 32 559 человек, с 10 декабря из больниц выписали ещё 390 пациентов.

ЗдоровьеКрасноярск

5102

11.12.2020

В Томской области заявили о ещё 5 погибших после обвинений в искажении статистики по COVID-19

По данным на 11 декабря, в Томской области 20 648 случаев заражения коронавирусом, заболело ещё 199 человек. За всё время выздоровело 15 908 человек, в том числе 203 за последние сутки. Количество погибших достигло 190. В области сообщили ещё о пяти смертях пациентов с COVID-19.

ЗдоровьеТомск

5530

11.12.2020

«Яндекс» запустит в Иркутской области единственное в России такси для врачей

Иркутская область станет пилотной территорией, где оптимизируют работу «Яндекс.Такси» для того, чтобы возить медиков к пациентам. Об этом 10 декабря рассказали в мэрии Иркутска. Компания обновит приложение «Яндекс.

ЗдоровьеИнтернет и ИТИркутск

6317

11.12.2020

Иркутский фонд капремонта возглавил исполняющий обязанности директора Вадим Лысов

В Прибайкалье подвели итоги конкурса на должность руководителя фонда капитального ремонта. Конкурс объявили 28 июля. До 1 сентября заявки на участие подали восемь претендентов. Одного из них не допустили ко второму этапу, поскольку он не обладал необходимой квалификацией.

ОфициозИркутск

9057

11.12.2020

Дело рук Жвачкина? Томского журналиста преследуют за весенние фото из морга

Станислав Микрюков – томский журналист и правозащитник. Весной этого года он опубликовал статью в газете "Московский комсомолец в Томске", где говорилось о закрытии на карантин клиники Сибирского государственного медуниверситета (СибГМУ) из-за возможной вспышки COVID-19.

Андрей Игнатьев

КриминалЗдоровьеТомск

8809

11.12.2020

Ходорковский: Сечин дурит Путина

Михаил Ходорковский, вечный идейный оппонент путинской власти, уличил главу «Роснефти» Игоря Сечина в том, что тот дурит главу государства, выдавая желаемое за действительное ради получения господдержки.

Макс Веселов

Экономика и бизнесРоссия Красноярск

31380

11.12.2020

Мнимый спикер: как Стекачев наврал с три короба

Спикер Дума Иркутска Евгений Стекачев дал итоговую пресс-конференцию. БАБР не мог пройти мимо некоторых высказываний политика.

Василий Сибирцев

ПолитикаЭкономика и бизнесИркутск

35103

11.12.2020

УФАС признало незаконным контракт о реконструкции мемориала в Пивоварихе

8 декабря Иркутское УФАС рассмотрело дело о нарушении закона о конкуренции, касающееся договора реконструкции мемориала «Место захоронения жертв массовых политических репрессий 1937-1940 годов» в Пивоварихе.

РасследованияЭкономика и бизнесИркутск

15531

11.12.2020

Росстат: В Томской области и Красноярском крае продолжают занижать статистику по смертности от COVID-19

Согласно отчёту Росстата, в октябре в России умерло 205,5 тысячи человек. 11630 точно погибли от коронавируса, ещё у 2266 анализы нужно перепроверить. У 1711 человек коронавирус повлиял на развитие хронического заболевания, которое привело к смерти.

ЗдоровьеТомск Красноярск Россия

7379

11.12.2020

Заканчиваются теплые дни в Иркутской области

Бабр пообщался со специалистом Иркутского гидрометцентра и узнал, какая погода в декабре ожидается в Прибайкалье. Фото с photosight.ru Подведение итогов первой декады декабря показало, что по всей территории Иркутской области погода оказалась теплой.

Есения Линней

ГеоИркутск

10041

11.12.2020

Заскучавший депутат: Николай Олюнин встал на доску

Красноярский депутат Горсовета, сноубордист и серебряный призер Олимпиады Сочи-2014 Николай Олюнин возобновил спортивную карьеру. Федерация сноуборда России передает, что в Кемеровской области на горнолыжном курорте «Горная Саланга» завершились I и II этапы Кубка России по сноуборд-кроссу.

Александр Тубин

ПолитикаКрасноярск

17122

11.12.2020

Дочернюю компанию «Аэрофлота» отдадут Дальнему Востоку за один рубль

На Дальнем Востоке до конца 2020 года появится единая авиакомпания на базе «Авроры». Аэрофлот отдаст свою дочернюю компанию за символическую цену.

Экономика и бизнесТранспортРоссия Бурятия Забайкалье

16970

11.12.2020

В Прибайкалье за сутки умерло 17 человек с COVID-19, выздоровели 244 человек

По состоянию на утро 11 декабря в Иркутской области зарегистрировано 35379 лабораторно подтверждённых случаев коронавирусной инфекции. За последние сутки заболевание выявлено у 283 человек. 3694 человека проходят лечение в стационарах, ещё 5469 лечатся амбулаторно.

ЗдоровьеИркутск

5711

11.12.2020

В Бурятии осудили полицейского, устроившего пьяное ДТП с пятью погибшими

В Бурятии суд отправил бывшего полицейского в колонию на восемь лет. 37-летнего мужчину признали виновным в пьяной езде, которая привела к гибели двух и более людей. В декабре 2018 года на 53-ем километре дороги Култук – Монды столкнулись Toyota Premio и Toyota Camry.

ПроисшествияБурятия

6133

11.12.2020

Заправки ННК работают в штатном режиме, несмотря на землетрясения

Несмотря на произошедшие в Бурятии 10 декабря землетрясения, все заправочные станции Независимой нефтегазовой компании (ННК) в республике работают в обычном режиме и полностью обеспечены топливом.

Станислав Цырь

ТранспортЭкономика и бизнесПроисшествияБурятия

29603

11.12.2020

В двух районах Прибайкалья произошли аварийные отключения воды и электричества

Вечером 10 декабря в двух районах Иркутской области произошли аварийные отключения коммуникаций. В 20:09 в Нижнеудинске загорелась котельная. 480 человек в трёх многоквартирных домах остались без отопления. Также под отключение попали два магазина и одно административно-бытовое здание.

ПроисшествияЖКХИркутск

14979

11.12.2020

В Бурятии за сутки прибавилось 228 пациентов с COVID-19, умер один человек

По состоянию на 8 утра 11 декабря в Бурятии зафиксировано 21806 случаев заражения коронавирусом. 11987 из них — в Улан-Удэ. За последние сутки количество заражённых выросло на 228 человек. У 189 пациентов заболевание выявили после жалоб на симптомы ОРВИ, остальные – контактные.

ЗдоровьеБурятия

5208

11.12.2020

Томская область получит 450 миллионов на международные исследовательские работы

Пять томских проектов стали победителями конкурса на предоставление мегагрантов для поддержки научных исследований под руководством ученых с мировым именем.

ОбразованиеНаука и технологииТомск Россия

7445

11.12.2020

Суд отказал предпринимателю-рыбаку в участии в суде против «Норникеля»

Суд отказал в удовлетворении жалобы норильскому предпринимателю Виталию Кондратенко, который хотел участвовать в споре между Росприроднадзором и «Норильско-Таймырской энергетической компанией (НТЭК)». Кондратенко оказывает услуги в сфере охоты и рыболовства.

РасследованияЭкологияЭкономика и бизнесКрасноярск

14995

11.12.2020

Депутаты Госдумы собираются расширить полномочия полиции

Депутаты Госдумы в первом чтении приняли поправки в Федеральный закон «О полиции», расширяющие полномочия правоохранительных органов. Законопроект о расширении полномочий полицейских был внесен в Госдуму в мае этого года.

ОфициозРоссия

5962

11.12.2020

В Томске начинают строить десятиэтажку под расселение аварийного жилья

В Томске в переулке Целинном начались подготовительные работы по строительству десятиэтажного дома на 200 квартир, в который переедут жители расселяемых аварийных домов.

НедвижимостьЭкономика и бизнесОбществоТомск

15213

11.12.2020

Суд может продлить работу красноярского полигона «Шинник»

«Экоресурс», бывший арендатор мусорного полигона «Шинник», подал в арбитражный суд иск к администрации Красноярска, требуя признать незаконным отказ заключить договор аренды земельного участка, где расположена свалка.

ЭкологияЭкономика и бизнесКрасноярск

13459

11.12.2020

Областной суд постановил снести гостиницу «Байкал Хан» в Листвянке

Иркутский областной суд оставил без изменения решение Иркутского районного суда о сносе гостиничного комплекса «Байкал Хан» в Листвянке. Снести самовольно построенную гостиницу суд постановил в сентябре.

ЭкологияЭкономика и бизнесИркутск Байкал

17401

11.12.2020

Пытки, угольная пыль и восхваление начальства. Как устроена жизнь в СИЗО №1: рассказывает Влад Марусов

Влад Марусов полтора года провел в иркутском СИЗО № 1 по обвинению в убийстве любовницы оренбургского миллионера и владельца компании «Руссоль» Сергея Черного. В октябре 2020-го парня оправдали — и теперь он рассказал Бабру, что на самом деле происходит в «самом страшном СИЗО в России».

Екатерина Степанидзе

ОбществоРасследованияСкандалыИркутск Россия

116434

11.12.2020

Задержание зампреда Мишенина: захват Улан-Удэнского авиазавода?

Обыски у зампреда правительства Бурятии Алексея Мишенина и его последующий арест могут быть связаны с атакой на крупнейший актив “Ростеха” в Бурятии - Улан-Удэнский авиазавод. Директор предприятия Леонид Белых и его сын, возможно, станут соучастниками вменяемого чиновнику преступления.

Андрей Светлов

ПолитикаРасследованияСкандалыБурятия

43128

10.12.2020

Депутат Будуев удалил оскорбительное стихотворение про стилиста Зверева. Но интернет помнит всё

Депутат Государственной думы седьмого созыва Николай Будуев удалил из своего телеграм-канала пасквиль про потенциального конкурента на выборах, стилиста Сергея Зверева. Как оказалось, народный избранник не писал скандальное стихотворение, а украл его у местного блогера.

Андрей Светлов

ПолитикаКультураМаразмБурятия Россия

43608

10.12.2020

Вечером 10 декабря жители Иркутской области ощутили новое землетрясение

Новое землетрясение почувствовали жители Иркутской области вечером 10 декабря. В 22:20 ощущались слабые толчки в городах Иркутске, Шелехове, Ангарске, Усолье-Сибирском и других населенных пунктах Прибайкалья.

ГеоПроисшествияИркутск

25177

10.12.2020

Александр Усс под прицелом: рейтинги растут или падают?

Мнение политических аналитиков разделилось: одни утверждают, что стабильности губернатора Красноярского края Александру Уссу ничего не угрожает, другие пророчат скорую отставку. Александр Викторович Усс – довольно неоднозначная политическая фигура в политике Красноярского края.

Richie Monroe

ПолитикаРасследованияКрасноярск

25822

10.12.2020

Заряжайте Аврору, или Пир Навки во время чумы

В стране бушует пандемия коронавирусной инфекции, частные театры и фрилансеры от культуры так и не дождались помощи от государства, новогодние представления в Санкт‑Петербурге отменены, а в Москве ограничены 25‑процентной заполняемостью зала.

Филипп Марков

КультураСпортСкандалыРоссия

49334

10.12.2020

Круговорот отходов: Бурятию ждёт мусорный коллапс

Для жителей Бурятии есть две новости — хорошая и плохая. Начнем с хорошей: в ноябре стало известно, что федеральный центр выделит почти 433 миллиона рублей на ликвидацию крупной незаконной свалки в Усть-Баргузине.

Александр Макаров

ЭкологияОбществоБурятия

30621

10.12.2020

Полицейскому в Томской области заплатили за отказ в возбуждении уголовного дела

На скамье подсудимых в Томской области вскоре окажется бывший сотрудник межмуниципального отдела МВД России «Парабельское», его обвиняют в получении взятки. Об этом 10 декабря сообщила пресс-служба следкома региона.

КриминалТомск

5403

10.12.2020

Красноярский край принял бюджет на 2021 год с дефицитом более ₽17 миллиардов

Заксобрание Красноярского края 10 декабря приняло закон о бюджете на 2021 год. Планируется, что доходы за год составят 269,7 миллиарда рублей, расходы — 286,9 миллиарда. Таким образом, дефицит бюджета составит 17,18 миллиарда рублей.

Экономика и бизнесКрасноярск

15351

10.12.2020

Томск завалит снегом

Во второй декаде декабря на Томск обрушатся снегопады, при этом в городе не будет морозов. Такой прогноз дали синоптики 10 декабря. Днём температура воздуха будет колебаться между -11 и -20°C, что соответствует норме. Ночью может похолодать до -26°C.

ГеоТомск

5604

10.12.2020

В Прибайкалье запретили массовые детские мероприятия во время зимних каникул

В Иркутской области запретили проводить массовые детские мероприятия во время новогодних каникул. Об этом на минувшем оперштабе по коронавирусу сообщил председатель правительства региона Константин Зайцев. Напомним, что зимние каникулы в Прибайкалье продлятся с 26 декабря по 10 января.

ЗдоровьеОбществоОбразованиеИркутск

6080

10.12.2020

Самую крупную в стране незаконную рубку в 2020 году выявили в Тайшетском районе

Самую крупную по площади незаконную рубка леса России в 2020 году выявили с помощью космических снимков. Её нашли в Тайшетском районе. Об этом 10 декабря рассказали в Прибайкальском филиале Рослесинфорга в Иркутской области.

КриминалЭкологияИркутск

16236

10.12.2020

СК перестал расследовать смерть вахтовика на карантине в обсерваторе Томска

Следователи 10 декабря прекратили уголовное дело о гибели вахтовика, вернувшегося в Томск с месторождения «Газпрома» в Якутии. Мужчину поместили на карантин в обсерватор, где ему стало плохо, он скончался от инфаркта.

ЗдоровьеРасследованияТомск

18589

10.12.2020

31 декабря в Красноярском крае не захотели делать выходным

Власти Красноярского края решили не делать 31 декабря этого года выходным днем. Об этом 10 декабря сообщила пресс-служба губернатора и правительства региона. Праздничные и выходные дни закреплены в Трудовом кодексе РФ, а менять его вправе лишь Федеральное собрание.

ОбществоЭкономика и бизнесКрасноярск

14477

10.12.2020

Социальная нагрузка: Минлесхоз обяжут заниматься добровольцами

Депутаты Законодательного Собрания Красноярского края приняли в первом чтении проект закона, согласно которому за министерством лесного хозяйства закрепляется полномочие по привлечению добровольных пожарных для участия в выполнении работ по тушению лесных пожаров.

Александр Тубин

ЭкологияКрасноярск

19730

10.12.2020

Гибрид дрона и мотылька создали инженеры

Специалисты Вашингтонского университета создали биогибрид дрона и мотылька. Устройство под названием Smellicopter (от английского smell – «запах» и copter – «вертолет») способно улавливать запахи быстрее, чем другие специализированные датчики. Фото с eurekalert.

Есения Линней

Наука и технологииМир

8475

10.12.2020

Два фонда в спайке: как решаются проблемы дольщиков

Федеральный Фонд защиты прав дольщиков под лозунгом «честный рынок долевого строительства» принимает решения о достройке долгостроев — в том числе в Красноярском крае.

Макс Веселов

НедвижимостьКрасноярск Россия

10104

10.12.2020

Жители Прибайкалья засняли момент землетрясения и его последствия. Подборка видео

Жители Иркутской области успели заснять момент ночного землетрясения на мобильные телефоны и камеры видеонаблюдения. Очевидцы испугались сильной тряски и звуков от землетрясения, на некоторых видео отчётливо слышен страшный шум.

ПроисшествияГеоИркутск

15996

10.12.2020

Еще 195 человек в Томской области заразились коронавирусом

По данным на 10 декабря, еще 195 человек в Томской области заболели COVID-19. Также за сутки 227 пациентов выздоровели. Летальных исходов зарегистрировано не было. Об этом сообщает региональный оперштаб по коронавирусу.

ЗдоровьеОбществоТомск

5071

10.12.2020

190 лет Эмили Дикинсон – поэтессе, прославившейся посмертно

10 декабря 1830 года на свет появилась, пожалуй, самая загадочная американская поэтесса Эмили Дикинсон. Практически вся её лирика была опубликована после смерти – это около двух тысяч произведений.

Андрей Игнатьев

КультураКак по-писаномуМир

52244

10.12.2020

В Красноярском крае 6091 больной коронавирусом

По данным на 10 декабря, в Красноярском крае 39 573 случая заражения коронавирусом. Суточный прирост — 336, темп прироста — 0,9%. За всё время выздоровело 32 169 человек, в том числе 387 за последние сутки. Количество погибших возросло до 1313, скончалось ещё 19 заражённых COVID-19.

ЗдоровьеКрасноярск

5427

10.12.2020

Андрей Федотов снова занял пост директора Лимнологического института СО РАН

Доктор геолого-минералогических наук Андрей Федотов переизбирался на пост директора Лимнологического института Сибирского отделения РАН (ЛИН СО РАН). Об этом 10 декабря сообщили на сайте института.

Наука и технологииОфициозИркутск

8948

10.12.2020

Бывший начальник томского УФСИН обирал подчинённых на новой работе

9 декабря СК Нижегородской области задержал бывшего руководителя регионального ГУФСИН Николая Теущакова. С 2006 по 2015 годы он возглавлял УФСИН Томской области. В июле 2020 года Теущаков потребовал от своих подчинённых «откат» за полученную ими премию.

РасследованияТомск

17246

10.12.2020

В Бурятии на 6,4% снизились объёмы золотодобычи

С января по октябрь 2020 года в Бурятии добыли 41,7 тонны золота на коренных месторождениях и в артелях. Это на 6,4% меньше, чем в аналогичном периоде прошлого года. 2,46 тонны извлекли из золоторудных месторождений. В прошлом году коренного золота было добыто больше на 1%.

Экономика и бизнесБурятия

14881

10.12.2020

Под бывшей нефтебазой в Красноярске посчитали подземные скопления нефтепродуктов

Замминистра экологии Красноярского края Илья Карчушкин сообщил, что объём подземных скоплений нефтепродуктов под бывшей нефтебазой оценивается от 950 до 1870 кубометров. Исследования выявили две линзы. Объём одной из них оценивают от 650 до 1220 кубометров.

ЭкологияЭкономика и бизнесКрасноярск

21178

10.12.2020

Фееричная коммунальная афера Натальи Жавновой

В коммунальной жизни Красноярска — внушительный скандал. В фокусе силовиков — крупнейшая управляющая компания Красноярска, на обслуживании которой находятся более двух тысяч домов, и баснословные для сферы ЖКХ суммы.

Макс Веселов

ЖКХРасследованияКрасноярск

35334

10.12.2020

В Иркутске после землетрясения появились трещины в 18 школах

18 школ, несколько детсадов и учреждений спорта и культуры пострадали от утреннего землетрясения в Иркутске. Специалисты МКУ «Управление капитального строительства Иркутска» осматривают дома и социальные объекты. Пока повреждений, представляющих серьёзную угрозу, не выявлено.

ПроисшествияИркутск

7601

10.12.2020

«Ростех» сосет. Из бюджета и медицины

Ушлые лоббисты «Ростеха» нашил еще один способ эффективно заработать на пандемии коронавируса. В 2020 году «Ростех» трижды присасывался к теме борьбы с вирусом. Весной, в разгар первой волны, в стране едва не был учрежден «федеральный оператор-координатор» для снабжения регионов СИЗами.

Антoн Херсонцев

Экономика и бизнесЗдоровьеРоссия

28519

10.12.2020

В Бурятии ресторанам разрешили закрываться на час позже

8 декабря глава Бурятии Алексей Цыденов внёс очередные изменения в указ о защите от коронавируса. С 20 декабря по 10 января заведениям общепита разрешили работать до 23:00 – на час дольше, чем сейчас.

Экономика и бизнесЗдоровьеБурятия

14879

10.12.2020

В Прибайкалье за сутки умерло 22 человека с COVID-19, выздоровел 231 человек

По состоянию на утро 10 декабря в Иркутской области зарегистрировано 35096 лабораторно подтверждённых случаев коронавирусной инфекции. За последние сутки заболевание выявлено у 281 человека. 3698 человек проходят лечение в стационарах, ещё 5443 лечатся амбулаторно.

ЗдоровьеИркутск

5023

10.12.2020

Силовики пришли с обысками в мэрию Красноярска

Как сообщает 10 декабря депутат заксобрания Красноярского края Елена Пензина, силовики пришли с обысками в мэрию Красноярска. Оперативные мероприятия проводятся в ДМИиЗО, в департаменте градостроительства и в управлении архитектуры.

