Любовь к романтике вызываетcя мутацией
В большинстве случаев мутация ассоциируется с чем-то страшным и опасным. На самом деле это не так. Мутация — это любое изменение генетического кода. Оно может не только превращать организмы в мутантов, но и быть вполне полезным.
Именно это пытались доказать канадские учёные из Университета Макгилла. Результаты своей нестандартной научной работы они опубликовали в Scientific Reports.
Так, они доказали, что люди, склонные к романтике, имеют генетическую мутацию. Вернее, наоборот, именно из-за мутации они стали романтичными и более общительными.
В исследовании участвовали 111 гетеросексуальных пар. Все они состояли в не менее пяти лет. Для начала они проходили тестирование, в котором отвечали, как часто они смеются, улыбаются, шутят, просят помощи и помогают сами, любят ли общаться с людьми и так далее. Затем была практическая часть исследования, в которой проводили анализ генома участников.
Выяснилось, что романтичный характер зависит от гена CD38, который отвечает за выработку окситоцина. Окситоцин — это гормон любви. Именно он отвечает за чувства близости между людьми, а также уменьшает тревожность и нервозность.
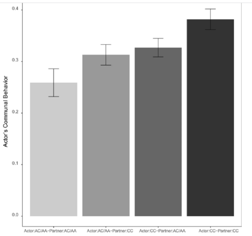
Оказалось, что у некоторых людей встречается две его копии. Те, у которых есть данная мутация, более добрые, нежные, открытые, чем те, у кого представлен, как и положено, только один ген.
«Ген CD38 имеет два варианта, или 2 аллели – А и С. У каждого человека есть две копии – по одной, унаследованной от каждого родителя. Добровольцы, унаследовавшие двойную дозу «генотипа» СС, сообщали о более высоком уровне лояльности к партнеру, чем носители АА или АС. Более того, они реже сталкивались с беспокойством, разочарованием и гневом», - комментировала профессор Дженнифер Бартц.
Теперь партнёры, которые не склонны устраивать романтические встречи, могут оправдывать своё поведение, ссылаясь на канадских учёных.
Тем временем данная работа стала первой, которая подтвердила важность генетики в формировании романтических отношений. Учёные доказали, что вариации генов могут играть ключевую роль в поведении, важном для формирования отношений между людьми.












