В Красноярском крае скончался ещё 21 заражённый коронавирусом
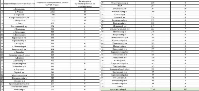
По данным на 4 декабря, в Красноярском крае 37 568 случаев заражения COVID-19. Суточный прирост — 332, темп прироста — 0,9%.

С начала пандемии выздоровело 30 027 человек, включая 361 за последние сутки. Количество погибших достигло 1211, скончался ещё 21 заражённый.
Таким образом, на данный момент коронавирусом болеют 6330 жителей Красноярского края. Ещё 11 418 человек находятся под наблюдением врачей на дому, суточный прирост — 839.
• ЗАТО Железногорск и Зеленогорск не включают в общую статистику по краю. За последние сутки в Зеленогорске выявили ещё 19 случаев заражения (всего 2772), в Железногорске — 130 (всего 4048).
• Глава Минздрава заявил, что уже в январе Красноярский край может накрыть третьей волной коронавируса.



_04221212_b.jpg)


