РасследованияКрасноярск

17469

10.12.2020

Справедливости ради? Мужчине грозит уголовка за спил сосны в Прибайкальском нацпарке

7 декабря 2020 года «Заповедное Прибайкалье» опубликовало новость, которая вызвала негодование и чувство несправедливости у многих пользователей социальных сетей.

Миша Ковальски

ЭкологияКриминалИркутск Байкал

31184

10.12.2020

Проект томского международного студгородка – очередной отмыв денег?

9 декабря законодательная дума Томской области провела публичные слушания по проекту регионального бюджета на 2021 год. Обсуждались разные вопросы. Прежде всего люди настаивали на максимальном финансировании дорожного строительства, бизнеса и здравоохранения. Говорили также о газификации посёлков.

Андрей Игнатьев

ОбразованиеЭкономика и бизнесРасследованияТомск

29872

10.12.2020

Учёные нашли в мозге нейроны, которые «включают» бесплодие при стрессе

Учёные из Центра нейроэндокринологии Университета Отаго в Новой Зеландии нашли недостающее звено механизма, которое подавляет репродуктивные функции в стрессовых условиях. О том, что стресс влияет на репродуктивные функции человека, ученым давно известно.

Даниил Ершов

ЗдоровьеНаука и технологииМир

9926

10.12.2020

Запрос на мифологизацию истории

Когда у нас в очередной раз устраивают баталии по поводу фальсификации или мифологизации истории, забывают один интересный момент. Этим делом занимаются вовсе не только всякие злоумышленники из-за рубежа. В нашем собственном обществе есть запрос на тотальную мифологизацию истории.

Дмитрий Верхотуров

ИсторияРасследованияРоссия

40247

10.12.2020

В Красноярском крае начали забастовку сотрудники красноярского месторождения «Роснефти»

На Тагульском нефтяном месторождении в Красноярском крае, которое разрабатывает «дочка» «Роснефти» - «Ванкорнефть» (её возглавляет Игорь Сечин) - началась забастовка работников. Об этом 10 декабря сообщила «Тайга. Инфо».

ПроисшествияЭкономика и бизнесКрасноярск

14810

10.12.2020

Строительная компания «Сибиряк» в Красноярском крае незаконно разрабатывала карьер

ООО УСК «Сибиряк», ведущее строительство транспортной развязки «Переезд через Северное шоссе в жилом районе «Солонцы-2» в Центральном районе Красноярска, уличили в самовольной разработке карьера и добыче грунта без разрешения.

ПроисшествияЭкологияКрасноярск

14838

10.12.2020

ТГК-14 заставили сделать перерасчёт домам в Улан-Удэ, оставшимся без тепла

В сентябре 2020 года 22 дома частного сектора в Железнодорожном районе Улан-Удэ остались без отопления на трое суток. По данному факту прокуратура провела проверку и заставила теплоснабщающую организацию сделать гражданам перерасчёт. Об этом 10 декабря сообщили в пресс-службе надзорного ведомства.

ПроисшествияЖКХБурятия

12096

10.12.2020

Эксперты заявили о редком «горизонтальном» землетрясении на Байкале 10 декабря

Утреннее землетрясение 10 декабря на Байкале, которое подняло почти весь Иркутск, носило довольно редкий – «горизонтальный» - характер. Об этом со ссылкой на директора Института земной коры СО РАН Валерия Ружича сообщила «КП-Иркутск».

ПроисшествияИркутск

14672

10.12.2020

Инсайд. Молоко "Млада": жуткая смесь

Сергей Викторович Токарев - владелец ушедшей в мир иной Арты, большой мастер масштабных проектов. Продукцию он выпускает прежнюю, но под иной маркой. Молоко «Млада», я бы не стала пить сама и никогда не напоила им своих детей.

Елена Пензина

ЗдоровьеРасследованияКрасноярск

31989

10.12.2020

В Бурятии за сутки от COVID-19 выздоровело почти 400 человек

По данным на утро 10 декабря, в Бурятии зарегистрировано 21578 случаев заражения коронавирусом. суточный прирост составил 227 новых случаев, сообщает республиканский Роспотребнадзор. 55% инфицирования приходится на жителей Улан-Удэ (11884 человека).

ЗдоровьеПроисшествияБурятия

4389

10.12.2020

Госдума сделала Путина пожизненно неприкосновенным

Президент во время службы и после отставки фактически может нарушать любой закон и не понесет за это ответственности. Депутаты Госдумы приняли в третьем и заключительном чтении закон о гарантиях неприкосновенности бывших президентов РФ.

ОфициозПолитикаРоссия

26955

10.12.2020

Школьника, который хотел взорвать школу, отправили в психдиспансер

15-летнего школьника обвиняют по пяти террористическим статьям. Подростка из Минусинского района переводят из СИЗО в психоневрологический диспансер. О лечении ходатайствовал следователь, передает Проспект Мира. • По версии следствия, весной 2020 года подросток решил устроить теракт в школе.

ТерроризмКриминалЗдоровьеКрасноярск

11735

10.12.2020

В Роспотребнадзоре рассказали об очагах заражения COVID-19

Половина всех заражений коронавирусом берет свое начало в домашних очагах. Глава управления Роспотребнадзора по Иркутской области Дмитрий Савиных на депутатском штабе заксобрания рассказал об очагах заражения коронавирусом в регионе.

ЗдоровьеОбществоИркутск

5079

10.12.2020

Зампред правительства Прибайкалья заявила об «осторожной стабилизации эпидпроцессов» в области

Валентина Вобликова сказала, что новогодние праздники прояснят ситуацию. Зампред правительства Иркутской области Валентина Вобликова во время прямого эфира 9 декабря заявила, что ситуация с COVID-19 стабилизируется. «Сегодня мы можем говорить об осторожной стабилизации эпидпроцессов.

ЗдоровьеИркутск

5288

10.12.2020

Отравление в Бурятии: подростки выпили от 7 до 18 таблеток

Следователи рассказали подробности отравления трех подростков из Улан-Удэ. 8 декабря в отделение реанимации детской республиканской клинической больницы города Улан-Удэ поступили трое подростов. Состояние их было тяжелым. После промывания желудка двум друзьям стало легче.

ПроисшествияЗдоровьеБурятия

4751

10.12.2020

Главврач ИГПЦ отрицает обвинения в травле своих подчиненных

В ответ на видеообращение врача с рассказом о случаях давления на подчиненных, Ежова заявила, что все эти факты не соответствуют действительности.

ЗдоровьеСкандалыИркутск

12948

10.12.2020

В 77 километрах от Улан-Удэ произошло землетрясение магнитудой 5,1

В ночь на 10 декабря на Байкале произошло ощутимое землетрясение. Несколько подземных толчков было зафиксировано в 5:46 по местному времени. Фото: Байкальский филиал геофизической службы РАН Эпицентр располагался в 33 километрах к западу от города Кабанска и 77 километрах от Улан-Удэ.

ЭкологияПроисшествияБайкал Бурятия Иркутск

31698

10.12.2020

Большой мастер Малого театра. Ушёл из жизни Вячеслав Езепов

9 декабря в Москве на 80 году жизни скончался выдающийся русский актёр, легенда Малого театра, народный артист РСФСР и Украины Вячеслав Езепов.

Филипп Марков

It`s my life...КультураРоссия

54661

10.12.2020

Джидинский разлом: кто заменит главу Цыренова?

В Джидинском районе грядет смена власти - депутаты райсовета дали понять Валерию Цыренову, что 2021 год станет для него последним в кресле главы муниципалитета. Теперь на его место уже выстраивается очередь из желающих.

Андрей Светлов

ПолитикаБурятия

38560

09.12.2020

Смертоносный коронавирус. Не стало Александра Самойлова

9 декабря в Москве на 69 году жизни от осложнений, вызванных коронавирусной инфекцией, скончался выдающийся русский актёр, заслуженный артист России Александр Самойлов. О смерти мастера сцены сообщила пресс‑служба Московского академического художественного театра имени М.

Филипп Марков

It`s my life...КультураРоссия

60925

09.12.2020

Зампреда правительства Бурятии отправили под домашний арест в Новосибирске

Центральный районный суд Новосибирска 9 декабря избрал меру пресечения для заместителя председателя правительства Бурятии Алексея Мишенина. Его поместили под домашний арест до 8 февраля 2021 года. По данным источников, Мишенина доставили в суд после 18:00, заседание заняло чуть более часа.

ПолитикаРасследованияБурятия

14741

09.12.2020

Сумма средней взятки в Красноярском крае увеличилась почти в три раза

В 2020 году средняя сумма взятки в Красноярском крае составила 523 тысячи рублей – на 20% выше среднего значения по Сибирскому федеральному округу. Об этом на пресс-конференции 9 декабря сообщил глава МВД по региону Александр Речицкий.

КриминалКрасноярск

4567

09.12.2020

Отрицательный рост зарплат. Махинации «Бурятэнерго» привели к протестам энергетиков

Работники «Бурятэнерго» провели уже несколько пикетов: они хотят привлечь внимание общественности и добиться адекватной оплаты труда. В ноябре сотрудники «Бурятэнерго» присоединились к протестующим работникам ТГК-14 и провели серию одиночных пикетов.

Александр Макаров

Экономика и бизнесОбществоБурятия

29281

09.12.2020

Потемкинские деревни и сомнительные миллионы Эдуарда Дикунова

БАБР продолжает рассказывать про умопомрачительного «общественника» Э. Дикунова, вся публичная деятельность которого, на самом деле, обеспечена деньгами, заработанными самым примитивным способом.

Антoн Херсонцев

ПолитикаРасследованияИркутск

37772

09.12.2020

Связь времён. Имя России, или На волнах патриаршей памяти

Патриарх Московский и всея Руси Кирилл продемонстрировал прекрасную для своего возраста память, в деталях вспомнив масштабный телевизионный проект «Имя России», с момента завершения которого минуло 12 лет, и о котором, кроме патриарха, все давно забыли.

Филипп Марков

РелигияРоссия

25878

09.12.2020

Дефицит и жесткая экономия: каким будет бюджет Бурятии на 2021 год

Депутаты Народного Хурала на сессии 26 ноября приняли республиканский бюджет на 2021 год - пока только в первом чтении, однако главные цифры нам известны уже сейчас. Так, бюджет ожидается дефицитным, по большинству направлений ожидается значительное сокращение расходов.

Анна Гал

ПолитикаЭкономика и бизнесЗдоровьеБурятия

24025

09.12.2020

Турбизнес Петербурга ищет защиты у Путина

Турбизнес Санкт-Петербурга попросил президента России Владимира Путина не допустить закрытия города для туристов в рождественские и новогодние праздники. Как сообщалось ранее, из-за распространения коронавирусной инфекции власти Санкт-Петербурга ввели новые ограничения.

Экономика и бизнесЗдоровьеТуризмРоссия

21615

09.12.2020

Студентка из ИГУ победила на химическом конкурсе им. Менделеева

В своей работе она показала, как с помощью хитиновых полимеров можно извлечь драгоценный металл палладий. Анна Шакирова. Фото: isu.

Анна Амгейзер

МолодежьНаука и технологииРоссия Иркутск

29312

09.12.2020

Депутаты молодежного парламента Прибайкалья опять околотили древо истории

Обратившись к блестящему опыту работы депутатов молодежной думы Иркутска, нельзя забыть и об их коллегах из областного молодежного парламента. Тем более что на его сайте последнее время наблюдается просто бешеная активность: новости появились, как из пулемета, 20 ноября, 1 и 8 декабря.

Камиль Фахрутдинов

ПолитикаМолодежьИркутск

34309

09.12.2020

ЗАГС Прибайкалья вернул удаленную статистику смертей, опубликовав сумму за 11 месяцев

9 декабря служба ЗАГС Иркутской области вернула на свой сайт статистические данные о смертности за текущий год, удаленные днем ранее. При этом опубликовала их суммой за 11 месяцев, разбив по муниципальным образованиям региона, а не по месяцам, как раньше.

ОбществоОфициозИркутск

8806

09.12.2020

Мэрия Красноярска потратит ₽31 миллион, чтобы о ней рассказали в СМИ

В 2021 году администрация Красноярска намерена потратить до 30,9 миллиона рублей на освещение своей работы в интернете, на телевидении, радио и в печатных СМИ. Соответствующий тендер 9 декабря появился на сайте госзакупок.

ПолитикаЭкономика и бизнесКрасноярск

11078

09.12.2020

Медикам Бурятии пообещали выплатить ковидные надбавки после скандала в СМИ

В начале декабря медики Бурятии сообщили, что они до сих пор не получили октябрьскую надбавку за работу с ковидными пациентами. Врачи рассказали об этом в соцсетях и СМИ. 9 декабря Минздрав Бурятии сообщил о подписании документа по стимулирующим выплатам для медиков.

ЗдоровьеЭкономика и бизнесБурятия

10734

09.12.2020

Еще 197 человек заразились коронавирусом в Томской области, трое умерли

По данным на 9 декабря, еще 197 человек в Томской области заболели COVID-19. Также за сутки 209 пациентов выздоровели, трое умерли. Об этом сообщает региональный оперштаб по коронавирусу.

ЗдоровьеОбществоТомск

5116

09.12.2020

Лесные пожары-2020: Рослесхоз подвел итоги

Федеральное агентство лесного хозяйства официально объявило о завершении пожароопасного сезона. По подсчетам ведомства, в 2020 году площадь лесных пожаров в РФ снизилась на один миллион гектаров по сравнению с прошлым годом.

Александр Тубин

ЭкологияРоссия

36887

09.12.2020

В Красноярском крае уже более 39 000 заражённых коронавирусом

По данным на 9 декабря, в Красноярском крае 39 237 случаев заражения коронавирусом. Суточный прирост — 340, темп прироста — 0,9%. За всё время выздоровело 31 782 человека, в том числе 377 за последние сутки. Количество погибших достигло 1294, скончалось ещё 15 заражённых COVID-19.

ЗдоровьеКрасноярск

5015

09.12.2020

Трое подростков из Бурятии угодили в реанимацию, отравившись психоактивным веществом

8 декабря в детскую республиканскую клиническую больницу в Улан-Удэ с тяжелым отравлением и нарушением сознания разной степени поступили три подростка. Об этом сообщает пресс-служба Минздрава Бурятии.

ПроисшествияЗдоровьеБурятия

5321

09.12.2020

Сети 5G: кому и зачем нужны?

В 2020 году очень много говорили про пятое поколение мобильной связи — сети 5G. Особенно экзальтированные люди даже выстраивали вокруг сетей нового поколения залихватские теории заговора: мол, частоты 5G вызывают рак и гипоксию.

Алиса Беглова

Наука и технологииРоссия

8049

09.12.2020

Минздрав назвал причины высокой смертности от COVID-19 в Прибайкалье

Министерство здравоохранения Иркутской области намерено выяснить причины высокой летальности от коронавируса в регионе. Однако предварительные данные есть уже сейчас. Об этом 9 декабря рассказал глава областного минздрава Яков Сандаков на заседании депутатского штаба по коронавирусу.

ЗдоровьеИркутск

6096

09.12.2020

Максим Тимофеев: Настало время для создания биоэкономики на Байкале

Самый продолжительный научный проект, реализуемый на Байкале и занесенный в Книгу рекордов России, – это проект долговременного экологического мониторинга «Точка № 1». Он стартовал в год Великой Победы, с тех пор ученые НИИ биологии ИГУ непрерывно следят за состоянием озера.

Максим Бакулев

Наука и технологииБайкал Иркутск

22498

09.12.2020

Общее число заразившихся сальмонеллезом в Ербогачёне выросло до 40 человек

По данным Минздрава Иркутской области на 8 декабря, число заболевших кишечной инфекцией в детском саду Ербогачёна достигло 40 человек. Ранее сообщалось о 23 пострадавших. Сейчас в стационаре остаётся 10 детей, семеро из которых уже готовятся к выписке. Остальные заболевшие лечатся амбулаторно.

ПроисшествияЗдоровьеИркутск

5255

09.12.2020

Зампреда правительства Бурятии подозревают в хищении 65 миллионов рублей

По информации «Коммерсанта», задержанный 8 декабря зампредседатель правительства Бурятии Алексей Мишенин проходит по уголовному делу о хищении около 65 миллионов рублей на Новосибирском авиаремонтном заводе.

ПолитикаРасследованияБурятия

15392

09.12.2020

ГМО не пройдёт: в России появятся «зелёные» продукты

О новом законопроекте поведала заместитель председателя правительства Виктория Абрамченко. Он касается продуктов и, по мнению федерала, повысит их качество, а заодно и здоровье россиян. Речь идёт о появлении продукции с улучшенными характеристиками.

Миша Ковальски

ЗдоровьеЭкологияРоссия

18304

09.12.2020

Крупнейший продуктовый ритейлер планирует открыть магазины в Бурятии

Магазины торговой сети «Магнит» могут открыться в Бурятии в ближайшее время. Об этом сообщил гендиректор компании Ян Дюннинг во время финала конкурса «Вкусы России», в котором бурятские буузы заняли второе место.

Экономика и бизнесБурятия

15961

09.12.2020

Спецавтохозяйство Томска взимало деньги ни за что

Когда вступила в силу так называемая «мусорная реформа», утилизировать твёрдые коммунальные отходы в Томске и Томском районе на 10 лет доверили «Спецавтохозяйству» (САХ). Сейчас выяснилось, что предприятие незаконно брало плату за доставку квитанций.

Андрей Игнатьев

ЖКХТомск

17674

09.12.2020

Байкальские рачки, берегитесь: нерпа разнообразила свой рацион

Ученые Национального института полярных исследований и Института исследований атмосферы и океана (Япония), а также Аквариума байкальской нерпы в Иркутске обнаружили в ходе исследований, как байкальский тюлень охотится на мелких рачков. Фото с sbras.

Есения Линней

Наука и технологииРоссия Байкал Иркутск

9579

09.12.2020

Экс-главу Балахтинского района обвинили в присвоении двух миллионов рублей

Бывшего главу Балахтинского района, ушедшего с поста после обвинений в коррупции, подозревают в присвоении крупной суммы. Об этом 9 декабря со ссылкой на источники в правоохранительных органах сообщил «Борус».

РасследованияЭкономика и бизнесКрасноярск

17824

09.12.2020

Директор томского колледжа платила зарплату мёртвым душам

УФСБ Томской области завершило расследование уголовного дела о присвоении средств Губернаторского колледжа социально-культурных технологий и инноваций. По версии следствия, в сентябре и ноябре 2017 года директор колледжа фиктивно приняла на работу шестерых граждан.

РасследованияЭкономика и бизнесОбразованиеТомск

24868

09.12.2020

Обзор иркутских клиник: Медицинский центр Виктория. Дорого? Неудобно? И так сойдет...

Экспертная группа Бабра продолжает проверять уровень сервиса частных иркутских клиник. Из-за коронавируса все государственные больницы и поликлиники фактически парализованы тысячами страждущих либо вылечиться от коронавируса, либо сдать на него тест.

Лера Крышкина

ЗдоровьеЭкономика и бизнесРасследованияИркутск

52131

09.12.2020

Убийцу красноярского криминального авторитета нашли в Польше

В Красноярске завершили расследование убийства местного криминального авторитета, совершенного в 1997 году. Последнего фигуранта искали пять лет. В июне 1997 года на автостоянке по улице Парашютной в Красноярске три человека расстреляли 41-летнего криминального авторитета Анатолия Артюшкова.

КриминалРасследованияКрасноярск

23815

09.12.2020

В Прибайкалье за сутки умерло 22 человека с COVID-19, выздоровело 267 человек

По состоянию на утро 9 декабря в Иркутской области зарегистрировано 34815 лабораторно подтверждённых случаев коронавирусной инфекции. За последние сутки заболевание выявлено у 277 человек. 3627 человек проходят лечение в стационарах, ещё 5486 лечатся амбулаторно.

ЗдоровьеИркутск

5195

09.12.2020

Иркутские студенты стали призерами национальной премии «Студент года»

Иркутяне стали лауреатами в номинации «Студенческое медиа года». Молодые люди снимают общественно значимые ролики и новости студенческой жизни. 6 декабря закончился один из самых грандиозных конкурсов для студентов. Итоги Российской национальной премии «Студент года – 2020» подведены.

Анна Амгейзер

МолодежьОбразованиеМир Иркутск

29619

09.12.2020

Красноярский предприниматель построил для сирот непригодное жилье

В Красноярском крае бизнесмен построил сиротам непригодные для жизни квартиры, а местная администрация решила, что и так сойдёт.

РасследованияНедвижимостьКрасноярск

16104

09.12.2020

Иркутская мэрия объяснила, что скоростной трамвай в генплане – это не трамвай

После появления информации о планах иркутской администрации сделать линию скоростного трамвая в районе городка ИВВАИУ, у иркутян появилось столько вопросов, что в мэрии решили дать пояснения.

