Ещё 16 больных с COVID-19 скончались в Красноярском крае
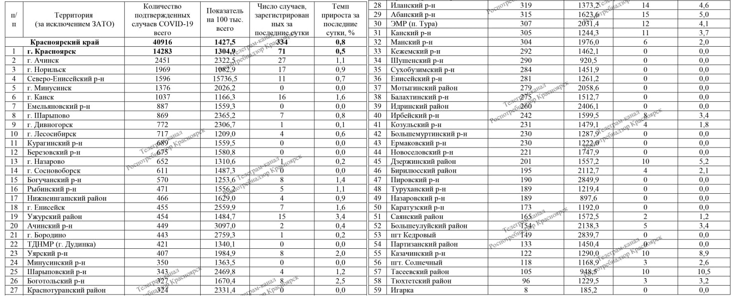
По данным на 14 декабря, в Красноярском крае 40 916 случаев заражения коронавирусом. Суточный прирост — 334, темп прироста — 0,8%.

За всё время выздоровело 33 733 человека, в том числе 400 за последние сутки. Количество погибших достигло 1386, скончалось ещё 16 заражённых COVID-19.
Таким образом, на данный момент коронавирусом болеют 5797 жителей Красноярского края. Ещё 10 591человек остаётся под наблюдением врачей на дому, суточный прирост — 613.
• ЗАТО Железногорск и Зеленогорск не включают в общую статистику по краю. За последние сутки в Зеленогорске выявили ещё 42 случая заражения (всего 3119), в Железногорске — 44 (всего 5022).
• В ночь на 14 декабря в Красноярске от коронавируса умер 57-летний врач-уролог краевой больницы Фёдор Капсаргин. Коллеги полтора месяца боролись за его жизнь.




_04221212_b.jpg)

