ТранспортОбществоИркутск

8413

09.12.2020

Массовую вакцинацию от коронавируса в Томской области начнут 11 декабря

Тысяча доз двухкомпонентной вакцины от коронавируса «Спутник V» поступила в Томскую область. Вакцину разместили на специально подготовленном складе, и с 11 декабря в регионе начинается массовая вакцинация.

ЗдоровьеТомск

4939

09.12.2020

Главой Парабельского района Томской области в четвёртый раз стал Александр Карлов

Александр Карлов в четвёртый раз стал главой администрации Парабельского района Томской области. Такое решение приняли депутаты районной думы 8 декабря. Конкурентом Карлова стал Анатолий Каккоев, пенсионер с 24-летним опытом муниципальной службы.

ПолитикаТомск

13707

09.12.2020

Учёные исследовали причину цветения воды в Абаканской протоке в Красноярске

Красноярские учёные закончили исследование причины цветения воды в Абаканской протоке Енисея в Красноярске. По данным «Красноярского научного центра Сибирского отделения Российской академии наук», вода цветёт из-за низкой проточности. Результаты были опубликованы 8 декабря на сайте центра.

ЭкологияПроисшествияКрасноярск

10018

09.12.2020

Александр Усс: ни в чём себе не отказывай за казённый счёт!

Александр Усс не может отказать себе в роскоши, особенно когда эта роскошь за счёт налогоплательщиков. Администрация губернатора Красноярского края планирует потратить шестнадцать миллионов из краевого бюджета на перелёты губернатора чартерными рейсами.

Richie Monroe

ПолитикаРасследованияКрасноярск

20878

09.12.2020

Почти 500 человек скончались от COVID-19 в Бурятии

В Бурятии с начала пандемии коронавируса зарегистрирован 21351 случай заражения. За сутки заболело ещё 225 человек, сообщает республиканский Роспотребнадзор. 55% от общего числа заболевших (11750 человек) – жители Улан-Удэ.

ЗдоровьеПроисшествияБурятия

4146

09.12.2020

Мэр Усть-Кутского района объяснил резкий скачок COVID-19 в своем районе

Мэр Усть-Кутского района Сергей Анисимов считает, что дело в несвоевременной обработке тестов. Об этом 8 декабря сообщило ИА «ИрСити». Анисимов назвал причину резкого роста числа новых случаев заражения коронавирусом на вверенной ему территории.

ЗдоровьеИркутск

4285

09.12.2020

Сибирским регионам выделили почти 2 миллиарда рублей на поддержание бюджета

Правительство России направило в Иркутскую и Томскую области, а также в Забкрай почти 2 миллиарда рублей на подержание бюджетной стабильности. Распоряжение председателя правительства Михаила Мишустина опубликовано на сайте кабмина 8 декабря.

Экономика и бизнесИркутск Томск Забайкалье

14158

09.12.2020

Иркутский ЗАГС удалил данные о рекордной смертности после публикаций в СМИ

Служба ЗАГС Иркутской области удалила статистические данные о смертности за 2020 год после публикаций о высокой смертности за октябрь и ноябрь этого года. В ряде СМИ появились публикации о том, что в октябре 2020 года в Иркутской области скончалось 3356 человек, в ноябре – 4112 человек.

ОбществоОфициозИркутск

13430

09.12.2020

Уголовное дело против экс-руководителя «ЖСК»: в компании заявили, что долгов в три раза больше

Уголовное дело в отношении бывшего руководителя возбудили за растрату 100 миллионов рублей, а в компании заявили, что недостача превышает 300 миллионов.

Экономика и бизнесКриминалКрасноярск

17561

09.12.2020

В школе под Томском дети нашли в обеде червей

Повара же стали убеждать учениц в том, что никаких червей в блюде нет, а в тарелке лишь макароны. Фото: Алексей Чернов Инцидент произошел в Межениновской средней школе. Во время обеда пятиклассница обнаружила в своей тарелке не только положенные макароны, но и червя.

ОбразованиеСкандалыТомск

14930

09.12.2020

Роспотребнадзор Бурятии обжалует решение суда о вечеринке в «Фабрике»

Сына депутата Народного Хурала и владельца заведения Кирилла Покацкого не стали судить за проведение вечеринки в разгар второй волны коронавируса.

Экономика и бизнесПроисшествияБурятия

17366

09.12.2020

Фото дня. Синод на удалёнке

8 декабря 2020 года под председательством патриарха Кирилла в дистанционном формате прошло заседание Священного Синода Русской православной церкви.

Филипп Марков

РелигияРоссия

23965

09.12.2020

Прорыв или срыв? В Иркутской области не все ладно с капремонтом

Годовой план капремонта в очередной раз сорван, однако есть повод для осторожного оптимизма. Еще в марте МинЖКХ Прибайкалья обещало, что до конца 2020 года в регионе будет капитально отремонтировано 1 355 домов — больше, чем за предыдущие шесть лет вместе взятые.

Василий Сибирцев

Экономика и бизнесНедвижимостьИркутск

31070

09.12.2020

"Вызывающий цинизм”. Депутат Покацкий получил черную метку от главы Бурятии?

Дело о “депутатской вечеринке” во время локдауна в Бурятии получило продолжение. Суд готов спустить депутату Народного Хурала Вячеславу Покацкому и его детям безответственное отношение к здоровью людей во время пандемии - но едва ли влиятельная семья может рассчитывать на уход от ответственности.

ПолитикаБурятия

39324

08.12.2020

Задержание Мишенина: атака на правительство Бурятии?

Обыски и последующее задержание зампреда правительства Бурятии по экономическому развитию Алексея Мишенина стало уже вторым подобным прецедентом за месяц. В обоих случаях работали “засланные” силовики из других регионов России, игнорируя местных коллег.

Андрей Светлов

ПолитикаСкандалыРасследованияБурятия Россия

48100

08.12.2020

Главный зять советского экрана. Евгению Стеблову – 75!

Сколько бы ролей он ни сыграл, в скольких бы фильмах ни снялся, для миллионов соотечественников он навсегда останется тем самым немного непутёвым, но безмерно обаятельным зятем Галины Польских из культовой комедии 1977 года «По семейным обстоятельствам».

Филипп Марков

КультураСобытияРоссия

52271

08.12.2020

«Жизнь – это миг» от «Ленинграда». Слабонервным не смотреть

После длительного перерыва группировка «Ленинград» опубликовала новый клип, снятый на композицию «Миг». Напомним, в последний раз группа Сергея Шнурова радовала поклонников новым видео более года назад, когда в июне 2019‑го вышел клип «I_$uss».

Филипп Марков

КультураРоссия

38151

08.12.2020

В СО РАН создали научно-исследовательский центр по проблемам экологической безопасности

В Сибирском отделении Российской академии наук создали новое структурное подразделение – научно-исследовательский центр «Экология». Об этом 7 декабря сообщает портал «Наука в Сибири».

ЭкологияНаука и технологииИркутск Красноярск Россия

25409

08.12.2020

Экс-главу УК «ЖСК» задержали при попытке покинуть Красноярск

Полицейские задержали бывшего руководителя управляющей компании «ЖСК» Наталью Жавнову, когда она пыталась покинуть Красноярск. Об этом 8 декабря сообщает Telegram-канал «Стрелка». Женщину на двое суток поместили в изолятор временного содержания.

КриминалРасследованияКрасноярск

26181

08.12.2020

Депутат Ильичев и точечная застройка: за все уплачено?

Очередной громкий скандал с точечной застройкой разгорается в Иркутске. Власти не хотят (или не могут) противостоять варварству строительных олигархов, обласканных административным ресурсом. Иркутск, Октябрьский район, Нижняя Лисиха.

Василий Сибирцев

РасследованияНедвижимостьЭкономика и бизнесИркутск

40278

08.12.2020

Зампреда правительства Бурятии обвиняют в присвоении денег в особо крупном размере

Днём 8 декабря силовики задержали зампреда правительства Бурятии по экономическому развитию Алексея Мишенина. В правительстве уже подтвердили эту информацию. Источник «Номер один» в силовых структурах рассказал, по какой статье проходит Мишенин.

ПолитикаРасследованияБурятия

16672

08.12.2020

Красноярские коммунисты устроят протест ради протеста?

Оппозиционная слава ЛДПРовцев, которые растревожили общественно-политическое пространство своей инициативой вернуть прямые выборы мэра, определенно вызвала чувство зависти у представителей КПРФ.

Александр Тубин

ПолитикаКрасноярск

16993

08.12.2020

Торговым центрам Бурятии рекомендуют перейти на круглосуточный режим

Оперштаб Бурятии по коронавирусу рекомендует перевести торговые центры, а также продовольственные и непродовольственные торговые сети на круглосуточный режим работы. Такое поручение на заседании 7 декабря получил глава Минпромторга региона Сергей Желтиков.

Экономика и бизнесОбществоЗдоровьеБурятия

12964

08.12.2020

Глава Заиграевского района Бурлаков снова пойдёт под суд

Весной 2019 года Александр Бурлакова обвинили в превышении полномочий, однако в октябре 2020 года суд признал его невиновным. 8 декабря Верховный суд Бурятии отменил оправдательный приговор. Уголовное дело о превышении полномочий отправлено на новое рассмотрение в суд первой инстанции.

ПолитикаРасследованияБурятия

13646

08.12.2020

Ученые доказали полезные свойства БАД из облепихи и шиповника

Во избежание заболеваний, ожирения и с целью замедлить процессы старения организма ученые разрабатывают различные средства, которые можно применять в качестве биологически активных добавок к пище (БАД). БАД не являются лекарственным средством, а только дополняют наш рацион полезными веществами.

Есения Линней

Наука и технологииЗдоровьеРоссия

8197

08.12.2020

Лигнин – биоматериал будущего на основе пихты и лиственницы

Ученые выяснили, что лигнин не мешает свертываемости крови, не влияет на эритроциты и тромбоциты. А еще он очень дешевый. Лигнин – сложное полимерное соединение, содержащееся в клетках сосудистых растений и некоторых водорослях.

Анна Амгейзер

ЗдоровьеНаука и технологииРоссия Красноярск

11737

08.12.2020

В Томской области уже более 20 тысяч заболевших COVID-19

По данным на 8 декабря, еще 207 человек в Томской области заболели COVID-19. Также за сутки 213 пациентов выздоровели. Летальных исходов зарегистрировано не было. Об этом сообщает региональный оперштаб по коронавирусу.

ЗдоровьеОбществоТомск

4319

08.12.2020

В Красноярском крае зафиксировали ещё 25 смертей пациентов с COVID-19

По данным на 8 декабря, в Красноярском крае 38 897 случаев заражения коронавирусом. Суточный прирост — 337, темп прироста — 0,9%. За всё время выздоровело 31 405 пациентов, в том числе 343 за последние сутки. Количество смертей достигло 1279, за сутки скончалось ещё 25 заражённых COVID-19.

ЗдоровьеКрасноярск

5029

08.12.2020

Лесная братва, или Когда обвинят причастных к незаконным вырубкам леса в Карегодском заказнике?

«Новая газета» сообщила о том, что томский Следственный комитет не торопится обвинять причастных к незаконным вырубкам леса в Карегодском заказнике. Возбуждено уголовное дело, но подозреваемых до сих пор нет, только свидетели. Как же так?

Андрей Игнатьев

ЭкологияКриминалТомск

25479

08.12.2020

Ещё один российский турист умер от малярии после возвращения из Танзании

Предприниматель Марат Якупов из Казани в ноябре отдыхал в Танзании, на острове Занзибар. Через несколько дней после возвращения домой он заболел и 28 ноября умер в больнице.

ПроисшествияМир Россия Красноярск

7455

08.12.2020

Арест мэра Томска Кляйна обжалуют в ЕСПЧ

Адвокаты отстранённого от должности мэра Ивана Кляйна намерены обжаловать арест политика в Европейском суде по правам человека. Об этом они рассказали 8 декабря. 30 ноября Томский областной суд рассмотрел жалобы защиты, которая требовала избрать для Кляйна другую меру пресечения.

ПолитикаРасследованияТомск

12775

08.12.2020

Силовики задержали зампредседателя правительства Бурятии Алексея Мишенина

Силовики нагрянули с обысками в кабинет заместителя председателя правительства Бурятии по экономическому развитию Алексея Мишенина. Об этом 8 декабря сообщили сразу несколько источников. Предполагается, что обыски могут быть связаны с работой Мишенина на Новосибирском авиаремонтном заводе.

ПолитикаРасследованияБурятия

33286

08.12.2020

En+ Group создаст международный центр водных ресурсов на месте БЦБК

Международный центр водных ресурсов позволит «вернуть к жизни» значительные территории бывшего БЦБК и использовать их для экологического производства и создания научно-образовательного и туристического кластеров на берегу Байкала. Автор: Даниил Тетерин Фото из альбома "Иркутская область.

ЭкологияЭкономика и бизнесБайкал

22491

08.12.2020

Побочные бизнесы олигарха Потанина: туризм для толстосумов и «Полиоксидоний»

Экологические катастрофы и пандемийные напасти оффшорному олигарху Потанину нипочём. Металлургический воротила всегда найдёт пути для построения бизнеса. И пусть угробленная природа Таймыра подождёт. Чем заняться в тяжкие пандемийные времена? Можно заработать на чудо-препаратах.

Макс Веселов

Экономика и бизнесРоссия Красноярск

32098

08.12.2020

В Красноярске водитель на BMW сбил полицейского и скрылся с места ДТП

В Красноярске 8 декабря мужчина сбил полицейского, пытаясь скрыться от наказания за нарушение масочного режима. Об этом сообщил Telegram-канал «Борус». Отмечается, что сначала полицейские заметили мужчину без маски в ТРЦ «Планета».

ПроисшествияТранспортКрасноярск

4956

08.12.2020

Суд запретил томской мэрии сливать нечистоты в городские озёра

Ленинский районный суд Томска обязал администрацию города прекратить сливать неочищенные стоки в городские озёра. В середине ноября природоохранная прокуратура обнаружила, что в озёра Керепеть и Цимлянское сбрасываются неочищенные стоки ливневой канализации.

ЭкологияЖКХТомск

15816

08.12.2020

4G-интернет Tele2 появился еще в 75 населенных пунктах Прибайкалья

Tele2 подводит итоги технического развития сети 4G в Иркутской области. Компания продолжает активно расширять территорию покрытия и увеличивать скорость мобильного интернета. За 9 месяцев текущего года количество базовых станций 4G выросло на 60% по сравнению с аналогичным периодом прошлого года.

Интернет и ИТИркутск

6294

08.12.2020

Бывшего директора красноярского застройщика подозревают в присвоении денег дольщиков

Красноярская полиция возбудила уголовное дело против бывшего гендиректора строительной компании «Крепость». Его подозревают в присвоении 27 миллионов рублей. По версии следствия, с 2015 по 2017 годы подозреваемый заключал договоры долевого строительства многоквартирного дома в Советском районе.

РасследованияНедвижимостьКрасноярск

16810

08.12.2020

Опрокинувшаяся фура полностью перекрыла федеральную трассу в Шелеховском районе

Утром 8 декабря на 72-м километре федеральной трассы Р-258 «Байкал» произошло ДТП. Водитель большегруза не справился с управлением, фуру занесло и она опрокинулась, полностью перекрыв движение в обе стороны.

ТранспортПроисшествияИркутск

5562

08.12.2020

Бывший чиновник мэрии Томска предстанет перед судом

Прокуратура Томской области закончила расследование уголовного дела, возбуждённого против чиновника томской мэрии по материалам, собранным ФСБ. Об этом 7 декабря сообщила пресс-служба прокуратуры.

РасследованияТомск

13956

08.12.2020

За парковку у красноярского аэропорта берут двойную плату

Красноярцам приходится оплачивать не только пребывание на парковке возле аэропорта, но и выезд с нее. В такую ситуацию 5 декабря попал местный предприниматель Константин Сенченко. Как он сообщил на своей странице в Facebook, ему пришлось дважды платить за одно и то же время.

ТранспортЭкономика и бизнесКрасноярск

14087

08.12.2020

Сибирь газифицированная. «Газпром» упёрся в рентабельность

Газификация Красноярского края, как и всей Сибири — современная «песнь о Нибелунгах», которая ведёт своё повествование о событиях настолько эпических и мифологических, что поверить в их реалистичность и визуализировать в обычной жизни очень сложно.

Макс Веселов

Экономика и бизнесКрасноярск Россия

23338

08.12.2020

В российских рыбах микропластика больше, чем в амазонских

Печальные факты выяснили исследователи из Томского госуниверситета. Биологи провели первую в России работу по изучению рыб на содержание в них микропластика. В мире такие исследования проводятся уже много лет и собрано немало данных, которые указывают на проблему мусора.

Миша Ковальски

ЭкологияНаука и технологииТомск Россия

25396

08.12.2020

В Прибайкалье за сутки умерло 16 человек с COVID-19, выздоровело 356 человек

По состоянию на утро 8 декабря в Иркутской области зарегистрировано 34538 лабораторно подтверждённых случаев коронавирусной инфекции. За последние сутки заболевание выявлено у 263 человек. 3705 человек проходят лечение в стационарах, ещё 5420 лечатся амбулаторно.

ЗдоровьеИркутск

4949

08.12.2020

В Бурятии и Прибайкалье 31 декабря останется рабочим днём

В 14 регионах России решили сделать канун Нового года предпраздничным днём. Бурятия и Иркутская область в их число не вошли. В Сибири только губернатор Томской области решил дать бюджетникам отдохнуть в последний день года. Выходной перенесли с 26 декабря.

ОбществоБурятия Иркутск

7498

08.12.2020

Зданию медуниверситета в Красноярске разработают проект реставрации за 6,7 миллиона

6,7 миллиона рублей выделено на разработку проекта реставрации здания медуниверситета, расположенного на проспекте Мира, 5 в Красноярске. Контракт размещён в начале декабря на сайте госзакупок, заказчик - КГМУ имени профессора В. Ф. Войно-Ясенецкого.

НедвижимостьКрасноярск

4822

08.12.2020

По факту отравления в детском саду Ербогачёна началась проверка СКР и прокуратуры

В детском саду в селе Ербогачён, где 23 человека получили пищевое отравление, начались масштабные проверки. Своё расследование по факту отравления ведут Роспотребнадзор, прокуратура и СУ СКР по Иркутской области.

ПроисшествияИркутск

4259

08.12.2020

Максимум смертности за 9 лет в Иркутской области зафиксирован в октябре-ноябре 2020 года

В октябре 2020 года в Иркутской области скончалось 3356 человек, в ноябре – 4112 человек. Это максимальные показатели с 2011 года, сообщается 7 декабря на сайте Службы ЗАГС Иркутской области.

ПроисшествияИркутск

7935

08.12.2020

Нелегальный маршрут автобуса № 3 в Томске будут закрывать через суд

Администрация Томска будет через суд закрывать нелегальный автобусный маршрут № 3. Об этом 7 декабря сообщило РИА Томск со ссылкой на руководителя Центра организации и контроля пассажироперевозок Ольгу Свахину. С 1 января 2020 года в Томске изменилась схема движения маршрутных автобусов.

ТранспортОбществоТомск

6233

08.12.2020

Инсайд. Администрацию Томской области подозревают в откатах и коррупции

Депутат городской думы от партии «Яблоко» и редактор ресурса «МК в Томске» Василий Ерёмин написал заявление в правоохранительные органы, с требованием проверить работу внутриполитического блока областной администрации.

Василий Чайкин

РасследованияТомск

19679

08.12.2020

Коронавирус в Бурятии: 239 заболело, 184 вылечилось, семеро умерло

21126 человек заразилось коронавирусом в Бурятии с начала пандемии. Суточный прирост на 8 декабря составил 239 новых случаев, сообщает республиканский Роспотребнадзор. 55% инфицированных (11664 человека) – жители Улан-Удэ.

ЗдоровьеПроисшествияБурятия

4355

08.12.2020

У экс-главы УК «ЖСК» провели обыск и завели уголовное дело. Видео

В Красноярске бывшего руководителя управляющей компании «ЖСК» Наталью Жавнову подозревают в растрате более 100 миллионов рублей.

Экономика и бизнесКриминалКрасноярск

27170

08.12.2020

«Трупы собак в мешках»: жители нашли ямы с мертвыми животными рядом с приютом в Минусинске

Под Красноярском местные жители нашли ямы, наполненные трупами собак. Они находятся в нескольких метрах от приюта. В Минусинском районе разгорается скандал, связанный с отловом бродячих животных. Летом контракт на отлов, стерилизацию и чипирование собак в районе выиграло ООО «Приют».

ПроисшествияБратья меньшиеКрасноярск

6551

08.12.2020

Мужчине, кинувшему бутылку с «коктейлем Молотова» в здание полиции, смягчили обвинение

Бывшего сотрудника разведки арестовали и переквалифицировали ему статью с «Терроризма» на «Хулиганство по мотивам политической ненависти». Центральный районный суд Красноярска арестовал подозреваемого в поджоге отдела полиции в селе Шалинское Манского района до 4 февраля 2021 года.

ПроисшествияКрасноярск

4453

08.12.2020

На утренники в Бурятии не пустят родителей и аниматоров

Новогодние утренники в детских садах и школах в этом году будут закрытыми. На заседании республиканского оперативного штаба в Бурятии определили условия проведения новогодних мероприятий для воспитанников детских садов и учащихся школ.

ЗдоровьеОбществоБурятия

4585

08.12.2020

«Ледяные батареи, спим в одежде»: жители Улан-Удэ возмущены работой ТГК-14

Зима 2020 года не стала исключением: жители Улан-Удэ по-прежнему вынуждены жить с холодными батареями и требовать от тепломонополиста соблюдения температурных норм.

Александр Макаров

ОбществоЖКХПолитикаБурятия

32431

08.12.2020

В Бурятии медикам задерживают ковидные выплаты

Уже два месяца медики ковидного госпиталя не могут дождаться дополнительных выплат, гарантированных законом. Медработники БСМП пожаловались на задержки ковидных выплат. Врачам и медперсоналу их обещали выплачивать ежемесячно. Но на их счета положенные денежные средства не поступили до сих пор.

ЗдоровьеЭкономика и бизнесБурятия

11446

08.12.2020

Детскую поликлинику на месте кинотеатра «Чайка» планируют начать строить в 2022 году

В Свердловском районе Иркутска здание бывшего кинотеатра обследуют специалисты, скоро там начнется демонтаж. А после – строительство трехэтажной поликлиники. Строительство детской поликлиники №5 на месте бывшего кинотеатра «Чайка» может начаться уже в 2022 году.

НедвижимостьОбществоИркутск

5236

08.12.2020

Не пришей к гордуме рукав: в Иркутске опять перекраивают соответствующий орган

На днях пришла прекрасная новость. Дума Иркутска приняла решение создать при себе молодежный парламент вместо молодежной думы. При этом на том же заседании депутат думы Александр Квасов совершенно справедливо предложил распустить молодежную думу города на фиг.

Камиль Фахрутдинов

ПолитикаМолодежьИркутск

40088

08.12.2020

“Мается известный пиараст”. Депутат Будуев испугался стилиста Зверева и написал про него гадкое стихотворение

Депутат Госдумы Николай Будуев обиделся на жителей Бурятии, которые массово выступают за его замену на стилиста Сергея Зверева. Внезапный политический успех гламурного короля так задел народного избранника, что тот даже написал про конкурента пошлые и оскорбительные стихи.

Андрей Светлов

ПолитикаКультураБурятия Россия

36153

07.12.2020

Народный без указа. Александру Феклистову – 65!

Его называют главным интеллектуалом российского актёрского цеха. Он начитан, образован, всегда имеет собственное мнение и не боится его высказывать. Именно поэтому у него до сих пор нет ни государственных наград, ни звания не только народного, но даже заслуженного артиста.

Филипп Марков

КультураСобытияРоссия

54970

07.12.2020

Мэр Шутенков и "Фортуна": очередной провал в сотых

Жители сотых кварталов Улан-Удэ продолжают страдать - и, видимо, в 2021 году их мучения не закончатся. Все из-за откровенно слабой работы администрации Улан-Удэ и аффилированных с ней фирм-подрядчиков.

Андрей Светлов

ПолитикаЖКХБурятия

24822

07.12.2020

Инсайд. "Красцветмет". Расцвет и скандалы крупнейшего аффинажного завода России

Официально «Красноярский завод цветных металлов имени Н. В. Гулидова» учреждён в 1994 году, хотя историю ведет с 1939 года. Сейчас "Красцветмет" – крупнейший в мире производитель аффинированных металлов платиновой группы (платины, палладия, родия, иридия, рутения, осмия), а также золота и серебра.

Василий Чайкин

Экономика и бизнесРасследованияКрасноярск

42117

07.12.2020

Третий этап исследования на иммунитет к COVID-19 стартовал в Прибайкалье

Третий этап обследования жителей Прибайкалья на коллективный иммунитет к коронавирусу пройдет с 7 по 18 декабря. Об этом сообщает пресс-служба регионального Роспотребнадзора.

Наука и технологииЗдоровьеОбществоИркутск

6198

07.12.2020

Массовое отравление куриными котлетами произошло в детсаду Ербогачёна

23 рёбенка и сотрудника детского сада подхватили острую кишечную инфекцию в селе Ербогачён Катангского района. Об этом 7 декабря сообщили в Роспотребнадзоре. У 18 человек выявили бактерии из рода сальмонелл, 10 понадобилась госпитализация.

ПроисшествияИркутск

6446

07.12.2020

Бурятия вошла в пятерку регионов РФ, наиболее склонных к вредным привычкам

7 декабря исследователи РИА Новости обнародовали рейтинг приверженности регионов РФ вредным привычкам по данным 2017-2019 годов. Хуже всего дела обстоят в Амурской области (81 место), республиках Бурятия (82) и Хакасия (83), а также Сахалинской (84) и Магаданской (85) областях.

ОбществоЗдоровьеБурятия Иркутск Красноярск

4294

07.12.2020

31 декабря снова объявили выходным в Томской области

31 декабря будет выходным для бюджетников Томской области. Об этом 7 декабря рассказали в пресс-службе областной администрации. Последний день в году станет нерабочим за счёт отмены выходного в субботу 26 декабря.

ОбществоЭкономика и бизнесТомск

11409

07.12.2020

Ученые из США научились омолаживать клетки и тем самым лечить глаукому

Поврежденные глаукомой нейроны сетчатки впервые регенерировали. Зрение восстанавилось даже у пожилых испытуемых. Американские биологи с помощью технологии частичного репрограммирования добились омоложения клеток. Вначале эксперимент проводился на мышах.

Анна Амгейзер

ЗдоровьеНаука и технологииМир Россия

10966

07.12.2020

Жизнь и смерть Екатерины III. К юбилею чиновницы‑легенды

Мнения о её профессиональной деятельности полярно разнятся. Кто‑то считает, что министру культуры непростительно не разбираться в музыке и современном искусстве, кто‑то убеждён, что лучшего министра культуры в нашей стране не было ни до, ни после.

Филипп Марков

КультураИсторияСобытияРоссия

76434

07.12.2020

Комиссия Минздрава проверит Козульскую больницу. Медики сообщали о нехватке лекарств

Сотрудники больницы Козульского района сообщали, что им сократили доплаты за работу с ковидными больными, в учреждении не хватает медикаментов, а больных коронавирусом приходится размещать в одних палатах с людьми без COVID-19.

ЗдоровьеКрасноярск

4586

07.12.2020

Телеграм Красноярска за неделю: Еремин против Пензиной, туфли Радионовой и кривая статистика Усса

Бабр представляет обзор ключевых событий в красноярском сегменте мессенджера Telegram за неделю с 30 ноября по 6 декабря включительно. Еремин против Пензиной на прямых выборах мэра?

Александр Макаров

ПолитикаОбществоКрасноярск

30757

07.12.2020

«Толчок» для мэра, или «Миша Балаганов»

Кибанов патриот. Открываем серию портретов муниципальных глав Приангарья. Планируем пройтись и по самым успешным, и, напротив, – наиболее бесполезным и вороватым. Во втором, позорном, рейтинге решили начать с мэра Балаганского района Михаила Кибанова.

Виктор Михайлов

РасследованияИркутск

64839

07.12.2020

В Красноярском крае задержали группу приверженцев террористической организации

Сотрудники ФСБ задержали в Красноярском крае приверженцев запрещенной в РФ террористической организации «Катиба Таухид валь-Джихад», в состав которой входили граждане одной из стран Средней Азии. Об этом 7 декабря сообщает пресс-служба краевого управления ФСБ.

ТерроризмКриминалКрасноярск

11120

07.12.2020

Первый пошел: на выборы мэра Ачинска заявился ревизор

На западе Красноярского края продолжают кипеть политические страсти – после ухода, казалось бы, бессменного Илая Ахметова с поста мэра Ачинска в городе никак не могут определиться с новым главой.

Александр Тубин

ПолитикаКрасноярск

26823

07.12.2020

Бомба госдолга: Иркутская область угодила в кредитное рабство

Бюджет Прибайкалья рекордными темпами прирастает коммерческими займами. Уже к середине 2021 года это может стать серьезной проблемой.

Антoн Херсонцев

Экономика и бизнесИркутск

29322

07.12.2020

Обнаружена вторая волна миграции неандертальцев в Сибирь

В Алтайском крае, недалеко от открытых археологических памятников, были обнаружены две пещеры. Находка сделана учеными Института археологии и этнографии Сибирского отделения РАН недалеко от устья реки Чагырка, чуть выше пещер имени Окладникова. Фото с novosibirsk.bezformata.

Есения Линней

Наука и технологииРоссия

13525

07.12.2020

Еще 197 человек заразились коронавирусом в Томской области, четверо умерли

По данным на 7 декабря, еще 197 человек в Томской области заболели COVID-19. Также за сутки 231 пациент выздоровели, четверо умерли. Об этом сообщает региональный оперштаб по коронавирусу.

ЗдоровьеОбществоТомск

5048

07.12.2020

Ещё 16 больных COVID-19 скончались в Красноярском крае

За последние сутки COVID-19 заразились ещё 332 жителя Красноярского края, темп прироста — 0,9%. С начала пандемии коронавирус выявили у 38 560 человек. Об этом 7 декабря сообщили в оперштабе региона. За всё время выздоровели 31 062 человека, с 6 декабря из больниц выписали ещё 341 пациента.

ЗдоровьеКрасноярск

5444

07.12.2020

В Томске запустили первое в стране производство препарата на основе радиоактивного таллия-199

В Томской политтехническом университете начали единственное в стране производство препарата «Таллий хлорид, 199Tl» на основе радиоактивного изотопа таллия-199. Его можно применять для диагностики сердечно-сосудистых заболеваний или онкологии. Об этом 7 декабря рассказали в вузе.

Наука и технологииЗдоровьеТомск

7336

07.12.2020

Нам пишут. Центр молекулярной диагностики наживается на коронавирусе?

После публикации нашего обзора одной из известных иркутских клиник «Центр молекулярной диагностики» нам пришло очень много писем с отзывами о ней. Но одно из них нам показалось самым интересным. Приводим его полностью. «Здравствуйте! Расскажу о моем опыте с ЦМД.

Лера Крышкина

ЗдоровьеРасследованияИркутск

26820

07.12.2020

В Прибайкалье от COVID-19 выздоровело всего 18 человек. В 6 раз меньше, чем сутками ранее

По данным на 7 декабря, в Иркутской области коронавирус выявили у 34 275 человек. Суточный прирост — 261. За всё время выздоровело 29 820 человек, за последние сутки от болезни избавилось всего 18 пациентов. Это более чем в шесть раз меньше показателя за 6 декабря — 112.

ЗдоровьеИркутск

5018

07.12.2020

Академлес: застроят по беспределу или не тронут по закону?

Бабр обещал подробнее рассказать о юридической составляющей ситуации с Академлесом, который по слухам хотят застроить и вырубить там сотни деревьев. Обещали – рассказываем.

Роман Русских

РасследованияЭкологияЭкономика и бизнесИркутск

40991

07.12.2020

В Томской области намечается сказка с плохим концом

Скоро Сергей Жвачкин (губернатор Томской области) поставит свою закорючку на документе, разрешающем новогодние утренники в детских садах и школах. Этой информацией поделилась Ирина Грабцевич (начальник департамента общего образования). «Протокол еще официально не подписан.

Андрей Игнатьев

ЗдоровьеТомск

11756

07.12.2020

«Заповедное Прибайкалье» продало Прибайкальский нацпарк региональному оператору?

В начале декабря 2020 года «Заповедное Прибайкалье» торжественно сообщило, что теперь оформить пропуск для посещения особо охраняемых природных территорий можно онлайн. Уточним, что это территории Прибайкальского нацпарка, Байкало-Ленского заповедника, заказников Красный яр и Тофаларский.

Миша Ковальски

ТуризмЭкономика и бизнесИркутск

41540

07.12.2020

Депутат сельсовета в Красноярском крае организовал незаконную переправу

В Красноярском крае возбудили уголовное дело в отношении одного из депутатов Покатеевского сельсовета Абанского района.

ПроисшествияТранспортКрасноярск

4577

07.12.2020

Глава Бурятии назвал «вызывающе циничным» решение суда по вечеринке в баре Кирилла Покацкого

Решение Октябрьского районного суда Улан-Удэ, прекратившего 2 декабря административное производство в отношении Кирилла Покацкого о вечеринке в принадлежавшем ему гриль-баре «Фабрика» «за отсутствием состава административного правонарушения», главой Бурятии названо «вызывающе циничным».

ПроисшествияСкандалыБурятия

8778

07.12.2020

Телеграм Бурятии за неделю: министр в Госдуме, загибающаяся экономика, депутаты на дорогах

Бабр представляет обзор ключевых событий в бурятском сегменте мессенджера Telegram за неделю со 30 ноября по 6 декабря. Министр спорта идет на выборы? На прошлой неделе сразу несколько телеграм-каналов отметило странную активность Вячеслава Дамдинцурунова.

ivan.off

ПолитикаСкандалыЭкономика и бизнесБурятия

36664

07.12.2020

Захват рынка ТКО в Красноярске: ниточки ведут к бизнес-империи Якуниных

«Мусорный» рынок миллионного Красноярска планомерно и по частям отдают московским структурам в лице инвестиционной группы «РВМ Капитал».

Макс Веселов

Экономика и бизнесРасследованияКрасноярск

25994

07.12.2020

Горевший дом-памятник на улице Свердлова в Иркутске могли поджечь

В качестве возможной причины пожара в деревянном доме-памятнике на улице Свердлова, 11А в Иркутске, дознаватели МЧС называют поджог. Об этом сообщили в пресс-службе ГУ МЧС России по Иркутской области. Напомним, пожар произошёл вечером 6 декабря.

ПроисшествияИркутск

6789

07.12.2020

За недопоставленную северным районам электроэнергию у фирмы из Бурятии забрали субсидию

Прокуратура Баунтовского района Бурятии по суду взыскала с коммерческой компании неиспользованную субсидию в сумме 37 миллионов рублей. Нарушение было выявлено в ходе проверки исполнения бюджетного законодательства, сообщила 7 декабря пресс-служба республиканской прокуратуры.

ПроисшествияЖКХБурятия

11714

07.12.2020

Клиенты Tele2 могут оплачивать контент Apple со счета мобильного телефона

Tele2 запустила услугу оплаты покупок в магазине приложений App Store, сервисах Apple Music и Apple TV со счета мобильного телефона. После простой аутентификации абоненты Tele2 могут приобретать музыку, кино и книги из экосистемы приложений Apple в один клик.

Интернет и ИТИркутск Россия

5454

07.12.2020

Чиновники Тункинского района Бурятии получили условные сроки за мошенничество на 39 миллионов

Верховный суд Бурятии принял решение по апелляции в отношении двух чиновников и бизнесмена из Тункинского района, соучастников по уголовному делу о мошенничестве.

ПроисшествияКриминалБурятия

4487

07.12.2020

В Иркутской области начали вести цифровой учёт туристов на Байкале

ФГБУ «Заповедное Прибайкалье» начало внедрять специальное программное обеспечение, которое позволит вести учёт туристов на Байкале.

Наука и технологииОбществоБайкал Иркутск

7096

07.12.2020

В финале конкурса проектов молодых ученых компании En+ Group приняли участие 138 студентов российских вузов

Компания En+ Group, ведущий вертикально интегрированный производитель алюминия и возобновляемой электроэнергии, 1 декабря 2020 года подвела итоги конкурса студентов и молодых ученых «Лаборатория энергетики». Всего в финале участвовали 138 студентов и молодых ученых из 30 команд российских вузов.

МолодежьОбразованиеИркутск

23376

07.12.2020

Детей-сирот в Бурятии поселили в опасные дома

В Кяхтинском районе Бурятии детям-сиротам выделили опасные дома. Экспертиза показала, что жильё не просто непригодно для проживания – оно опасно для жильцов. Об этом 7 декабря сообщила пресс-служба прокуратуры республики.

ПроисшествияБурятия

4131

07.12.2020

В красноярских «Столбах» построят деревянный павильон за 15 миллионов рублей

На сайте госзакупок 4 декабря появился тендер на строительство нового деревянного павильона на кордоне Нарым в заповеднике «Столбы» под Красноярском. Стоимость лота – 15,3 миллиона рублей. В деревянном двухэтажном здании разместится научно-познавательный центр.

ЭкологияКрасноярск

11343

07.12.2020

В Бурятии за сутки COVID-19 заболели 244 человека, восемь пациентов скончались

По состоянию на восемь часов утра 7 декабря в Бурятии зарегистрировано 20 887 лабораторно подтвержденных случаев заражения COVID-19. 55 процентов от общего числа инфицированных или 11 568 человек – это жители Улан-Удэ. Сейчас круг контактных лиц в республике – 4 582 человека.

ПроисшествияБурятия

4596

07.12.2020

2020 год оказался в тройке самых тёплых за всю историю метеонаблюдений

2020 год стал одним из самых теплых за всю историю наблюдений Всемирной метеорологической организации за состоянием климата на планете. С января по октябрь 2020 года среднемировая температура была на 1,2±0,1 градуса Цельсия выше, по этому показателю 2020 год уступил лишь 2016 и 2018 годам.

ГеоЭкологияМир

20269

07.12.2020

Бурятские военные отразили нападение дронов

Дислоцированные в Бурятии подразделения радиоэлектронной борьбы (РЭБ) Восточного военного округа отработали прикрытие военных объектов от ударов беспилотной авиации условного противника.

АрмияНаука и технологииБурятия

7437

07.12.2020

Золотодобывающие предприятия Бодайбо испытывают дефицит специалистов

О нехватке специалистов из числа трудовых мигрантов рассказал губернатору Иркутской области Игорю Кобзеву во время его рабочего визита в Бодайбо 2 декабря гендиректор ЗАО ГПП «Реткон» Владимир Харичев.

Экономика и бизнесЗдоровьеИркутск

14581

07.12.2020

В небе над европейской частью России изменилась структура воздушного пространства

В ночь на 3 декабря в столичном регионе и почти над всей европейской частью России изменилась структура воздушного пространства. Пропускная способность воздушного движения увеличилась в полтора раза.

ТранспортНаука и технологииЭкономика и бизнесРоссия

17107

07.12.2020

Иркутянка сломала ноги, выпрыгнув из окна горящего дома

Вечером 6 декабря, спасаясь от пожара, из окна второго этажа жилого дома в Иркутске выпрыгнула женщина, у нее переломы ног. Еще 15 человек эвакуированы, никто из них не пострадал. Горел двухэтажный деревянный дом на улице Свердлова.

ПроисшествияИркутск

6588

07.12.2020

Вредное производство: что это такое и как компенсируется

Россияне проводят на работе огромную часть своего времени, поэтому условия труда оказывают значительное влияние на наше здоровье. Вредные условия труда неблагоприятно воздействуют на работающего человека.

Алиса Беглова

ОбществоРоссия

16737

07.12.2020

Последний чемпион. Умер «донской Буревестник» Виктор Понедельник

Он был последним живым футболистом из состава сборной СССР 1960 года, в первый и последний раз в истории страны ставшей чемпионом Европы.

Соня Нореман

It`s my life...СпортРоссия

24574

06.12.2020

В Красноярском крае за сутки скончались ещё 13 человек с COVID-19

По информации оперштаба на 6 декабря, за сутки коронавирус выявили у 329 жителей, 13 человек скончались. Край находится на 13-м месте по выявляемости заболевших ковидом. Всего с начала пандемии в Красноярском крае лабораторно подтверждены 38228 случаев заражения COVID-19.

ЗдоровьеКрасноярск

5228

06.12.2020

В Томской области за сутки COVID-19 выявили у 210 человек

Всего в регионе коронавирусом на данный момент болеют 4650 человек. По данным регионального оперштаба на 6 декабря, за сутки коронавирус подтвердился ещё у 210 жителей региона: у 121 заболевших инфекция протекает бессимптомно, у 79 есть признаки ОРВИ, у 10 — пневмония.

ЗдоровьеТомск

4848

06.12.2020

72 000 человек приняли участие в фестивале NAUKA 0+ в Красноярске

В мероприятиях научного фестиваля NAUKA 0+, который прошел в Красноярске 27-28 ноября при поддержке компании En+ Group, которая выступила генеральным партнером, приняло участие 72 000 человек.

Наука и технологииКрасноярск

6184

06.12.2020

В Прибайкалье за сутки COVID-19 выявили у 269 человек. Восемь скончались

По данным на 6 декабря, за сутки в регионе выявили ещё 269 случаев заражения COVID-19. Общее число подтвержденных случаев в регионе возросло до 34014. В больницах области находится 3889 заболевших коронавирусом, из них 179 госпитализировали за последние сутки.

ЗдоровьеИркутск

5251

06.12.2020

Tele2 запускает виртуального оператора связи для Хабиба Нурмагомедова

Tele2 в партнерстве с «ТВЕ-телеком» объявляют о техническом запуске виртуального оператора связи для Хабиба Нурмагомедова – лучшего бойца в общем рейтинге UFC и действующего чемпиона UFC в легком весе. MVNO-проект Хабиба носит название Eagle Mobile – по аналогии с его спортивным прозвищем Орел.

Интернет и ИТИркутск Россия

6185

06.12.2020

В сельхозпрограммах Бурятии Счётная палата нашла массу нестыковок

Сотрудники Счётной палаты Бурятии начали масштабную проверку использования бюджетных средств, выделенных в прошлые годы на сельское хозяйство. Проверка проводится для того, чтобы выявить слабые места и внести коррективы в окончательный вариант бюджета республики на три года.

ПроисшествияБурятия

4291

06.12.2020

«Настольный набор» для сборки дронов создают в Томском госуниверситете

Новую «игрушку» для школьников и студентов, изучающих программирование, разрабатывают инженеры Томского госуниверситета. Это будет настольный учебный конструктор, позволяющий собрать квадрокоптер по инструкциям мобильного приложения с дополненной реальностью.

Наука и технологииТомск

7119

06.12.2020

Ещё одно офисное здание построят на улице Смолина в Улан-Удэ

Центр Улан-Удэ снова ждёт точечная застройка – на свободном участке на улице Смолина, прямо возле кожно-венерологического диспансера, собираются строить офисное здание. По данным публичной кадастровой карты, площадь участка, где развернётся строительство, составляет 798 квадратных метров.

НедвижимостьБурятия

5388

06.12.2020

«Норникель»: «зелёный» курс или очковтирательство?

И смех, и грех. «Норильский никель» провозгласил «зелёный курс». В рамках Дня инвестора металлургическая компания презентовала стратегию развития на ближайшие 10 лет. Её стоимость — 27 миллиардов долларов. А в числе главных ориентиров — экологичность и «зелёная» экономика.

Макс Веселов

Экономика и бизнесКрасноярск

32259

06.12.2020

Путин пообещал российское гражданство преподавателю-итальянцу из Красноярска

Во время встречи президента РФ Владимира Путина с волонтёрами и финалистами конкурса «Доброволец России – 2020» в режиме видеоконференции в День волонтёра итальянец из Красноярска Валерио Занетти попросил у президента российское гражданство.

ОбществоКрасноярск

4879

06.12.2020

Сильные перепады погоды ждут красноярцев во вторую неделю декабря

На вторую неделю декабря в Красноярске прогнозируется переменчивая погода. Об этом сообщает Гидрометцентр по Красноярскому краю. До 9 декабря температура в течение суток будет стабильной: -8.. -11 градусов. Однако при этом ожидается порывистый ветер до 16 метров в секунду.

ГеоКрасноярск

5950

06.12.2020

Допуск к полётам из Иркутска в Китай дали AZUR air и «Уральским авиалиниям»

Авиакомпании AZUR air и «Уральские авиалинии» получили допуск Росавиации для полётов из Иркутска в два китайских города. Приказ был принят 3 декабря и опубликован 4 декабря на сайте ведомства. Так, перевозчик AZUR air будет летать из Иркутска в Сиань пять раз в неделю.

ТранспортИркутск Китай

5945

06.12.2020

242 человека заразились коронавирусом в Бурятии за сутки, 290 выздоровели, шестеро умерли

По данным Управления Роспотребнадзора по Бурятии на утро 6 декабря, в республике с начала пандемии коронавирусом заразилось 20643 человека. За сутки прирост составил 242 случая. 55% заболевших (11446 человек) проживает в Улан-Удэ.

ЗдоровьеПроисшествияБурятия

4672

06.12.2020

В Красноярске Роспотребнадзор проверит концерт певицы Zivert

4 декабря в Красноярске в зале «Гранд Холл Сибирь» прошёл концерт певицы Zivert. После мероприятия в соцсетях появилось большое количество роликов, на которых видно, что в зале не соблюдаются антиковидные ограничения.

ПроисшествияКрасноярск

4446

06.12.2020

В районе аэропорта Иркутска планируется строительство линии скоростного трамвая и автовокзала

В размещенном на сайте администрации города проекте планировки территории в районе аэропорта в 2024-2030 годах запланировано строительство линии скоростного трамвая и автовокзала. Трамвайная линия в направлении аэропорта должна быть протяженностью 1,2 километра.

ТранспортЭкономика и бизнесИркутск

34898

06.12.2020

В Бурятии суд закрыл группу с пропагандой криминальной субкультуры

Железнодорожный суд Улан-Удэ признал запрещенной на территории РФ информацию группы «Офники мемы» в соцсети «ВКонтакте». С иском обратился прокурор района, он предоставил суду скриншоты страниц группы.

РасследованияБурятия

14088

06.12.2020

В Красноярске через шесть лет задержан организатор похищения человека

Следственные органы предъявили обвинение в похищении человека группой лиц по предварительному сговору (пункт «а» части 2 статьи 126 Уголовного кодекса РФ) мужчине 1982 года рождения. В августе 2014 года безвестно пропал 20-летний житель города Сосновоборска.

РасследованияКриминалКрасноярск

16108

06.12.2020

Уголовное дело о «сиротских бараках» в Бурятии направлено в суд

Уголовное дело о непригодных для жизни «сиротских бараках» в селе Сотниково направлено для рассмотрения в Советский районный суд Улан-Удэ.

РасследованияСкандалыЖКХБурятия Россия

20360

06.12.2020

В автомобильной аварии под Нижнеудинском погибли три человека

В Нижнеудинском районе 5 декабря при столкновении «Хонды Фит» и «Тойоты Альтеза» погибли три человека. Еще двое ранены, в том числе один ребенок. Авария произошла на 1368-м километре федеральной автодороги Р-255 «Сибирь».

ПроисшествияТранспортИркутск

6881

06.12.2020

Экс-депутат Хурала Цыдыпов пытается обмануть приставов Бурятии на 64 миллиона рублей?

В 2015 году суд признал руководителя компании «СтамСтрой», экс-депутата Народного Хурала Сергея Цыдыпова виновным в уклонении от налогов на 65 миллионов рублей. По сведениям судебных приставов на 5 декабря 2020 года, за ним до сих пор числится долг в 63,9 миллиона рублей.

Экономика и бизнесРасследованияПолитикаБурятия

16380

05.12.2020

В Красноярском крае более 37 500 заражённых COVID-19

Ещё 331 житель Красноярского края заразился коронавирусом за последние сутки, темп прироста — 0,9%. Общее число зараженных достигло 37 899. Об этом 5 декабря сообщил федеральный оперштаб. С 4 декабря из больниц выписали ещё 352 пациента, за всё время выздоровело 30 379 человек.

ЗдоровьеКрасноярск

4602

05.12.2020

В Иркутске отрицают информацию о 10 смертях из-за недостатка кислорода в ковидарии

В Telegram-каналах появилась информация о том, что в ночь на 5 декабря в иркутском госпитале ветеранов кончился кислород, в результате чего скончалось 10 пациентов с коронавирусом. В минздраве эту информацию отрицают.

ЗдоровьеИркутск

7209

05.12.2020

Ещё четверо жителей Томской области скончались после заражения коронавирусом

По данным на 5 декабря, в Томской области 19 443 случая заражения коронавирусом. Суточный прирост — 205: у 115 человек болезнь протекает без симптомов, у 72 — признаки ОРВИ, у 18 — пневмония. С начала пандемии от COVID-19 выздоровело 14 620 человек, в том числе 213 за последние сутки.

ЗдоровьеТомск

5956

05.12.2020

В Иркутской области скончалось более 1100 заражённых COVID-19

По данным на 5 декабря, в Иркутской области 33 745 случаев заражения коронавирусом, суточный прирост – 279. За всё время выздоровело 29 690 человек, с 4 декабря вылечили ещё 235 пациентов. Количество погибших достигло 1108: 961 умер от COVID-19 (+13), ещё 147 — от иных заболеваний (+2).

ЗдоровьеИркутск

6226

05.12.2020

Поджог полицейского участка под Красноярском назвали терактом. Возбуждено уголовное дело

По информации источников, мужчина, бросивший «коктейль Молотова» в отдел полиции, ранее служил в разведке и считает, что Земля плоская. В отношении него возбуждено уголовное дело, об этом 5 декабря сообщили «Дела.ру».

КриминалРасследованияТерроризмКрасноярск

46733

05.12.2020

Флатиды: самые милые личинки

За пределами Сибири и России животный мир намного более разнообразен. Порой даже не верится, что такое бывает. Одними из таких представителей являются насекомые семейства флатиды. Обитают они в тёплых странах. У взрослой особи есть полезная особенность — они мимикрируют под цветы.

Миша Ковальски

Братья меньшиеМир

24292

05.12.2020

200 лет языковому пейзажисту Афанасию Фету

5 декабря 1820 года родился поэт Афанасий Фет. У него есть стихи, полностью лишённые глаголов, а значит и времени. Ни прошедшего, ни настоящего, ни будущего… Это ли не бессмертие, это ли не вечная молодость и актуальность?

Андрей Игнатьев

КультураКак по-писаномуРоссия

29486

05.12.2020

Уголовное дело против ТГК-14: будет ли наказание?

Следователи возобновили расследование уголовного дела о срезанных батареях: сотрудников ТГК-14, устроивших правовой беспредел в квартирах должников, возможно, наконец привлекут к ответственности.

Александр Макаров

РасследованияОбществоБурятия

36404

05.12.2020

Братские школьники с 7 декабря будут учиться очно

4 декабря городской оперштаб Братска принял решение возобновить очное обучение в школах с 7 декабря. На очную учёбу выйдут 6,7,8 и 10 классы, которые до этого учились дистанционно, сообщает пресс-служба администрации Братска.

ЗдоровьеОбразованиеИркутск

6702

05.12.2020

В Красноярском крае в начале 2021 года начнут прививать от COVID-19

Минздрав Красноярского края 4 декабря рассказал, что в первом квартале в регионе начнётся массовая вакцинация населения от коронавируса. В настоящее время в крае готовятся к приёму большого числа доз вакцины: подготавливают оборудование для хранения и транспортировки.

ЗдоровьеКрасноярск

5608

05.12.2020

В Улан-Удэ нашли улицу с самым грязным воздухом

Общественница Светлана Иванова, руководитель проекта «Байкал 2.0» в Бурятии, 4 декабря опубликовала на своей странице в Facebook результаты двухмесячного мониторинга воздуха в Улан-Удэ. По данным исследования, самый грязный воздух – на Левом берегу столицы Бурятии, в переулке Иволгинский.

ЭкологияБурятия

13035

05.12.2020

Иркутский «Центральный рынок» ждёт оптимизация расходов

После проведения анализа работы иркутского «Центрального рынка» его новый директор Григорий Слезак заявил, что предприятие ждёт оптимизация расходов. Об этом 4 декабря сообщила пресс-служба мэрии Иркутска. «По итогам анализа деятельности предприятия был выявлен ряд проблемных вопросов.

Алина Саратова

Экономика и бизнесИркутск

21860

05.12.2020

От «Коротких встреч» до «Китайской бабушки». Нине Руслановой – 75!

150 ролей в кино, Государственные премии РСФСР и Белорусской ССР, четыре премии «Ника», премия «Золотой орёл» и полное отсутствие государственных орденов и медалей при всепоглощающей народной любви.

Филипп Марков

КультураСобытияРоссия

45910

05.12.2020

В Томске открыли ещё две лаборатории для диагностики COVID-19

В Томске открыли ещё две лаборатории, в которых будут обрабатывать ПЦР-тесты на коронавирус. Они работают на базе томского роддома № 4 и фтизиопульмонологического медцентра, сообщила 4 декабря пресс-служба администрации Томской области.

ЗдоровьеТомск

6809

05.12.2020

В отдел полиции под Красноярском бросили «коктейль Молотова»

В посёлке Шалинское в 90 километрах от Красноярска в ночь на 5 декабря неизвестный бросил в здание отдела полиции бутылку с зажигательной смесью. Об этом сообщает телеграм-канал «Борус». Бутылка влетела в окно второго этажа двухэтажного здания и попала в пролёт между первым и вторым этажами.

ПроисшествияКрасноярск

6769

05.12.2020

В Иркутске ночью горел ТЦ «Стройматериалы»

В ночь на 5 декабря в Иркутске произошёл пожар в ТЦ «Стройматериалы» на улице Рабочая. Об этом сообщает пресс-служба ГУ МЧС России по Иркутской области. Сообщение о возгорании поступило в 05:33. В здании сработала система автоматического пожаротушения.

ПроисшествияИркутск

9137

05.12.2020

Ещё 245 человек заболели COVID-19 в Бурятии

По данным на утро 5 декабря, в Бурятии зарегистрировано 20401 случай заражения коронавирусом. Прирост за сутки составил 245 человек, сообщает республиканский Роспотребнадзор. 56% из выявленных с начала пандемии заболевших – жители Улан-Удэ (11325 человек).

ЗдоровьеПроисшествияБурятия

4988

05.12.2020

Уволенная из мэрии Улан-Удэ Кузовлева возглавила центр занятости населения

Бывшая чиновница мэрии Улан-Удэ Анастасия Кузовлева 23 ноября возглавила центр занятости населения города. На эту должность ее назначило республиканское агентство занятости населения.

ПолитикаОфициозБурятия

23365

05.12.2020

Самоизоляцию для жителей Иркутской области старше 65 лет продлили до 17 января

Оперштаб Иркутской области 4 декабря решил продлить режим самоизоляции для жителей региона старше 65 лет до 17 января 2021 года. Работающие граждане этой возрастной категории по-прежнему могут оформить листок нетрудоспособности.

ЗдоровьеИркутск

7424

05.12.2020

Общественная палата Красноярска предлагает вернуть прямые выборы мэра

Общественная палата Красноярска предложила депутатам вернуть прямые выборы мэра города.

ПолитикаОбществоКрасноярск

16559

05.12.2020

ТГК-14 ищет покупателей для Шерловогорской и Приаргунской ТЭЦ

Для дальнейшего функционирования Шерловогорской и Приаргунской ТЭЦ ПАО «ТГК-14» выставила данные энергоактивы на торги. Приаргунская ТЭЦ находится в Приаргунском районе Забайкальского края. Установленная электрическая мощность тепловой станции – 24 МВт, тепловая мощность – 110 Гкал/ч.

Экономика и бизнесЖКХБурятия Забайкалье

32702

05.12.2020

В первые выходные декабря в Прибайкалье будут крепкие морозы и метели

В первые выходные декабря жителей Иркутской области ожидают крепкие морозы, местами с метелью.

ГеоИркутск

7196

05.12.2020

Развитые страны переходят на водородное топливо, Россия пытается не отстать

На мировом металлургическом рынке назревает крупный конфликт интересов. Азия и Европа думают об экологии и энергонезависимости, а Россия не хочет остаться в стороне.

Анна Амгейзер

ЭкологияЭкономика и бизнесМир Россия Томск

27957

04.12.2020

Худшие главы Бурятии в ноябре. Рейтинг Бабра

Бабр продолжает в ежемесячном режиме отслеживать качество работы и политическую устойчивость глав муниципалитетов Бурятии. 3. Виктор Очиров, Иволгинский район Депутаты иволгинского райсовета большинством голосов отклонили годовой отчет главы муниципалитета Виктора Очирова.

Андрей Светлов

ПолитикаЭкономика и бизнесТранспортБурятия

42564

04.12.2020

Тайные струны. Психологический портрет Виктора Бронштейна

Инженер-механик, бизнесмен, меценат, поэт и писатель, кандидат экономических наук, почётный профессор ИГУ, владелец Галереи современного искусства, автор научных монографий, сборников стихов и публицистической прозы… Размах способностей и сфер интересов Виктора Владимировича Бронштейна ...

Соня Нореман

КультураЭкономика и бизнесИркутск

116914

04.12.2020

Главврач больницы в Минусинске приняла некачественный ремонт и схлопотала уголовное дело

В Красноярском крае стражи порядка завели уголовное дело на бывшего главврача Минусинской районной больницы. 57-летнюю женщину подозревают в превышении должностных полномочий с причинением тяжких последствий. Об этом 4 декабря сообщила пресс-служба краевого следкома.

ЗдоровьеРасследованияКрасноярск

13511

04.12.2020

Помощница депутата думы Томска обвиняет экс-спикера Панова в нанесении синяков

Депутат думы Томска Евгений Лукьянчук написал в своем Telegram-канале, что бывший спикер Сергей Панов накричал на его помощницу и поставил ей синяки на руках. Панов обвинения в рукоприкладстве отрицает. Об этом 3 декабря сообщил портал vtomske.ru.

СкандалыТомск

5495

04.12.2020

Жвачкин: Бедность не порок

Согласно общедоступным данным, в 2019 году губернатор Томской области Сергей Анатольевич Жвачкин задекларировал доход в 16 672 930,43 рублей, что практически на 4 миллиона больше, что в 2018 году.

Виктор Бизар

ПолитикаРасследованияЭкономика и бизнесТомск

25418

04.12.2020

В Бурятии разрешили повысить тарифы ЖКХ. Некоторым придётся платить больше других

1 декабря зампред правительства Бурятии по экономическому развитию Алексей Мишенин подписал распоряжение о предельном индексе увеличения тарифов за коммунальные услуги с июля 2021 года. Однако возможное подорожание услуг ЖКХ по каким-то причинам оказалось неравномерным.

ЖКХЭкономика и бизнесБурятия

14167

04.12.2020

В Улан-Удэ будут регулировать работу светофоров во время «снежных» заторов

На дорогах Улан-Удэ, которые ведут в отдаленные микрорайоны, будут менять режимы работы светофоров во время заторов из-за снегопада. Об этом 4 декабря сообщает пресс-служба городской администрации. Если образовалась пробка, время проезда по улице Иволгинская увеличат до пяти минут.

ТранспортГеоБурятия

5343

04.12.2020

Садово-огородное электричество: Роспотребнадзор разъясняет

В предыдущей статье «Садово-электрические проделки» я описывал одну конфликтную ситуацию, приключившуюся с моими родителями в одном садовом товариществе.

Дмитрий Верхотуров

ОбществоЭкономика и бизнесРоссия

39009

04.12.2020

СК расследует мошенничество с девятью земельными участками в Хомутово

Прокуратура Иркутского района узнала о незаконной постановке на кадастровый учет девяти земельных участков на территории земель лесного фонда в Хомутовском участковом лесничестве. Возбуждено уголовное дело. Об этом 4 декабря сообщает пресс-служба надзорного ведомства.

РасследованияНедвижимостьИркутск

16697

04.12.2020

Мэрия Тулуна пожаловалась на состояние электросетей «Облкоммунэнерго»

Нашей редакции стало известно, что мэр Тулуна Юрий Карих обратился с письмом к губернатору Игорю Кобзеву, в котором сообщает главе региона о «критической ситуации в части обеспечения надежного и безопасного электроснабжения» в Тулуне. Копия письма имеется в распоряжении редакции.

Лера Крышкина

Экономика и бизнесТранспортИркутск

26245

04.12.2020

Экс-депутат Заксобрания Антон Красноштанов назначен первым заммэра Иркутска

Антон Красноштанов получил пост первого заместителя мэра Иркутска. Об этом 4 декабря рассказали в мэрии города. 34-летний Красноштанов будет курировать работу комитетов по управлению округами города. На заседании Заксобрания Иркутской Области 30 ноября он объявил о сложении депутатских полномочий.

ПолитикаОфициозИркутск

26215

04.12.2020

Над Иркутской областью летал самолёт с поддельными номерами

Самолёт с поддельным регистрационным номером нашли на одном из аэродромов Иркутского района. Никто не знает, кому он принадлежит. Полёты на этом самолёте могли привести к гибели людей. Об этом 3 декабря сообщили в Восточно-Сибирской транспортной прокуратуре.

ТранспортИркутск

6881

04.12.2020

COVID-19 выявили ещё у 193 жителей Томской области

Общее число заражений в Томской области достигло 19 238. За сутки коронавирус обнаружили ещё у 193 человек: у 99 болезнь протекает без симптомов, у 83 - признаки ОРВИ, у 11 - пневмония. Об этом 4 декабря сообщил оперштаб.

ЗдоровьеТомск

5446

04.12.2020

В Красноярском крае скончался ещё 21 заражённый коронавирусом

По данным на 4 декабря, в Красноярском крае 37 568 случаев заражения COVID-19. Суточный прирост — 332, темп прироста — 0,9%. С начала пандемии выздоровело 30 027 человек, включая 361 за последние сутки. Количество погибших достигло 1211, скончался ещё 21 заражённый.

ЗдоровьеКрасноярск

5052

04.12.2020

Суд перенёс заседание по иску к «Норникелю» на 148 миллиардов рублей

Арбитражный суд Красноярского края 4 декабря перенёс рассмотрение иска Росприроднадзора о взыскании 148 миллиардов рублей с «дочки» «Норникеля» за крупнейшую экологическую катастрофу в Арктике. Заседание состоится 11 декабря.

РасследованияЭкономика и бизнесЭкологияКрасноярск

18694

04.12.2020

Новый министр здравоохранения пошёл по стопам командира Ярошенко?

Почти год прошёл с отставки Олега Ярошенко с поста министра здравоохранения Иркутской области. Стало лучше? Нет. Но одно изменилось точно — главврачи смогли почувствовать свободу.

Аэлита Хлебникова

ЗдоровьеПолитикаИркутск

33963

04.12.2020

Новости Ольхонской трассы: Хужир отдали Ерощенко

Неожиданный поворот в истории со строительством многострадальной трассы на байкальском острове Ольхон. Напомним, еще в августе 2017 года президент Владимир Путин поручил областному Правительству «сделать дорогу» на Ольхоне. Прошло больше трех лет, воз и ныне там.

Антoн Херсонцев

Экономика и бизнесРасследованияИркутск Байкал

41350

04.12.2020

Владельца торгового павильона на томском вокзале оштрафовали на миллион за взятки

ООО «Регион-Сервис» заплатит миллион рублей за взятки начальнику железнодорожного вокзала «Томск-1» и мастеру участка. Предприниматель хотел незаконно провести в свой павильон воду и электричество. Нарушение выявила транспортная прокуратура.

КриминалТомск

5263

04.12.2020

Пляски на выборах мэра Красноярска продолжаются

Постоянная комиссия по городскому самоуправлению городского совета Красноярска не смогла принять решение по законопроекту, который предполагает возврат прямых выборов мэра.

Александр Тубин

ПолитикаКрасноярск

18066

04.12.2020

На севере Байкала зафиксировано землетрясение магнитудой 4,8

В 20:37 3 декабря в Северо-Байкальском районе Бурятии зафиксировано землетрясение магнитудой 4,8. В эпицентре в бассейне реки Верхняя Ангара интенсивность подземных толчков составила 7 баллов, энергетический класс – 12,7.

ГеоБурятия Байкал

6659

04.12.2020

Почему ветслужба не закрывает живодёрский приют «Пять звёзд»?

Казалось бы, история о приюте в Карлуке, который принадлежит ООО «Пять звёзд», владелец Александр Солдатов, разнеслась уже на всю страну. О ней говорил и депутат Госдумы Владимир Бурматов. На площадке «Change.

Миша Ковальски

Братья меньшиеРасследованияИркутск

33216

04.12.2020

Бывшего начальника УКСа Бурятии будут судить за служебный подлог

Следователи передали в суд материалы уголовного дела против экс-начальника Управления капитального строительства Бурятии Виктора Гуслякова. Его обвиняют в служебном подлоге.

РасследованияБурятия

24292

04.12.2020

«Удалёнка» — теперь законно

«Удалёнка» и «дистант» — новая нормальность. Когда весной в Россию пришла коронавирусная эпидемия, работодатели по всей стране стали отправлять своих сотрудников на удалённый режим работы — домой.

Алиса Беглова

ОбществоРоссия

7820

04.12.2020

Врио ректора БГУ Игнатенко: весь в белом на фоне губернатора и прочих политических звезд Попсовета БГУ

Продолжается увлекательный сериал «Попсовет БГУ: все звезды», начало которого наши читатели могут посмотреть здесь и здесь.

Лера Крышкина

ОбразованиеРасследованияИркутск

142081

04.12.2020

В Прибайкалье за сутки умерло 14 человек с COVID-19, выздоровело 248 человек

По состоянию на утро 4 декабря в Иркутской области зарегистрировано 33466 лабораторно подтверждённых случаев коронавирусной инфекции. За последние сутки заболевание выявлено у 275 человек. 3752 человека проходят лечение в стационарах, ещё 5056 лечатся амбулаторно.

ЗдоровьеИркутск

5114

04.12.2020

Медсёстры больницы в Козульке пожаловались на условия в ковидном отделении

Сотрудница Козульской районной больницы пожаловалась в редакцию «НГС24» на проблемы инфекционного отделения. По словам медсестры, лекарств для пациентов не хватает, врача нет, а эпидрежим невозможно соблюдать в старом деревянном здании.

ЗдоровьеЭкономика и бизнесКрасноярск

17212

04.12.2020

Детеныш леопарда стал жертвой бабуина

В этом году в нацпарке Пиланесберг, а позднее и в парке Крюгера (ЮАР) туристы заметили похищения детенышей леопарда приматами. Туристы, проезжавшие в нацпарке Пиланесберг мимо большой группы павианов, были ошарашены тем, что увидели в руках самца стаи маленького детеныша леопарда.

Есения Линней

Братья меньшиеМир

12037

04.12.2020

В Солзане люди остались без света и воды

Вечером 3 декабря в двух посёлках Иркутской области произошли аварийные отключения электроснабжения. В 22:22 авария случилась в посёлке Солзан Слюдянского района. Без света остались 46 частных жилых домов и два социально значимых объекта.

ПроисшествияЖКХИркутск

13850

04.12.2020

Роспотребнадзор оценит влияние окружающей среды на жителей Усолья-Сибирского

С 7 по 11 ноября Роспотребнадзор Иркутской области организует углубленные исследования состояния среды обитания и здоровья населения в Усолье-Сибирском.

ЗдоровьеЭкологияИркутск

12840

04.12.2020

В Бурятии число заболевших коронавирусом превысило 20 тысяч

По состоянию на 8 утра 4 декабря в Бурятии зафиксировано 20156 случаев заражения коронавирусом. 11202 из них — в Улан-Удэ. За последние сутки количество заражённых выросло на 243 человека. У 202 пациентов заболевание выявили после жалоб на симптомы ОРВИ, остальные – контактные.

ЗдоровьеБурятия

5519

04.12.2020

Томская область не получила право на создание НОЦ мирового уровня

Томская область не вошла в состав регионов, которые прошли во второй этап конкурса на право создания научно-образовательного центра (НОЦ) мирового уровня.

ОбразованиеНаука и технологииТомск Россия

6726

04.12.2020

Предприниматели взбунтовались в Улан-Удэ против высокой арендной платы

На территории торгового комплекса «Народный» в Улан-Удэ взбунтовались арендаторы: 3 декабря они потребовали от администрации снижения арендной платы. Кто-то из предпринимателей получил сообщение на телефон, что если они не рассчитаются за аренду до 7 декабря, торговые павильоны закроют.

Экономика и бизнесПроисшествияБурятия

13703

04.12.2020

В новогодние праздники туристов в Санкт-Петербурге не ждут

В православное Рождество и новогодние праздники в Санкт-Петербурге туристов не ждут. В связи с распространением коронавирусной инфекции власти Санкт-Петербурга вводят новые ограничения.

ЗдоровьеТуризмРоссия

6486

04.12.2020

Суд продлил домашний арест Быкову, находящемуся в СИЗО по другому уголовному делу

Железнодорожный районный суд Красноярска 3 декабря продлил меру пресечения в виде домашнего ареста бизнесмену Анатолию Быкову до 4 января 2021 года.

РасследованияКриминалКрасноярск

13157

04.12.2020

Томский аэропорт открывает продажи билетов на прямые рейсы в Санкт-Петербург

Аэропорт Томска 3 декабря объявил об открытии продаж билетов на прямые рейсы по маршруту Санкт-Петербург – Томск – Санкт-Петербург в преддверии Нового года и в новогодние каникулы. Полеты будут выполнять авиакомпании «Северный ветер» и «Икар».

ТранспортТуризмТомск Россия

7346

04.12.2020

Жительницу Бурятии подозревают в совершённом семь лет назад убийстве мужа

В Бурятии обнаружены останки человека, бесследно пропавшего семь лет назад. В местности Песчаный Карьер возле села Верхний Бургалтай 11 октября 2020 года во время земляных работ были найдены человеческие останки, завернутые в окровавленные одеяло и брезент.

РасследованияКриминалБурятия

14797

04.12.2020

В ноябре ВСЖД сократила перевозки пассажиров почти на 30 процентов

В ноябре 2020 года перевозки пассажиров на ВСЖД сократились почти на треть. Причиной значительного сокращения объема перевозок стала пандемия коронавируса.

ТранспортЭкономика и бизнесИркутск

14700

04.12.2020

Озеленение от Шутенкова: в лучших традициях “города для людей”

Похоже, администрации Улан-Удэ впору патентовать новые технологии развития городской среды в экстремальных условиях. В столице Бурятии подрядчики и ответственные за них чиновники так упорно работают, что летние работы заканчивают уже по колено в снегу.

Андрей Светлов

ПолитикаБурятия

28018

03.12.2020

Рыжая бестия Голливуда. К юбилею Джулианны Мур

«Наёмные убийцы», «Большой Лебовски», «Ганнибал», «Законы привлекательности», «Эта дурацкая любовь», «Звёздная карта», «Всё ещё Элис»… 3 декабря 60-летний юбилей отмечает выдающаяся американская актриса, лауреат Каннского, Берлинского и Венецианского кинофестивалей, премий «Оскар», BAFTA, «Эмми» и ...

Филипп Марков

КультураСобытияМир

51190

03.12.2020

АО «НТЭК» пытается оспорить штрафы Росрыболовства за разлив топлива в Норильске

Дочерняя структура «Норникеля» АО «НТЭК» намерена обжаловать выписанные Енисейским территориальным управлением Федерального агентства по Рыболовству штрафы за разлив нефтепродуктов на ТЭЦ-3 в Норильске. Об этом 3 декабря сообщает пресс-служба Красноярского краевого суда.

РасследованияПроисшествияЭкологияКрасноярск

24398

03.12.2020

РФС и Минспорта помогут построить новый стадион в Томске

Глава Томской области Сергей Жвачкин подписал соглашение о сотрудничестве с Российским футбольным союзом и Минспорта. Об этом 3 декабря сообщила пресс-служба администрации региона.

СпортНедвижимостьТомск Россия

6390

03.12.2020

Скандальная ДСИО получила контракт на дороги за 410 миллионов в ОЭЗ «Ворота Байкала»

Дорожная служба Иркутской области выиграла аукцион на строительство дорог в двух микрорайонах Байкальска, которые входят в особую экономическую зону «Ворота Байкала». Аукцион провели 2 декабря. ДСИО была единственным участником аукциона.

Экономика и бизнесИркутск

19107

03.12.2020

Бивни мамонта оказались объектом древнего изобразительного искусства

Развитие науки и техники в настоящее время помогает открывать многие новые детали давних исследований.

Есения Линней

Наука и технологииИсторияКрасноярск

13178

03.12.2020

Верховный суд РФ защитил право магазинов не обслуживать безмасочников

Верховный суд РФ защитил право магазинов отказывать в обслуживании гражданам, не использующим маски. Об этом 2 декабря сообщало РИА Новости. В суд поступил административный иск от смоленской организации по защите прав потребителей.

ОбществоЗдоровьеРоссия

5706

03.12.2020

Минздрав предупредил о приближении третьей волны коронавируса в Красноярском крае

Министр здравоохранения Красноярского края Борис Немик заявил, что ситуация с коронавирусом в регионе стабилизировалась, однако вскоре край может накрыть третьей волной COVID-19. Об этом он рассказал 3 декабря на заседании комитета по охране здоровья Заксобрания.

ЗдоровьеКрасноярск

6474

03.12.2020

Коронавирус в России: новые антирекорды

Эпидемия в России стала рутиной, но это не значит, что болеть и умирать стали меньше. Парализованная система здравоохранения не в силах эффективно реагировать на угрозу, а в это время Кремль занят неуместным пиаром. Новый день — новый рекорд.

Антoн Херсонцев

ПолитикаЗдоровьеРоссия

20806

03.12.2020

СК прекратил уголовное дело против главы Курумкана. Его обвиняли в мошенничестве

В начале 2020 года главу села Курумкан в Бурятии Жаргала Гатапова обвинили в попытке обмануть местную жительницу на 250 тысяч рублей. Однако в декабре выяснилось, что уголовное дело по каким-то причинам прекратили.

РасследованияНедвижимостьБурятия

14776

03.12.2020

Санатории Бурятии вошли в топ-5 популярных для осеннего отдыха регионов ДВФО

Бурятия вошла в пятерку самых популярных регионов для осеннего отдыха в санаториях Дальневосточного федерального округа (ДВФО). Рейтинг регионов России по популярности и приемлемой стоимости санаторного отдыха прошедшей осенью по данным броней путевок составил портал бронирования Санатории-России.

ТуризмЗдоровьеЭкономика и бизнесБурятия Россия

16804

03.12.2020

Жителям Улан-Удэ советуют реже выходить на улицу из-за грязного воздуха

С 20 по 25 ноября специалисты Роспотребнадзора Бурятии исследовали атмосферный воздух в Улан-Удэ. Тесты показали превышение предельно допустимой концентрации ряда загрязняющих веществ. Об этом 3 декабря сообщает пресс-служба ведомства.

ЭкологияОбществоБурятия

11086

03.12.2020

Дело ачинского депутата-«гопника» добралось до суда

Дорожный конфликт с участием действующего депутата Ачинского районного совета Олега Сидорова получил развитие. Коротко напомним суть происшествия: в конце октября автобус № 225 ездил по Ачинску с объявлением в окне, что его маршрут дублирует путь автобуса № 1.

Александр Тубин

ПолитикаСкандалыКрасноярск

19702

03.12.2020

ВИЧ: реальная эпидемия в России и Иркутске

Времена, когда ВИЧ заражались люди из социально неблагополучных групп, давно прошли. Теперь эта проблема касается каждого из нас. Вирус иммунодефицита человека (ВИЧ) – это инфекция, вызываемая ретровирусом двух типов, которые живут в определенных клетках крови (лейкоциты Т-хелперы или CD4).

Анна Амгейзер

ЗдоровьеОбществоРоссия Иркутск

10205

03.12.2020

В Томской области уже более 19 000 заражённых COVID-19. Ещё трое умерли

За последние сутки COVID-19 выявили ещё у 199 жителей Томской области, общее количество заражений достигло 19 045. Об этом 3 декабря сообщил оперштаб. С начала пандемии выздоровело 14 169 человек, со 2 декабря из больниц выписали ещё 253 пациента.

ЗдоровьеТомск

4636

03.12.2020

Сразу 30 пациентов с COVID-19 скончались в Красноярском крае

По данным на 3 декабря, в Красноярском крае 37 236 случаев заражения коронавирусом. Суточный прирост — 333, темп прироста — 0,9%. За всё время выздоровело 29 666 человек, включая 333 за последние сутки. Количество погибших достигло 1190.

ЗдоровьеКрасноярск

5613

03.12.2020

В Улан-Удэ нашли незаконную свалку с отходами 4 класса опасности

Жители ТОС «Эрдэни» пожаловались на крупную свалку в карьере рядом с Промышленным парком. Выяснилось, что кто-то незаконно свозил сюда мусор четвёртого класса опасности. Об этом 3 декабря сообщила пресс-служба омбудсмена Бурятии.

ЭкологияБурятия

13219

03.12.2020

В Томской области сирот поселили в квартирах без воды и канализации

Спустя пять лет уголовное дело против главы Чажемто в Томской области дошло до суда. Ущерб от злоупотребления полномочиями оценивается в пять миллионов рублей. Об этом 2 декабря сообщили в Генпрокуратуре.

НедвижимостьЖКХТомск

17692

03.12.2020

Новый спор из-за исторических границ Томска

Вопрос исторических границ Томска снова заострился. Представители томского ВООПИК (всероссийского общества охраны памятников истории и культуры) не стали подписывать итоговый протокол заседания рабочей группы по проекту границ исторического поселения города. Из-за чего?

Андрей Игнатьев

ИсторияКультураТомск

24299

03.12.2020

В Белых Росах затопило парковку, а жители остались без воды

Ночью 3 ноября возле дома №11 на улице Карамзина в Красноярске прорвало трубу с холодной водой. Десятки автомобилей на парковке затопило, а жители девяти домов остались без воды. Как сообщили в «Краскоме», авария произошла на бесхозном участке водопровода, который не числится на балансе учреждения.

ПроисшествияЖКХКрасноярск

17297

03.12.2020

Учёные из Томска вошли в состав арктической экспедиции благодаря уникальной разработке

Учёные из лаборатории радиофизических и оптических методов изучения окружающей среды РФФ ТГУ разработали уникальный комплекс для изучения экологического состояния акваторий. Он состоит из голографического сенсора, датчика микроволновой проводимости, температуры и давления.

Наука и технологииТомск

6435

03.12.2020

Депутатские анализы: зачем Иркутской области мазки из глоток парламентариев?

На днях выяснилась любопытная вещь: оказывается, депутатов Законодательного собрания Иркутской области бесплатно тестируют на коронавирус.

Камиль Фахрутдинов

ПолитикаОбществоЗдоровьеИркутск

26120

03.12.2020

Старый аэровокзал на Взлётке признали объектом культурного наследия

Заксобрание Красноярского края признало старый аэровокзал объектом культурного наследия. Теперь на его фасаде запрещено размещать рекламу, а также каким-либо образом видоизменять его облик, как снаружи, так и внутри.

НедвижимостьИсторияКрасноярск

7174

03.12.2020

В Иркутске протесты против застройки на Юрия Тена переросли в физические столкновения. Видео

В Иркутске продолжаются протесты жителей Университетского против застройщика нового жилого комплекса Life. Дошло до физических столкновений. Видео, на котором вставшие в сцепку жители не пропускают к месту строительства представителей «Грандстроя», опубликовал 3 ноября иркутский штаб Навального.

ОбществоНедвижимостьИркутск

15775

03.12.2020

Сечин забирает у Худайнатова Пайяху

«Роснефть» её бизнес-сателлит «Нефтегазхолдинг» проворачивают между собой хитросплетённые сделки по обмену активами. Компания Игоря Сечина продаёт доли в шести действующих проектах по добыче «Нефтегазхолдингу».

Макс Веселов

Экономика и бизнесКрасноярск Россия

42190

03.12.2020

Массовая вакцинация от коронавируса начнётся в Прибайкалье не раньше 2021 года

Замминистра здравоохранения Иркутской области Елена Голенецкая сообщила, что в первом квартале 2021 года в регионе планируют начать массовую вакцинацию населения от COVID-19. На данный момент прививки уже поставили 42 медработникам, все они хорошо перенесли вакцинацию.

ЗдоровьеИркутск

6543

03.12.2020

Путин планирует перевести прокурора Прибайкалья Александра Воронина на Дальний Восток

Совет Федерации одобрил предложенные президентом кандидатуры на должности прокуроров пяти регионов. В их числе – прокурор Иркутской области Александр Воронин, которого Владимир Путин решил назначить транспортным прокурором на Дальнем Востоке.

ОфициозИркутск

8398

03.12.2020

В Прибайкалье за сутки умерло 12 человек с COVID-19, выздоровело 278 человек

По состоянию на утро 3 декабря в Иркутской области зарегистрирован 33191 лабораторно подтверждённый случай коронавирусной инфекции. За последние сутки заболевание выявлено у 280 человек. 3785 человек проходят лечение в стационарах, ещё 5019 лечатся амбулаторно.

ЗдоровьеИркутск

5327

03.12.2020

«Норникелю» рекомендовано запустить масштабный экомониторинг

Директор Института геологии и минералогии имени В. С. Соболева Сибирского отделения РАН Николай Крук по итогам Большой норильской экспедиции рекомендовал «Норникелю» запустить всеобъемлющий экологический мониторинг.

ПроисшествияЭкологияСкандалыКрасноярск

21263

03.12.2020

Отходы БЦБК пустят на удобрение?

Неужели волшебный способ ликвидировать ядовитый склад наконец-то найден и на него даже не потребуется тратить миллиарды федеральных денег?

Миша Ковальски

ЭкологияНаука и технологииИркутск Байкал

30522

03.12.2020

На достраивание 32 проблемных недостроев в Красноярском крае нашли деньги

Дополнительное соглашение заключили министерство строительства Красноярского края и федеральный Фонд помощи обманутым дольщикам. По данному документу шесть домов «ЖСК-1» и пять домов «Строинвеста» получат финансирование, из краевого бюджета на достройку этих домов выделили 440 миллионов рублей.

НедвижимостьКрасноярск

5536

03.12.2020

Декорирование торта с помощью кондитерских насадок

Фигурные украшения на тортах появились давно. Несмотря на все сегодняшние тенденции они остаются популярными. Умение пользоваться кондитерскими насадками и мешком важные навыки для каждого кондитера.  Кондитерские насадки — что же это?

Ярослава Грин

ОбществоРоссия

37306

03.12.2020

В ковидном стационаре БСМП скончался экс-министр здравоохранения Бурятии Владимир Тармаев

2 декабря в ковидном стационаре БСПМ скончался бывший министр здравоохранения Бурятии Владимир Тармаев. Об этом сообщается в официальном аккаунте больницы в Instagram. Тармаев занимал должность министра с 1987 по 1994 годы.

ПроисшествияЗдоровьеБурятия

5901

03.12.2020

Бывший транспортный прокурор Иркутска Лев Чикичев арестован на 2 месяца

Бывший транспортный прокурор Иркутска Лев Чикичев помещён под стражу на два месяца по решению Свердловского районного суда. Об этом сообщает пресс-служба суда. Напомним, о задержании Льва Чикичева сообщили 1 декабря.

ПроисшествияИркутск

8726

03.12.2020

Общее число заболевших COVID-19 в Бурятии подходит к 20 тысячам человек

С начала пандемии в Бурятии коронавирусом заразилось уже 19913 человек. Прирост, по данным на 3 декабря, составил 238 новых случаев, сообщает республиканский Роспотребнадзор. 56% заболевших (11080 человек) проживает в Улан-Удэ.

ЗдоровьеПроисшествияБурятия

4391

03.12.2020

Японцы "вернули" себе Курилы. На бумаге

Громкий скандал в Красноярском крае. Заместитель консула Японии передал в дар Минусинкому музею журналы, в которых Курилы обозначены как часть страны Восходящего солнца. На подарок сразу обратили внимание работники музея. Информация была немедленно передана в Министерство иностранных дел России.

Максим Бакулев

РасследованияПолитикаКрасноярск Иркутск

29110

03.12.2020

Подельники обманули красноярских чиновниц, устроив махинации с сиротскими квартирами

Во время расследования дела о махинациях с сиротскими квартирами в Балахтинском районе Красноярского края следователи выявили эпизод получения взятки двумя чиновницами районной администрации. Об этом сообщает ГСУ СКР по Красноярскому краю и Республике Хакасия.

ПроисшествияКриминалКрасноярск

4799

03.12.2020

Ещё один врач скончался от коронавируса в Бурятии

Реаниматолог Кабанской ЦРБ Павел Душкин скончался от коронавируса. Он работал в ковидном госпитале. Об этом 2 декабря сообщил «Номер Один». Душкину было 53 года. В октябре его перевели в ковидный госпиталь на базе инфекционного отделения Селенгинской больницы.

ПроисшествияЗдоровьеБурятия

5168

03.12.2020

Сибирскому центру ФМБА в Томске назначили нового руководителя

Временным гендиректором Сибирского центра Федерального медико-биологического агентства России в Томске и Северске стал главврач Северской клинической больницы Александр Маевский. Соответствующий приказ ФМБА России опубликован 2 декабря. Маевский приступил к своим новым обязанностям с 24 ноября.

Наука и технологииЗдоровьеТомск

6390

03.12.2020

В ковидных центрах Иркутска будут делать экспресс-тесты

В Иркутской области начали делать экспресс-тесты на коронавирус. Об этом 2 декабря на своей странице в Instagram сообщил губернатор региона Игорь Кобзев. Первые тесты делают в новом амбулаторно-ковидном центре, который 30 ноября открылся на базе поликлиники №8 в Ново-Ленино.

ЗдоровьеИркутск

4522

03.12.2020

Трубопровод на Таймыре в Красноярском крае был незарегистрированным

Трубопровод, расположенный на берегу реки Хатанга на Таймыре, где произошёл разлив нефти, не был зарегистрирован. Об этом 2 декабря заявила краевая прокуратура. Напомним, в сентябре при перекачке сырой нефти с танкера «Ленанефть-2060» для нужд ООО «Энергия» разлилось более 0,56 тонны топлива.

ПроисшествияЭкологияКрасноярск

12158

03.12.2020

Естественный отбор. Как Шнур перед Бастой извинялся

Конфликт Сергея Шнурова и рэпера Басты (в миру Василий Вакуленко) исчерпан.

Филипп Марков

КультураСкандалыРоссия

43656

03.12.2020

Неспокойная Бурятия: в Иволгинском районе снова разгорелась война за власть

Еще один муниципалитет Бурятии охватила смута - депутаты Иволгинского района открыто выступили против главы Виктора Очирова и готовятся к выносу из администрации его политического трупа. На замену ему уже выстроилась очередь из потенциальных кандидатов.

Андрей Светлов

ПолитикаБурятия

34944

02.12.2020

Звезда «Заречной улицы». Ушла из жизни Нина Иванова

1 декабря в Москве на 87 году жизни скончалась легендарная советская киноактриса, исполнительница главной роли в фильме «Весна на Заречной улице» Нина Иванова. О смерти звезды советского экрана сообщил Союз кинематографистов России.

Филипп Марков

It`s my life...КультураРоссия

52372

02.12.2020

Смертоносный коронавирус. Умер народный артист России Борис Плотников

2 декабря в Москве от осложнений, вызванных коронавирусной инфекций, на 72 году жизни скончался выдающийся российский актёр театра и кино, ведущий актёр Московского художественного театра имени А. П. Чехова, профессор ГИТИСа, народный артист России Борис Плотников.

Филипп Марков

It`s my life...КультураРоссия

61382

02.12.2020

Инсайд. Налоговая подала заявление о банкротстве АО «Нефтяная компания Дулисьма»

Налоговая подала заявление о банкротстве АО «Нефтяная компания Дулисьма», которое подконтрольно банкиру Алексею Хотину.

Василий Чайкин

Экономика и бизнесИркутск

19559

02.12.2020

В Улан-Удэ на месяц сорвали сроки укладки тротуарной плитки

Тротуарную плитку на улице Коммунистическая и пересечении улиц Ербанова и Коммунистическая в Улан-Удэ должны были уложить к 1 ноября. Подрядчик затянул работу, сдачу перенесли на 1 декабря. По состоянию на 2 декабря плитка все еще не готова. Об этом сообщает ИА «Байкал-Daily».

ЖКХОбществоБурятия

14987

02.12.2020

Замглавы Томской области рассказал о «ковидной» обстановке в районах региона

Заместитель губернатора Томской области по социальной политике Иван Деев рассказал о том, как обстоят дела с коронавирусом в районах региона. По его словам, напряженная ситуация сейчас только в Колпашево, Асино и Стрежевом. Об этом 2 декабря сообщает портал vtomske.ru.

ЗдоровьеОбществоТомск

5871

02.12.2020

Обвиняемому в убийстве журналиста Исе Хашиеву продлили срок ареста

Известного минусинского политика и бизнесмена Ису Хашиева обвиняют в организации убийства местного журналиста и издателя газеты «Тон-М» Дмитрия Попкова.

РасследованияКриминалКрасноярск

15441

02.12.2020

Школьников Красноярского края возвращают на очное обучение, но не во всех городах

С 7 декабря школьников Красноярского края переводят на очное обучение, но не во всех городах. Об этом 2 декабря сообщает региональный оперштаб по коронавирусу.

ОбразованиеЗдоровьеОбществоКрасноярск

7587

02.12.2020

Скандал с Театром Пилигримов: добро пожаловать в столицу

Как и предсказывал Бабр, затеянная Министерством культуры и архивов Иркутской области история с ликвидацией Театра Пилигримов путём присоединения его к Музыкальному театру, не замедлила выйти на федеральный уровень.

Филипп Марков

КультураСкандалыИркутск

62663

02.12.2020

СК предъявил обвинение Наталии Ледяевой. Ей грозит до 10 лет лишения свободы

Экс-министру здравоохранения Иркутской области Ледяевой, её сыну и ещё трём фигурантам уголовного дела о мошенничестве с масками 2 декабря предъявили официальное обвинение. Всех четверых обвиняют в мошенничестве в особо крупном размере.

РасследованияПолитикаИркутск

21324

02.12.2020

На Сергея Левченко составили протокол за участие в несогласованном митинге

Полиция направила в Кировский райсуд Иркутска административный протокол по статье «Участие в несогласованном публичном мероприятии» в отношении Сергея Левченко, полного тезки бывшего главы Прибайкалья. Об этом 2 декабря сообщает «Тайга.инфо».

ПолитикаЭкологияОбществоИркутск

24035

02.12.2020

Красноярские единороссы обзавелись собственным «тиндером»

Первого декабря партия «Единая Россия» отпраздновала свой день рождения. Однако красноярские единороссы предпочли почему-то особо не афишировать столь радостное событие.

Александр Тубин

ПолитикаКрасноярск

22817

02.12.2020

Шарик ждёт подарка: новогодний сбор помощи пройдёт в Иркутске

Ежегодная акция по сбору помощи для животных в приютах пройдёт и в 2020 году. Коронавирус не помешает случиться праздничному добру. Акция состоится 19 и 20 декабря на площадке рынка «Новый», который находится по адресу — Иркутск, улица Советская, 58.

Миша Ковальски

Братья меньшиеИркутск

7457

02.12.2020

Зимний потоп. В Бурятии река вышла из берегов и затопила дорогу к селу

Из-за забитого льдом устья реки Мантуриха вода начала выходить из берегов и затопила дорогу, ведущую к одноимённому селу. Власти уже закупают товары первой необходимости для местных жителей. Вечером 1 декабря уровень воды, вышедшей на пойму, составил 70 сантиметров.

ПроисшествияГеоБурятия

5774

02.12.2020

Депутаты Заксобрания и «Красноярскнефтепродукт» готовят экологический распил?

В течение многих лет нефтепродукты в районе Октябрьского моста попадают в воды Енисея. Об этой проблеме известно ещё с 2005 года.

Richie Monroe

ЭкологияЭкономика и бизнесРасследованияКрасноярск

26502

02.12.2020

Целых 20 лет ищут исчезнувшие записи Чарльза Дарвина

Библиотека Кембриджского университета объявила об обращении за помощью в поиске двух пропавших без вести записных книжек, одна из которых содержит знаменитый эскиз Чарльза Дарвина 1837 года «Древо жизни», изображенный ниже. Фото: Сam.ac.

Есения Линней

Наука и технологииИсторияМир

10123

02.12.2020

В Томской области занято 70% коек для больных с COVID-19

На 2 декабря коронавирус выявили у 18 846 жителей Томской области. За последние сутки инфекцию нашли ещё у 205 человек: у 99 болезнь протекает без симптомов, у 94 — признаки ОРВИ, ещё у 12 — пневмония.

ЗдоровьеТомск

4676

02.12.2020

Коронавирус выявили ещё у 335 жителей Красноярского края

По данным на 2 декабря, в Красноярском крае 36 903 случая заражения коронавирусом. Суточный прирост — 335, темп прироста — 0.9%. С начала пандемии выздоровело 29 333 человека, в том числе 334 за последние сутки. Количество погибших достигло 1160, скончалось ещё 20 пациентов с COVID-19.

ЗдоровьеКрасноярск

5782

02.12.2020

Михаил Хардиков: стало ясно, что вектор верный

Неплатежи за электроэнергию в октябре снова начали расти. Узаконенная в связи с коронавирусом возможность не платить вовремя – угроза для всех энергетических предприятий, говорит глава энергетического бизнеса En+ Group Михаил Хардиков.

Александр Волобуев

Экономика и бизнесЭкологияРоссия Красноярск Иркутск

34361

02.12.2020

Академлес – следующая жертва строительной мафии?

Новость о возможной вырубке леса на границе Иркутска и Марковского МО вызвала шквал негодования у общественности. Мы решили разобраться что к чему. Все началось со странного объявления на сайте «Авито».

Роман Русских

ЭкологияРасследованияОбществоИркутск

48255

02.12.2020

Монголия находится на пороге климатической катастрофы

Международная группа ученых обнародовала результаты исследования изменения климата на территории Монгольского плато за 250 лет. Последние два десятилетия наблюдается аномальная ситуация, не имеющая прецедентов в прошлом: частота тепловых волн и засух в регионе резко увеличилась и продолжает расти.

Алиса Канарис

ЭкологияГеоМонголия

63609

02.12.2020

Экс-министра здравоохранения Прибайкалья Ледяеву арестовали до февраля

Наталию Ледяеву и её сына обвиняют в мошенничестве в особо крупном размере из-за поставок контрафактных масок в медучреждения Иркутской области. По версии следователей, они украли около 25 миллионов рублей из бюджета региона.

РасследованияПолитикаИркутск

19607

02.12.2020

Цены на топливо в Монголии снизятся на 50%

В Монголии с 3 декабря этого года до 1 апреля 2021 года розничная цена на улучшенное топливо для домашнего потребления будет снижена на 50%. Как передает монгольское информагентство "Монцамэ", об этом сообщил вице-премьер Я.Содбаатар на сегодняшнем заседании Кабмина.

Экономика и бизнесОбществоМонголия

19856

02.12.2020

Плановое отключение теплоснабжения в центре Иркутска

Отключение теплоснабжения 102 домов в Правобережном районе Иркутска с 09:00 до 24:00 (ирк) 2 декабря связано с запланированным накануне ремонтом на подающем трубопроводе тепловой сети на улице Пролетарская. Автор: Кирилл Шипицин Фото из альбома "Иркутск.

ПроисшествияЖКХИркутск

15846

02.12.2020

В Красноярском крае сохраняется дефицит коек для пациентов с COVID-19

В Красноярском крае из 6980 коек для больных коронавирусом занято только 73,6%. При этом в отдалённых районах пациентов некуда госпитализировать из-за сильного дефицита коек. В этих муниципалитетах стараются организовать дополнительные места, а пока направляют пациентов в больницы соседних районов.

ЗдоровьеКрасноярск

6409

02.12.2020

Монголия готова приобрести новую противокоронавирусную вакцину

Во время онлайн-встречи с президентом Халтмаагийном Баттулгой руководство англо-шведской фармацевтической компании "AstraZeneca" выразило готовность сотрудничать с Монголией, а также включить её в список стран, которые в первую очередь получат поставку вакцины AZD1222.

ЗдоровьеПолитикаМонголия

18949

02.12.2020

Енисейское всё: губернатор Усс «захватил» Иркутскую область

Неутомимому губернатору-пенсионеру Александру Уссу тесно в Красноярском крае. Оно и понятно — регион не велик размером, негде разгуляться державной мысли. В последнее время Иркутская область превратилась в своеобразный переходящий приз для сибирских губернаторов-технократов.

Антoн Херсонцев

ПолитикаЭкономика и бизнесОбществоИркутск Красноярск

28936

02.12.2020

Баира Жамбалова не пустят погулять в новогоднюю ночь

1 декабря Советский районный суд Улан-Удэ оставил бывшего вице-спикера Народного Хурала Баира Жамбалова под домашним арестом ещё на месяц, до 6 января. Таким образом, и новогоднюю ночь, и годовщину ужасного ДТП в Батурино он встретит дома. Уголовное дело до сих пор не передано в суд.

РасследованияПолитикаБурятия

15735

02.12.2020

В Прибайкалье за сутки умерло 18 человек с COVID-19, выздоровело 245 человек

По состоянию на утро 2 декабря в Иркутской области зарегистрировано 32911 лабораторно подтверждённых случаев коронавирусной инфекции. За последние сутки заболевание выявлено у 271 человека. 3850 человек проходят лечение в стационарах, ещё 4965 лечатся амбулаторно.

ЗдоровьеИркутск

5157

02.12.2020

В Прибайкалье и Красноярском крае растёт задолженность по зарплатам

По данным Росстата на 27 ноября, 282 организации Сибирского федерального округа задолжали своим сотрудникам более полутора миллиардов рублей. С февраля в пяти регионах этот показатель увеличился на 25%, в их числе Иркутская область и Красноярский край.

Экономика и бизнесИркутск Красноярск

15760

02.12.2020

"Преемники" Егора Лигачёва

29 ноября отпраздновал свой вековой юбилей почётный гражданин Томской области, её многолетний руководитель Егор Кузьмич Лигачёв. На следующий день спикер Гордумы Томска Чингис Акатаев предложил назвать одну из улиц города именем юбиляра, акцентируя внимание на личном с ним знакомстве.

Андрей Игнатьев

ПолитикаИсторияТомск

29288

02.12.2020

Иркутянка отсудила компенсацию за сбитую поездом мать

«РЖД» и «Ингосстрах» выплатили компенсации дочери женщины, которую сбил поезд в августе 2019 года. Инцидент произошёл на перегоне станции Иркутск-Пассажирский. Женщина вышла на пешеходный переход перед приближающимся поездом. Машинист подал сигнал, женщина оглянулась, но осталась стоять на месте.

ПроисшествияИркутск

5717

02.12.2020

В Томске 123 дома остались без холодной воды

Жители Кировского и Советского районов Томска остались без холодной воды из-за аварии на трубопроводе. Вечером 1 декабря на улице Горького прорвало трубу с холодной водой. Из-за аварии затопило двухэтажный деревянный дом №60. В полночь специалисты «Томскводоканала» приступили к ремонтным работам.

ПроисшествияЖКХТомск

16629

02.12.2020

Монголия продлевает жесткие карантинные меры на 10 дней

29 ноября правительство Монголии приняло решение о продлении режима всеобщей повышенной готовности в Улан-Баторе и двух аймаках – Архангай и Сэлэнгэ, передает пресс-служба правительства. Ограничительные меры начнут действовать с 06:00 часов 1 декабря и закончатся в 06:00 часов 11 декабря.

ЗдоровьеПроисшествияМонголия

6301

02.12.2020

Потанин приготовился к губернаторской гонке?

В сюжете конфронтации «Норникеля» и властей Красноярского края выкристаллизировался новый виток. В масс-медиа обсуждают планы президента металлургической компании Владимира Потанина вступить в губернаторскую гонку в регионе в 2021 году.

Макс Веселов

ПолитикаКрасноярск

37980

02.12.2020

Полиция Иркутска ищет пострадавших от действий КПК «Золотой фонд»

В Иркутске следователи ОВД ищут потерпевших от действий КПК «Золотой фонд». В марте 2018 года «Золотому фонду» запретили принимать деньги вкладчиков, после чего фирма переименовалась в «Деловые инвестиции». Спустя полгода вкладчики перестали получать проценты. Вложенные деньги им также не вернули.

РасследованияЭкономика и бизнесИркутск

19631

02.12.2020

Хорватия закрыла въезд для иностранных туристов

Хорватия с 1 декабря запретила иностранцам въезжать в страну с туристическими целями. Ограничение на въезд в страну для туристов ориентировочно будет действовать до 15 декабря.

ЗдоровьеТуризмТранспортМир Россия

6947

02.12.2020

Суд приостановил производство по делу экс-пристава Базыра Батуева, сбившего двух женщин

Железнодорожный районный суд Улан-Удэ приостановил судебное производство по делу бывшего высокопоставленного судебного пристава Базыра Батуева. Причина указана в карточке дела на сайте суда: «Отсутствует реальная возможность участия обвиняемого в судебном разбирательстве.

ПроисшествияСкандалыРасследованияБурятия

19350

02.12.2020

Рубка деревьев вблизи Асиновского заповедника в Томской области ведётся законно – власти

Власти Томской области проверили появившуюся в СМИ информацию о рубке деревьев в границах памятника природы «Болотное урочище «Челбак» в Асиновском районе.

ЭкологияТомск

11421

02.12.2020

Три высотки в районе улицы Гусарова в Красноярске собирается строить «Сиблидер»

Компания «Сиблидер» планирует построить в микрорайоне Ветлужанка, в районе улицы Гусарова, на конечной остановке возле стадиона и конно-спортивной школы, жилой комплекс из трёх высотных домов. Он обратился в мэрию с просьбой разрешить отступ от «красных линий».

НедвижимостьКрасноярск

5552

02.12.2020

СМИ: В Иркутске задержан бывший транспортный прокурор

1 декабря «Коммерсантъ» сообщил о том, что в Иркутске задержан бывший транспортный прокурор города Лев Чикичев. Его подозревают в мошенничестве на 10 миллионов рублей. По данным издания, Чикичев содействовал гражданам Китая в контрабанде лесоматериалов.

РасследованияИркутск

16665

02.12.2020

Ещё 250 человек заразились COVID в Бурятии

По данным на утро 2 декабря, в Бурятии зарегистрировано 19675 случаев заражения коронавирусом с начала пандемии. Прирост за сутки составил 250 случаев. Из них 198 выявлены при обследовании обратившихся с симптомами ОРВИ, остальные – контактные. Об этом сообщает республиканский Роспотребнадзор.

ЗдоровьеБурятия

4361

02.12.2020

В Бурятии построили павильон за ₽1,5 миллиона, вероятно завысив цену в несколько раз

В Заиграевском районе появился странный павильон, на который по документам ушло 1 563 тысячи рублей, тогда как выглядит он не более чем на 300 тысяч. Жители Республики в одном из местных пабликов опубликовали пост о некоем павильоне.

Экономика и бизнесНедвижимостьБурятия

13624

02.12.2020

В Солнечном активисты сдали на экспертизу доски от новых лавок в «путинском» сквере

Общественники Красноярска подозревают, что вместо высушенной лиственницы подрядчик использовал дешевую сосну. В красноярском микрорайоне «Солнечный» несколько недель назад завершили работу над первой очередью «путинского» парка.

ОбществоКрасноярск

4986

02.12.2020

Начальником департамента инвестиций Томской области стал Лев Ашуркин

Губернатор Сергей Жвачкин назначил Льва Ашуркина новым начальником регионального департамента инвестиций. Он приступил к обязанностям 1 декабря, сообщили в пресс-службе областного правительства.

ПолитикаОфициозТомск

22061

02.12.2020

ЕСПЧ присудил 21 тысячу евро ученому, который отсидел 10 лет за госизмену

Европейский суд по правам человека признал незаконно осужденным красноярского физика Валентина Данилова. Его обвиняли в государственной измене в пользу Китая. Валентин Данилов ЕСПЧ увидел нарушение положений статей 6, 7 и 10 Конвенции о защите прав и основных свободы человека.

Наука и технологииРасследованияКрасноярск Китай

18245

02.12.2020

Третий этап проверки на коллективный иммунитет от COVID-19 начнется в декабре в Прибайкалье

Иркутская область переходит к третьему этапу обследования населения на коллективный иммунитет к коронавирусу. Об этом стало известно 1 декабря на заседании Оперштаба по недопущению распространения COVID-19.

ЗдоровьеИркутск

4737

02.12.2020

Жители «Союза» устроили забастовку из-за строительства многоэтажки

В Иркутске жители домов в проезде Юрия Тена перекрыли внутриквартальную дорогу и устроили забастовку. Жители микрорайона выяснили, что на территории ЖК планируется строительство новой высотки. И таким образом горожане пытаются помешать движению строительной техники по территории.

ОбществоНедвижимостьИркутск

13016

02.12.2020

Сказ о том, как юморист актёром стал. К 75‑летию Геннадия Хазанова

Конферансье, пародист, эстрадный комик, актёр театра и кино, худрук и полный кавалер.

Филипп Марков

КультураСобытияРоссия

44342

01.12.2020

Дороги от Шутенкова: кладем асфальт на снег и в темноте

В Улан-Удэ до сих пор не закончены строительство дорог и укладка плитки сразу в нескольких районах города. Одни подрядчики укладывают асфальт прямо на землю в кромешной темноте и в минус 12, другие кладут плитку как попало, лишь бы поскорее закончить.

Андрей Светлов

ПолитикаБурятия

28281

01.12.2020

Беднее, чем на Ямале, хуже, чем в Тыве. Бурятия не попала в число благополучных регионов России

Фонд развития гражданского общества 23 ноября назвал 25 самых благополучных российских регионов по итогам третьего квартала 2020 года.

Анна Гал

ПолитикаЭкономика и бизнесОбществоБурятия Россия

24244

01.12.2020

СК хочет продлить домашний арест Анатолию Быкову, несмотря на то, что он сидит в СИЗО

Следователи просят суд продлить срок домашнего ареста красноярскому бизнесмену и политику Анатолию Быкову, который в настоящее время пребывает в СИЗО по другому делу. Об этом 1 декабря сообщает «Проспект Мира» со ссылкой на адвоката Алексея Прохорова.

РасследованияКриминалКрасноярск

14549

01.12.2020

На могиле Левченко: КПРФ пыжится, но толку чуть

Фракция КПРФ в Заксобрании Иркутской области пытается выглядеть грозно, но тем самым скорее дискредитирует себя.

Антoн Херсонцев

ПолитикаИркутск

35304

01.12.2020

Жителя Прибайкалья осудят за уклонение от уплаты налогов на 33 миллиона

В Иркутской области на скамье подсудимых вскоре окажется 44-летний местный житель, обвиняемый в уклонении от уплаты налогов и покушении на крупное мошенничество с использованием своего служебного положения. Об этом 1 декабря сообщает пресс-служба прокуратуры региона.

РасследованияИркутск

11708

01.12.2020

Дума Томска приняла бюджет на 2021 год с дефицитом в ₽874 миллиона

На заседании 1 декабря дума Томска приняла бюджет на 2021 год. 32 депутата проголосовали за принятие документа, пятеро воздержались, никто не выступил против. Доходная часть бюджета составит 16,663 миллиарда рублей, расходная — 17,537 миллиарда.

Экономика и бизнесТомск

11256

01.12.2020

Иркутянка отсудила у коммунальщиков 90 тысяч за рухнувшую на нее глыбу льда

Жительница Иркутска добилась компенсации от местной управляющей компании за упавшую ей на голову ледяную глыбу. Об этом 1 декабря сообщает пресс-служба Свердловского районного суда.

ПроисшествияИркутск

3650

01.12.2020

Работодатели Бурятии обязаны перевести сотрудников старше 65-ти на удалёнку

Ранее люди старше 65 лет должны были согласовывать перевод на дистанционный режим работы с начальством. Теперь работодатели должны перевести сотрудников в обязательном порядке. Об этом 1 декабря рассказали в Роспотребнадзоре.

Экономика и бизнесЗдоровьеБурятия

11485

01.12.2020

Строительный хулиган Егоров: когда «крыша» решает всё

Одиозный олигарх Владимир Егоров, бизнес которого находится под надёжной протекцией губернатора Александра Усса, снова играет громкую роль медийного антигероя. Строительный бизнесмен за непродолжительный промежуток времени успел знатно оскандалиться.

Макс Веселов

РасследованияКрасноярск

29426

01.12.2020

Красноярский клуб, несколько раз нарушивший антиковидные меры, приостановил работу

Клуб «ФЛЭТ» в Красноярске, который не раз ловили на пренебрежении ковидными ограничениями, приостанавливает свою работу. Об этом представители заведения сообщили в его Telegram-канале.

ЗдоровьеОбществоЭкономика и бизнесКрасноярск

12314

01.12.2020

Прощание с эпохой. Ушла из жизни Ирина Антонова

Ко мне часто подходят простые люди и просят объяснить им «Чёрный квадрат». «Неужели вы сами не понимаете? – спрашиваю я. – Это полное отрицание. Малевич говорит нам: ребята, пошли домой, всё закончилось».

Филипп Марков

It`s my life...КультураРоссия

45298

01.12.2020

171 житель Томской области умер после заражения COVID-19

По данным на 1 декабря, в Томской области 18 641 случай заражения коронавирусом. Суточный прирост — 198: у 53 человек болезнь протекает бессимптомно, у 139 — признаки ОРВИ, у шести — пневмония. С начала пандемии выздоровело 13 669 человек, в том числе 228 за последние сутки.

ЗдоровьеТомск

4584

01.12.2020

Российские ученые создали «бронежилеты» для транспорта и зданий

Новый материал в отличие от предыдущих аналогов относительно недорогой и нетоксичный. Ученые Пермского и Томского политехнических университетов разработали сверхпрочный и легкий материал. Из него планируется изготавливать укрепляющие панели для корпуса автомобилей и зданий.

Анна Амгейзер

Наука и технологииТомск Россия

7466

01.12.2020

Красноярский край вышел на плато по коронавирусу?

С 19 ноября суточный прирост заболевших COVID-19 и выздоровевших от него колеблется между 332 и 336. Ни разу за почти две недели эти показатели не выходили за указанные рамки. По данным на 1 декабря, в Красноярском крае 36 568 случаев заражения коронавирусом.

ЗдоровьеКрасноярск

5930

01.12.2020

Ковидный локдаун сократил доходы сибиряков

В третьем квартале 2020 года в большинстве регионов России начал расти среднедушевой доход. Однако Иркутская, Томская области, Красноярский край и Бурятия не вошли в их число. В период с июля по сентябрь реальные располагаемые доходы снизились на 4,8% в сравнении с тем же периодом 2019 года.

Экономика и бизнесИркутск Красноярск Томск

12602

01.12.2020

Бизнесмен незаконно арендовал часть Байкала у чиновников из Бурятии

Чиновники Кабанского района отдали физическому лицу участок на берегу Байкала и даже часть самого озера. Он два года распоряжался этой территорией, а потом передал право аренды ещё одному человеку. Об этом 1 декабря рассказали в Восточно-Байкальской природоохранной прокуратуре.

НедвижимостьЭкологияБурятия Байкал

23846

01.12.2020

Немного несерьёзного: пьяная белка попала на видео

Декабрь можно назвать месяцем алкоголиков. И речь не только о том, что многие начинают праздновать Новый год заранее. Главными пьяницами являются представители животного мира. Дело в том, что в это время ягоды и фрукты ещё не до конца замёрзли, но уже начали бродить.

Миша Ковальски

Братья меньшиеМир

13299

01.12.2020

Что изменится в декабре

Законодательные нововведения декабря — в подборке БАБРа. Последний день уплаты имущественных налогов 1 декабря истекает срок уплаты имущественных налогов за 2019 год для физических лиц. После этого дня вам начнут начислять пени.

Алиса Беглова

ОбществоОфициозРоссия

7626

01.12.2020

Из Томска в Улан-Удэ будет летать субсидированный авиарейс

Регулярный рейс авиакомпании «Red Wings» свяжет Томск и Улан-Удэ. В 2021 году рейс будет субсидированным. Столицы двух регионов впервые окажутся связанными прямым авиасообщением. Раз в неделю по маршруту будет летать Sukhoi Superjet 100, билет в одну сторону будет стоить 8055 рублей.

ТранспортЭкономика и бизнесБурятия Томск

17348

01.12.2020

В Красноярске не могут найти перевозчиков на маршрут №91

В Красноярске две недели назад автобусы перестали ездить по маршруту №91. До сих пор мэрии не удалось найти желающих занять вакантное направление. 19 ноября перевозчик, ранее обслуживающий маршрут, не стал продлять контракт и перешёл на маршрут №88.

ТранспортЭкономика и бизнесКрасноярск

20694

01.12.2020

Глубоководный робот помог открыть новый вид гребневика

Ученые из Национального управления океанических и атмосферных исследований (National Oceanic and Atmospheric Administration Fisheries NOAA) США обнаружили новый вид гребневика, Duobrachium sparksae, недалеко от Пуэрто-Рико.

Есения Линней

Наука и технологииМир

8067

01.12.2020

Нефть с месторождения «Томскнефти» разлилась на пять гектаров и попала в реку

Росприроднадзор завершил проверку по факту разлива нефти на севере Томской области. Площадь загрязнения оказалась намного больше, чем утверждали представители «Томскнефти». 7 октября очевидцы обнаружили утечку нефти в районе Крапивинского месторождения в Каргасокском районе Томской области.

ЭкологияЭкономика и бизнесТомск

20107

01.12.2020

Преступление против природы Томской области – прокуратура и власть спят?!

Обнаружена незаконная вырубка леса на территории памятника природы областного значения – «Болотное урочище «Челбак» в Асиновском районе Томской области. Со слов местных жителей, на территории природного комплекса «Челбак» производится незаконная вырубка лесов.

Виктор Бизар

ЭкологияРасследованияТомск

24214

01.12.2020

В Улан-Удэ установили термометры в «путинских автобусах»

Мэрия Улан-Удэ установила термометры в новые «пазики». Ранее жители жаловались, что в салоне автобусов с цитатами Путина очень холодно. 21 ноября жительница Улан-Удэ написала в сообществе «Аноним 03», что водитель нового автобуса пожаловался на дефицит солярки.

ТранспортБурятия

5427

01.12.2020

Официальная статистика врёт: в Томской области в 5 раз больше умерших от коронавируса

«Медиазона» обнародовала данные Информационного центра по мониторингу ситуации с коронавирусом (ИЦК) Министерства здравоохранения. Оказалось, что официальная статистика врёт – от COVID-19 умерло вдвое больше россиян. В расследовании упоминаются все регионы, в том числе и Томская область.

Андрей Игнатьев

ЗдоровьеТомск

7922

01.12.2020

Иркутский Росприроднадзор проверит масляные пятна в Ангаре

В сообществе «Инцидент 38» опубликовано видео, снятое жительницей Иркутска. 30 ноября женщина запечатлела масляные пятна неизвестного происхождения на поверхности Ангары в районе Нижней Набережной.

ПроисшествияЭкологияИркутск

14077

01.12.2020

В Прибайкалье за сутки умерло 16 человек с COVID-19, выздоровело 328 человек

По состоянию на утро 1 декабря в Иркутской области зарегистрировано 32640 лабораторно подтверждённых случаев коронавирусной инфекции. За последние сутки заболевание выявлено у 279 человек. 3906 человек проходят лечение в стационарах, ещё 4901 лечатся амбулаторно.

ЗдоровьеИркутск

5646

01.12.2020

Адвокаты виссарионовцев получили отказ в повторной экспертизе потерпевших

30 ноября адвокаты Сергея Торопа (Виссариона), Вадима Редькина и Владимира Ведерникова, задержанных по делу об общине «Город Солнца» в Красноярском крае, сообщили, что им было отказано в проведении повторной экспертизы потерпевших по делу. В деле – двое пострадавших.

РасследованияРелигияКрасноярск

24695

01.12.2020

В Еланцах восстановили теплоснабжение по резервной схеме

В ночь на 1 декабря в посёлке Еланцы Ольхонского района произошло аварийное отключение теплоснабжения. Без тепла остались 102 жилых дома и два социальных объекта. Об этом сообщает пресс-служба ГУ МЧС России по Иркутской области. Авария произошла в 23:55. На место выехали ремонтные бригады.

ПроисшествияЖКХИркутск

12536

01.12.2020

Дума Томска просит у областных властей 580 миллионов на «исполнение функций областного центра»

Дума и администрация Томска просят областные власти о выделении субсидии в 580 миллионов рублей на выполнение функций областного центра. В настоящее время на эти функции Томск получает только 58 миллионов рублей, сообщает пресс-служба городской администрации.

Экономика и бизнесТомск

10062

01.12.2020

В Бурятии за 4,5 миллиона будут изучать методы очистки воздуха

В Бурятии выделяют 4,5 миллиона рублей на изучение путей решения проблем грязного воздуха. Об этом 30 ноября заявили в пресс-службе правительства республики. Напомним, в список городов с самым грязным воздухом России вошли Улан-Удэ, Гусиноозёрск и посёлок Селенгинск в Кабанском районе Бурятии.

ЭкологияБурятия

11737

01.12.2020

Ещё 260 человек заразились коронавирусом в Бурятии, семеро умерло

В Бурятии, по данным на утро 1 декабря, зарегистрировано 19425 случаев заражения коронавирусом. Прирост за сутки составил 260 вновь выявленных случаев, сообщает республиканский Роспотребнадзор. Из них 10786 человек проживает в Улан-Удэ (56%).

ПроисшествияЗдоровьеБурятия

4862

01.12.2020

Социальные предприниматели получили поддержку от Tele2 и фонда «Навстречу переменам»

Tele2 и благотворительный фонд «Навстречу переменам» подвели итоги конкурса для предпринимателей, развивающих проекты в сфере детства и детского развития.

Александр Макаров

ОбществоРоссия Иркутск

10806

01.12.2020

Красноярская Авиалесохрана задолжала ООО «АэроГео» ₽218 миллионов. Вопрос решится в суде

ООО «АэроГео» подало в суд на КГАУ «Красноярская база авиационной и наземной охраны лесов» за неоплаченные услуги по тушению лесных пожаров. Согласно материалам суда, заявление подано 25 ноября. Суд принял его к производству и назначил предварительное заседание по делу на 21 декабря.

Экономика и бизнесКрасноярск

12097

01.12.2020

Экологи: нефть под закрытой нефтебазой загрязняет Енисей

Экологи убеждены, что реку в районе Октябрьского моста загрязняет закрытая нефтебаза АО «Красноярскнефтепродукт». В Красноярске в районе Октябрьского моста на реке Енисей периодически возникают масляные пятна, происхождение которых вызывает много споров.

ЭкологияКрасноярск

16812

01.12.2020

В Бурятии сын депутата Народного Хурала пойдет под суд

Кирилл Покацкий нарушил законодательство в области обеспечения санитарно-эпидемиологического благополучия населения во время пандемии. Напомним, 21 ноября в гриль-бар «Фабрика» в Улан-Удэ нагрянула полиция.

Экономика и бизнесБурятия

27323

01.12.2020

Путин пообещал помочь Улан-Удэ со строительством дамбы

Проектно-сметная документация уже готова. В остальном поможет Путин. Фото: kremlin.ru Глава Бурятии Алексей Цыденов на встрече с Владимиром Путиным рассказал о необходимости строительства дамбы в городе. «Город стоит на реке Селенга, основной приток Байкала.

Экономика и бизнесОбществоБурятия Россия

12285

01.12.2020

«Большинство работников у черты бедности». В Бурятии продолжаются протесты против ТГК-14

Работники ТГК-14 и жители, недовольные политикой компании, продолжают выходить на пикеты в надежде привлечь внимание властей и добиться решения проблем.

Александр Макаров

ОбществоПолитикаЭкономика и бизнесБурятия

37806

01.12.2020

В Прибайкалье 810 школьников и студентов болеют COVID-19

По состоянию на 30 ноября в Иркутской области коронавирусом болеют 810 школьников и студентов. Такую информацию предоставила зампредседателя правительства региона Валентина Вобликова. Из числа работников образовательных организаций в данный момент болеют 377 человек.

ЗдоровьеИркутск

4258

01.12.2020

Правительство РФ выделит ₽113 миллионов на продолжение работ на «Усольехимпроме»

Правительство России направит более 113 миллионов рублей на ликвидацию химических отходов на территории бывшего «Усольехимпрома». Об этом 30 ноября заявил премьер-министр Михаил Мишустин. «Президент недавно проводил совещание по этому вопросу и поручил держать ситуацию под постоянным контролем.

ЭкологияЭкономика и бизнесИркутск Россия

21811

01.12.2020

Видео задержания экс-главы Минздрава Иркутской области

Бывшего главу Минздрава Иркутской области Наталию Ледяеву задержали 30 ноября. Экс-министр проходит по уголовному делу о незаконных поставках медицинских масок в медучреждения региона. Две недели назад арестовали сына Ледяевой Илью Белоусова.

КриминалСкандалыИркутск

12910

01.12.2020

Последние новости

08.04 18:44
Судебные приставы Бурятии выдворили из страны 19 незаконных мигрантов

08.04 17:51
В Минусинске пилот воздушного шара получил штраф за незаконный полет

08.04 17:50
Опасные ограждения на набережной Каче отремонтируют после жалоб горожан

08.04 17:46
Вокруг памятника природы в Курагинском округе создадут крупную охранную зону

08.04 17:42
Археологи спасут стоянку древних людей перед строительством дороги в красноярском Солнечном

08.04 17:42
В Новосибирске водитель почтового грузовика похитил 50 тысяч

08.04 17:14
Под Красноярском планируют возвести загородный комплекс за 300 миллионов рублей

08.04 16:59
Махинации с одеждой и «мертвые души»: директора Емельяновского детдома отправили в СИЗО

08.04 16:56
Полиция Братска задержала двух дропперов

08.04 16:53
Штраф в миллион и запрет на профессию: суд вынес приговор замдиректора «Комплекса Покровский»

08.04 16:42
Суд обязал коммунальное предприятие из Стрежевого отремонтировать аварийный трубопровод

08.04 16:35
Собственника участка в 27 гектаров в Томском районе обязали вовлечь его в сельхозоборот

08.04 16:27
«Томскавтодор» определил подрядчиков на ремонт дорог в Александровском районе

08.04 16:23
Арктику и заброшенный красноярский завод очистят от опасного мусора почти за 300 миллионов рублей

08.04 16:08
Припоселковые кедровники Томского района обработают от рыжего соснового пилильщика в мае-июне

08.04 15:57
В Бурятии воспитателей детсада привлекали к работе в выходные и праздники без оплаты

08.04 15:56
Сотрудник иркутского вуза отдал мошенникам 2,1 миллиона

08.04 14:48
В Новосибирской области ввели режим повышенной готовности